Ag替换Cu对Zr-Ti-Cu-Al非晶合金性能的影响
Effect of Ag Substitution of Cu on Properties of Zr-Ti-Cu-Al Amorphous Alloys
通讯作者: 马明臻,mz550509@ysu.edu.cn,主要从事块体非晶合金研究
责任编辑: 李海兰
收稿日期: 2023-03-02 修回日期: 2023-03-24
| 基金资助: |
|
Corresponding authors: MA Mingzhen, professor, Tel:
Received: 2023-03-02 Revised: 2023-03-24
| Fund supported: |
|
作者简介 About authors
蔡正清,男,1998年生,博士生
锆基块体非晶合金由于其临界尺寸大、耐腐蚀性能优异、强度和弹性极限高、Young's模量相对较低,在承重结构材料及生物医学材料方向有着巨大的应用潜力。本工作以Zr-Ti-Cu-Al合金体系为对象,利用XRD、DSC、SEM及电化学实验等手段研究了Ag替换Cu对Zr55Ti3Cu32 - x Al10Ag x (x = 0、1、1.5、2和2.5,原子分数,%)块体非晶合金的玻璃形成能力、晶化动力学、力学性能和耐腐蚀性能的影响。结果表明,适量Ag替换Cu改善了该合金体系的玻璃形成能力,显著增加了晶化激活能(Eg、Ex、Ep1、Ep2),提高了热稳定性。合金的断裂强度随Ag含量的增加而提高,当Ag含量为1.5%时,压缩变形高达5.49%,相较初始体系提升了120%。在磷酸缓冲液(PBS)与模拟体液(SBF)中进行的电化学腐蚀分析表明,Ag的添加提高了Zr55Ti3Cu32 - x Al10Ag xBMG在SBF和PBS溶液中的耐生物腐蚀能力。
关键词:
Bulk metallic glasses (BMGs) have unique microstructures that result in excellent physical and chemical properties. In this study, the impact of replacing Cu with Ag on the glass-forming ability (GFA), crystallization kinetics, mechanical properties, and corrosion resistance of the Zr55Ti3Cu32 - x Al10Ag x (x = 0, 1, 1.5, 2, and 2.5; atomic fraction, %) BMGs in the Zr-Ti-Cu-Al alloy system was examined, aiming to develop new Ni/Be-free BMGs for biomedical applications. XRD and DSC analyses demonstrate that replacing Cu with appropriate amounts of Ag improves the GFA of the alloy system and considerably increases the crystallization activation energy (Eg, Ex, Ep1, and Ep2), thereby enhancing thermal stability. From a thermodynamic perspective, Ag has a large negative heat of mixing with other elements. Furthermore, the addition of Ag enhances the interaction among components and promotes chemical short-range ordering in liquid, which can improve the local filling efficiency and inhibit the long-range diffusion of atoms, thereby improving the GFA. At the atomic level, Ag exhibits a considerable atomic radius disparity with the primary constituents, and its inclusion can generate a proficient and localized stacking configuration, thereby achieving reduced internal energy and augmented viscosity and enhancing the GFA of Zr55Ti3Cu32 - x Al10Ag x BMG. Mechanical property tests showed that the fracture strength increased with the increase of Ag content. In addition, the compressive deformation ability of Zr55Ti3Cu32 - xAl10Ag x BMGs is improved by the addition of appropriate Ag. The compressive strain of the new Zr55Ti3Cu30.5Al10Ag1.5 reaches 5.49%, which is 120% higher compared to the initial system. The addition of Ag may create local heterogeneity in the microstructure, allowing many secondary shear bands to appear during the expansion of the primary shear band, which increases the plasticity of the BMG. Electrochemical corrosion behavior analysis showed that the addition of appropriate Ag reduced the corrosion current density and increased the self-corrosion potential of Zr55Ti3Cu32 - x Al10Ag x BMG. Moreover, Ag enhanced the biocorrosion resistance of Zr55Ti3Cu32 - x Al10Ag x BMG in simulated body fluid and phosphate-buffered saline. Therefore, the new Zr-Ti-Cu-Al-Ag BMG system has shown great application potential as a biomedical material.
Keywords:
本文引用格式
蔡正清, 尹大伟, 杨靓, 王文祥, 王飞龙, 温永清, 马明臻.
CAI Zhengqing, YIN Dawei, YANG Liang, WANG Wenxiang, WANG Feilong, WEN Yongqing, MA Mingzhen.
与传统晶体合金相比,块体非晶合金(BMG)由于其独特的亚稳态结构而具有高强度、高硬度、高弹性极限、高断裂韧性、良好的软磁性能及耐腐蚀性能[1~5],是极具应用潜力的新型结构材料。自20世纪80年代以来,许多体系的块体非晶合金被相继开发出来,如锆基[6,7]、铁基[8,9]、钯基[10,11]、铜基[12,13]、镁基[14]、镧基[15]块体非晶合金。其中,锆基非晶合金由于其大的临界尺寸、低的制备成本、高的强度和弹性极限、相对低的Young's模量[2,6,16,17],在体育和机械工程方面的应用具有十分大的潜力。现有的强玻璃形成能力的锆基块体非晶合金一般含有高度致敏的Ni和高毒性的Be,这使得锆基块体非晶合金在生物医学上的应用受到了限制[18]。此外,非晶合金由于其长程无序、短程有序的独特结构,没有晶界和位错,因此在室温下表现为脆性。开发出一种无Ni、Be并且拥有玻璃形成能力强、室温变形能力以及耐腐蚀性能好的块体非晶合金体系,对于生物医学方面的应用十分必要。
微合金化可提高块体非晶合金的形成能力、力学性能、耐腐蚀性能和热稳定性。在添加的元素中,Ag通常被广泛应用于各种合金体系中[2,19~24]。Yang等[24]通过适量的Ag取代Zr56Cu24Al9Ni7Ti4中的Ti,提高了合金的玻璃形成能力,将过冷液相区宽度从53 K扩大到103 K,并且提高了合金的硬度、最大塑性应变和极限断裂强度。Hua等[21]通过高能同步辐射X射线衍射发现Zr-Al-Co体系中Ag的加入局部原子结构更加均匀,使得玻璃形成能力显著提高,并且随着Ag的添加,合金的断裂强度和在磷酸缓冲液(PBS)溶液中的耐腐蚀性均有所提高。除此以外,Ag是一种有效的抗菌剂,含Ag的BMG材料在生物医学领域有着更好的应用前景[25]。Zr-Ti-Cu-Al非晶合金具有相对低的弹性模量和良好的耐腐蚀性能,在人体植入物和医疗器械中有着巨大的应用潜力[19]。其次,从生物医学角度来看,Cu是人体所必需的微量元素,但是过量的Cu同样可能会造成人体危害。因此,为进一步改善合金的生物相容性,降低Cu含量而添加Ag有望成为一种有效的方法。
本工作采用四元Zr-Ti-Cu-Al为基础合金,研究Ag部分替代Cu对合金玻璃形成能力、晶化动力学、力学性能和腐蚀行为的影响,旨在开发出一种不含Ni与Be的新型高玻璃形成能力、优异力学性能和耐腐蚀性能的块体非晶合金体系。
1 实验方法
在高纯Ar气保护气氛下,通过电弧熔炼的方法制备得到名义成分为Zr55Ti3Cu32 - x Al10Ag x (x = 0、1、1.5、2和2.5,原子分数,%;下文含量如无特殊说明,均指原子分数)的母合金锭,其中Zr、Ti、Cu、Al、Ag的纯度分别为99.9%、99.9%、99.99%、99.999%和99.99% (质量分数)。为确保成分均匀,每块合金锭均翻转熔炼4次以上。
通过铜模吸铸的方法将这些母合金锭制备成长度为70 mm,直径分别为3、4、5和6 mm的非晶合金棒。为确保熔炼条件相同,母合金锭质量控制一致,每个合金棒均在200 A、5 s的熔炼条件下进行制备。通过D/max-2500/PC X射线衍射仪(XRD)对铸态合金棒的微观结构进行表征,CuKα。在连续的Ar气流动下,用Netzsch 404 F3差示扫描量热仪(DSC)分析铸态合金棒的热力学与晶化动力学特征。采用Instron-5982万能试验机对试样进行单轴压缩实验,压缩试样的直径为3 mm,长径比为2∶1,应变速率为5 × 10-4 s-1。为保证数据的可靠性,每组压缩实验均重复5次。用S-3400扫描电子显微镜(SEM)观察压缩试样的断口形貌和表面形貌。用CHI660E电化学工作站对各非晶合金材料进行电化学测试,电化学腐蚀溶液为模拟体液(SBF)和PBS,所有腐蚀试样的直径约3 mm、厚6 mm,2个端面均用240、400、1000和2000号砂纸进行打磨,随后用Al2O3悬浮液进行抛光。所有腐蚀试样至少重复测量3次阳极极化曲线以保证再现性。用S-3400 SEM观察腐蚀后试样的表面形貌。
2 实验结果
2.1 玻璃形成能力
图1为不同Ag含量的Zr55Ti3Cu32 - x Al10Ag x 非晶合金通过铜模吸铸所能达到直径最大非晶样品的XRD谱,衍射谱均在2θ = 38°和65°附近出现了漫散射峰,且整个图谱无尖锐的晶体Bragg衍射峰出现,证明此时该合金具有完全非晶态的结构。随着Ag的增加,Zr55Ti3Cu32 - x Al10Ag x 的非晶形成临界尺寸(Dc)先减小后增大再减小,表明适当比例的Ag对Cu的替换可以提高Zr55Ti3Cu32 - x Al10Ag x 体系的玻璃形成能力。当Ag的加入量为1.5%时,Zr55Ti3Cu32 - x Al10-Ag x BMG的临界尺寸最大,达到6 mm。
图1
图1
铸态Zr55Ti3Cu32 - x Al10Ag x 非晶合金临界尺寸的XRD谱
Fig.1
XRD spectra of as-cast Zr55Ti3Cu32 - x Al10Ag x bulk metallic glasses (BMGs) with their critical diameters (Dc)
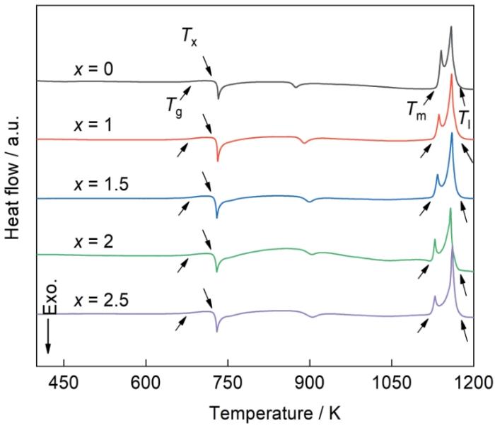
图2为Zr55Ti3Cu32 - x Al10Ag x 合金在20 K/min加热速率时的DSC曲线。该合金的玻璃转变温度(Tg)、晶化温度(Tx)、熔点(Tm)、液相线温度(Tl)如表1所示。可以看出,随着温度的增加,所有试样先是出现明显的玻璃化转变和过冷液体吸热事件,DSC曲线中的2个放热峰表明试样在加热过程发生两段晶化事件并析出2个不同的相。温度继续升高以后出现了2个吸热峰,此时2个结晶相在不同阶段开始熔化。基于热力学和动力学理论,目前使用最广泛的表征不同块体非晶合金玻璃形成能力的准则主要是约化玻璃转变温度Trg (Trg = Tg / Tl)[26,27],该参数同样列于表1。可以看出,随着Ag的添加,合金的Tg先增加再减小,当替换的Ag含量为1.5%时Tg最高,为673.8 K,合金的熔点和液相线都随着Ag的增加而降低,表明体系更趋于深共晶成分[19]。Trg随Ag含量的增加先减小后增大再减小,变化趋势与Tg和Dc具有相似规律,且当Ag添加量为1.5%时,Trg达到最大值,这表明该体系的玻璃形成能力与Trg判据有着良好的相关性。
图2
图2
Zr55Ti3Cu32 - x Al10Ag x 非晶合金在20 K/min下的DSC曲线
Fig.2
DSC curves of Zr55Ti3Cu32 - x Al10Ag x BMGs at 20 K/min (Tg—glass transition temperature, Tx—crystallization temperature, Tm—melting temperature, Tl—liquidus temperature)
表1 Zr55Ti3Cu32 - x Al10Ag x 非晶合金的热物性参数和临界尺寸
Table 1
| x | Tg | Tx | Tm | Tl | Trg | Dc |
|---|---|---|---|---|---|---|
| K | K | K | K | mm | ||
| 0 | 673.0 | 730.4 | 1133.8 | 1165.4 | 0.577 | 4 |
| 1 | 667.2 | 729.7 | 1130.9 | 1164.3 | 0.573 | 3 |
| 1.5 | 673.8 | 727.2 | 1127.6 | 1164.2 | 0.579 | 6 |
| 2 | 665.1 | 726.4 | 1124.9 | 1161.1 | 0.573 | 5 |
| 2.5 | 665.0 | 726.3 | 1123.4 | 1161.0 | 0.573 | 5 |
2.2 晶化动力学
图3
图3
Zr55Ti3Cu32 - x Al10Ag x 非晶合金在不同加热速率下的DSC曲线
Fig.3
DSC curves of Zr55Ti3Cu32 - x Al10Ag x BMGs at different heating rates (Tp1, Tp2—the first and second crystallization peak temperatures, respectively)
(a) x = 0 (b) x = 1 (c) x = 1.5 (d) x = 2 (e) x = 2.5
表2 Zr55Ti3Cu32 - x Al10Ag x 非晶合金在不同加热速率下的特征温度
Table 2
| x | β / (K·min-1) | Tg / K | Tx / K | Tp1 / K | Tp2 / K |
|---|---|---|---|---|---|
| 0 | 10 | 665.2 | 721.9 | 724.2 | 854.3 |
| 20 | 673.0 | 730.4 | 732.9 | 872.4 | |
| 30 | 674.7 | 736.6 | 739.3 | 886.6 | |
| 40 | 681.7 | 740.1 | 742.9 | 895.5 | |
| 1 | 10 | 665.2 | 720.7 | 723.1 | 868.6 |
| 20 | 667.2 | 729.7 | 731.5 | 890.1 | |
| 30 | 676.3 | 734.6 | 736.9 | 900.8 | |
| 40 | 680.5 | 738.3 | 741.0 | 909.9 | |
| 1.5 | 10 | 661.3 | 718 | 721.3 | 879.4 |
| 20 | 673.8 | 727.2 | 729.9 | 899.9 | |
| 30 | 674.0 | 733.3 | 735.8 | 911.8 | |
| 40 | 674.6 | 735.4 | 738.6 | 918.2 | |
| 2 | 10 | 662.2 | 718 | 721.2 | 886.1 |
| 20 | 665.1 | 726.4 | 729.8 | 904.5 | |
| 30 | 673.7 | 732.1 | 735.2 | 914.3 | |
| 40 | 674.5 | 736.5 | 739.8 | 923.2 | |
| 2.5 | 10 | 663.1 | 718.2 | 721.7 | 888.8 |
| 20 | 665.0 | 727.1 | 730.0 | 904.9 | |
| 30 | 671.5 | 731.8 | 735.4 | 915.0 | |
| 40 | 672.0 | 735.9 | 738.8 | 921.8 |
根据晶化动力学,非等温晶化过程中的玻璃转变表观活化能(Eg)、结晶成核活化能(Ex)、第一结晶峰和第二结晶峰的结晶生长活化能(Ep1、Ep2)可以用Kissinger方程[29]确定:
式中,β是加热速率,Ta是特征温度,C是常数,R为气体常数,不同特征温度所对应的活化能(Ea)可由Kissinger曲线斜率得到,如图4所示。可以看出,Eg、Ep1、Ep2均随着Ag的添加而增加,同时Ex相比原始体系也均有所增加,Ag的添加提高了体系的热稳定性。值得注意的是,原始体系的结晶生长活化能是小于起始活化能的,但当Ag的加入量超过1.5%时,结晶的生长活化能超过了起始活化能。相比于晶体成核的活化能,晶体生长活化能的增长对Ag的添加更为敏感。
图4
图4
Zr55Ti3Cu32 - x Al10Ag x 非晶合金的Kissinger图谱
Fig.4
Kissinger maps of Zr55Ti3Cu32 - x Al10Ag x BMGs (The fits have goodness of fit R2 > 0.95; Ta—characteristic temperature, R—gas constant, Eg—glass transition activation energy, Ex—crystallization nucleation activation energy, Ep1—activa-tion energy for primary crystal growth, Ep2—activation energy for secondary crystal growth)
(a) x = 0 (b) x = 1 (c) x = 1.5 (d) x = 2 (e) x =2.5
2.3 力学性能
图5为直径3 mm的Zr55Ti3Cu32 - x Al10Ag x 非晶合金在室温下的单轴压缩应力-应变曲线。表3列出了Zr55Ti3Cu32 - x Al10Ag x 合金的屈服强度(σy)、断裂强度(σf)、最大应变(εmax)、塑性应变(εp)和弹性模量(E)。可以看出,原始Zr55Ti3Cu32Al10非晶合金在施加载荷以后没有经历屈服阶段,在经历弹性变形以后直接发生断裂,断裂强度为1495 MPa;在添加1.5%Ag后,合金到达弹性极限以后产生屈服,随后发生塑性变形,此时合金的断裂强度增加到1659 MPa,塑性变形为1.94%。相比于原始非晶合金的脆性断裂,合金的室温塑性变形得到了显著改善,同时其有着最低的弹性模量,为54.2 GPa,这与人体骨骼的弹性模量(E = 20~30 GPa)更为接近[30]。随着Ag的继续添加,压缩塑性随之下降,当Ag添加量为2.5%时,塑性变形量为0.24%。Ag的添加使Zr55Ti3Cu32Al10体系的强度和塑性呈现先增加后减小的变化趋势,适量Ag的替换有利于提高Zr55Ti3Cu32Al10非晶合金的综合力学性能。
图5
图5
Zr55Ti3Cu32 - x Al10Ag x 非晶合金的室温压缩应力-应变曲线
Fig.5
Compressive stress-strain curves of Zr55Ti3Cu32 - x-Al10Ag x BMGs under uniaxial compression with a diameter of 3 mm at room temperature
表3 Zr55Ti3Cu32 - x Al10Ag x 非晶合金的力学性能
Table 3
| x | σy / MPa | σf / MPa | εmax / % | εp / % | E / GPa |
|---|---|---|---|---|---|
| 0 | - | 1495 | 2.49 | - | 67.0 |
| 1 | - | 1533 | 3.00 | - | 61.9 |
| 1.5 | 1541 | 1659 | 5.49 | 1.94 | 54.2 |
| 2 | 1617 | 1784 | 4.20 | 1.40 | 69.6 |
| 2.5 | 1685 | 1718 | 3.29 | 0.24 | 69.8 |
为进一步研究Zr55Ti3Cu32 - x Al10Ag x 非晶合金的断裂机制,对试样的断口截面和侧表面形貌进行观察,结果如图6和7所示。塑性较好的Zr55Ti3Cu32 - x Al10Ag x (x = 1.5和2)合金断面上分布着密集的脉络状花纹并伴有熔滴出现。这种形貌是应力加载过程中产生的,剪切带积累了很高的弹性能,在断裂前弹性能立即释放。由于局部产生加热导致断裂面温度迅速升高,使得玻璃软化从而形成脉状图案[31]。而Zr55Ti3Cu32 - x Al10Ag x (x = 0、1和2.5)试样断口表面形貌则由脉络纹图案、间歇平滑区域和河流状图案所构成,多种断裂形貌共存,表明了变形的不均匀性。Conner等[32]认为,平滑区域是由裂纹快速扩展形成的;Kusy等[33]认为河流状图案由主流和支流构成,支流的方向反映了施加的局部应力,它们的起始点对应于裂纹的成核位置。Ag的添加改变了合金断口形貌,初始合金的断口形貌由脉络状花纹与少量的条形光滑区域共存,Zr55Ti3Cu32 - x Al10Ag x (x = 1)试样断口形貌转变成以河流花样为主并在其上分布着少量的脉络状花纹;随着Ag的继续添加,Zr55Ti3Cu32 - x Al10Ag x (x = 1.5和2)试样的断口主要由均匀而密集的脉状纹构成;当x = 2.5时,试样的断口由较宽的平滑区和均匀的脉络状花纹构成。块体非晶合金的塑性还取决于剪切带的密度[32,34]。从图7可以看出,Zr55Ti3Cu32 - x Al10Ag x (x = 0和1)试样中除最大剪切平面以外无明显剪切带。相比于其他合金,Zr55Ti3Cu32 - x Al10Ag x (x = 1.5)试样具有更加密集的剪切带,这些交错分布的主、次剪切带相互作用使得裂纹形核和扩展受到抑制,合金表现出良好的室温塑性[35]。随着Ag的继续添加,合金侧表面的剪切带数量减少,合金塑性下降。可见,断裂形貌的变化规律与合金的塑性变形能力变化一致。
图6
图6
Zr55Ti3Cu32 - x Al10Ag x 压缩试样断口的SEM像
Fig.6
SEM images of fracture morphologies for the Zr55Ti3Cu32 - x Al10Ag x BMG compression samples
(a) x = 0 (b) x = 1 (c) x = 1.5 (d) x = 2 (e) x = 2.5
图7
图7
Zr55Ti3Cu32 - x Al10Ag x 压缩试样侧表面形貌的SEM像
Fig.7
SEM images of the lateral surfaces of Zr55Ti3Cu32 - x Al10Ag x BMG compression samples
(a) x = 0 (b) x = 1 (c) x = 1.5 (d) x = 2 (e) x = 2.5
2.4 耐生物腐蚀能力
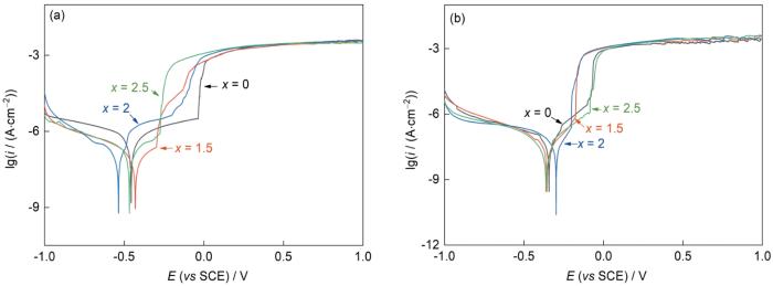
图8为Zr55Ti3Cu32 - x Al10Ag x 在PBS和SBF溶液中的室温动电位极化曲线。可以看出,在2种溶液的阳极极化过程中,所有试样的阳极极化曲线在相应腐蚀电位处均出现拐点,表明此时发生了点蚀。表4是非晶态合金的相关腐蚀参数,包括腐蚀电位(Ecorr)、腐蚀电流密度(icorr)和点蚀电位(Epit)。从腐蚀参数的变化可以看出,在2种溶液中,随材料中Ag含量的添加,点蚀电位降低。Ag的替换降低了Zr55Ti3Cu32 - x Al10Ag x 非晶合金的耐点蚀能力。而随着Ag含量的增加,材料在2种溶液中的电流密度均先减小后增大,在PBS溶液中,添加1.5%Ag的试样icorr最小,Ecorr最大;在SBF溶液中,添加2%Ag的试样icorr最小。icorr与腐蚀速率有关,较低的icorr表明材料腐蚀速率更缓慢,耐腐蚀性能更强。Ecorr与腐蚀倾向有关,较高的Ecorr表明材料表面越稳定,不易被腐蚀。通过上述分析可知,添加1.5%Ag的试样在PBS溶液中的耐生物腐蚀性能最强,添加2%Ag的试样在SBF溶液中的耐生物腐蚀性能最强。相比于PBS溶液,所有的合金在SBF溶液中的电流密度更小,自腐蚀电位更高,表明Zr55Ti3Cu32 - x Al10Ag x 合金在SBF溶液中具有更好的耐生物腐蚀性能。
图8
图8
Zr55Ti3Cu32 - x Al10Ag x 非晶合金的在2种溶液中的动电位极化曲线
Fig.8
Potentiodynamic polarization curves of Zr55Ti3Cu32 - x Al10Ag x BMG in two kinds of solution (i—current density, E—potential, SCE—saturated calomel electrode)
(a) phosphate buffer saline (PBS) (b) simulated body fluid (SBF)
表4 Zr55Ti3Cu32 - x Al10Ag x 非晶合金的腐蚀参数
Table 4
| Solution | x | icorr / (A·cm-2) | Ecorr / mV | Epit / mV |
|---|---|---|---|---|
| PBS | 0 | 5.10 × 10-7 | -427.9 | -36.2 |
| 1.5 | 1.04 × 10-7 | -426.7 | -296.7 | |
| 2 | 2.12 × 10-7 | -582.1 | -212.7 | |
| 2.5 | 2.15 × 10-7 | -463.9 | -275.6 | |
| SBF | 0 | 5.56 × 10-8 | -311.7 | -100.9 |
| 1.5 | 3.68 × 10-8 | -346.5 | -175.3 | |
| 2 | 1.03 × 10-8 | -278.8 | -203.2 | |
| 2.5 | 2.02 × 10-8 | -381.7 | -102.7 |
通过电化学腐蚀可得,Ag替换Cu使锆基非晶合金的耐生物腐蚀性能有所提高。为了进一步分析锆基非晶合金在PBS和SBF溶液中的腐蚀行为,采用SEM观察了极化后试样的腐蚀形貌。图9为原始合金与耐腐蚀性能最佳的Zr55Ti3Cu32 - x Al10Ag x 合金在PBS和SBF溶液中的腐蚀形貌。从图9a和b可以看出,经过PBS溶液电化学腐蚀后,初始合金基体完全被腐蚀,有点蚀坑出现,其周围为粗糙的腐蚀裂纹,基体松散且腐蚀严重;添加1.5%Ag时合金试样表面分布着密集的点蚀坑,但是未发生点蚀的区域平整无裂纹,未被腐蚀区域相对平整无龟裂。从图9c和d中可以看出,经过SBF溶液电化学腐蚀后,初始合金试样的腐蚀形貌中出现深裂纹,裂纹周围被完全腐蚀;而添加2%Ag时试样腐蚀形貌分布有点蚀坑但无深裂纹,点蚀坑周围的腐蚀程度较初始合金明显更浅。从腐蚀形貌可以看出,适量Ag的添加,能有效改善和提高锆基非晶合金的耐生物腐蚀性能。
图9
图9
Zr55Ti3Cu32 - x Al10Ag x 非晶合金腐蚀表面的SEM像
Fig.9
SEM images of Zr55Ti3Cu32 - x Al10Ag x BMG corroded surfaces in two kinds of solutions
(a) x = 0, PBS (b) x = 1.5, PBS (c) x = 0, SBF (d) x = 2, SBF
3 分析与讨论
Ag的添加使得锆基块体非晶合金的微观结构和热力学性能得到显著改变。适量Ag的添加提高了合金的玻璃形成能力,且随着Ag的添加,液相线的温度同时降低,表明Ag的添加使合金更加趋于共晶成分。液相线温度的降低使得熔融液相在热力学上的稳定性变高,此时,原子重排变得困难,晶核的成核过程变得不稳定,结晶相的生长被抑制[36]。晶化动力学同样可以验证这一结果,通常Eg表明玻璃合金在玻璃转变时原子重排的能垒,Ex表明玻璃合金在晶化成核时的能垒,Ep表明合金在晶化过程中晶核长大时的能垒。随着Ag含量的增加,Eg、Ep1、Ep2均随之增加,而Ex也均大于初始体系,表明晶体结构的成核和生长受到抑制,从而使玻璃形成能力得到改善[24]。随着Ag的添加,Trg随之变化,当Ag含量为1.5%时,合金具有最高Trg。由于合金的液相线降低,使Tg与Tl之差减小,因此,通过Tl到Tg温区冷却而不诱发晶化的可能性最大,此时合金具有最好的玻璃形成能力,与铜模吸铸不同Ag含量的合金达到最大临界尺寸的变化趋势相一致。Takeuchi和Inoue[37]提出大部分具有良好玻璃形成能力的块体非晶合金系统通常满足以下3个条件:由3种以上的元素组成;主要元素之间的原子尺寸不匹配超过12%;组成元素间具有负的混合热。随着Ag的添加,引入了相互竞争的有序相,从而改变了结晶过程的动力学机制,促进了玻璃的形成[20]。在Zr-Ti-Cu-Al-Ag体系中的,Ag与其他元素间的混合焓分别为:ΔHmix(Ag-Ti) = -54 kJ/mol,ΔHmix(Ag-Zr) = -69 kJ/mol,ΔHmix(Ag-Al) = -8 kJ/mol,ΔHmix(Ag-Cu) = 2 kJ/mol。Ag与其他元素的原子半径比分别为:RAg/Zr = 0.810,RAg/Al= 0.962,RAg/Cu = 1.125。从热力学上来看,Ag与Zr、Ti、Al均为负的混合焓,这些大负值的混合热增强了组分之间的相互作用,并促进了液体中的化学短程有序化,这可以提高局部填充效率并抑制原子的长程扩散,进而提高了玻璃形成能力[20,24,38]。从原子尺度来看,Ag与主要元素有着大的原子半径错配度,Ag的添加可以产生有效的局部堆积结构,从而获得低的内能和高的黏度,在液/固界面前沿原子重排的阻碍增大,从而有利于非晶形成[39]。
随着合金体系非晶形成能力变化,对合金的强度或韧性等力学性能也会产生相关的影响。Trexler和Thadhani[40]在原子尺度上对非晶合金的不均匀变形进行了研究,认为与晶体合金中的位错运动不同,在施加的应力下,非晶合金中剪切应变的调节是通过自由体积区域周围的原子局部重排而发生的。低于0.6Tg的剪切转变发生在一个窄小的体积单元中,通常称为“剪切转变区” (STZ)。非晶合金非均匀变形过程中塑性的基本单元可以是“剪切转变区”或局部扩散跳跃的自由体积,STZ是一小簇紧密堆积的原子,它们自发地协同重排以适应施加的剪切应变。在Zr-Ti-Cu-Al体系中,Ag替代Cu使得块体非晶合金的室温塑性变形能力得到了显著改善。研究[23,41,42]表明,添加与某些主元素具有正混合焓的适当元素可以改变原子的成键结构,导致局部成分的不均匀性。本工作中,Ag与Cu的混合焓为+2 kJ/mol,这可能使得微观结构产生局部异质性,并使得主剪切带在扩展时出现许多次级剪切带,这些纵横分布的剪切带相互作用从而提高了块体非晶合金的塑性。此外,微量元素与主要元素之间大的混合焓差异同样可能导致原子尺度上成分的偏析,从而促进强二十面体团簇的形成,导致微观结构异质性。这种结构可以是STZ产生的场所,从而产生次级剪切带来抑制主剪切带的扩展,提高了合金的塑性[43]。
适量的Ag替换Cu除了改善Zr55Ti3Cu32 - x Al10Ag x 合金体系的非晶形成能力、热稳定性及力学性能外,同样改善了其耐生物腐蚀能力。本工作中,Zr55Ti3Cu32 - x Al10-Ag x 非晶合金在SBF和PBS 2种溶液下的耐生物腐蚀性能结果表明,随着一定Ag的加入,锆基块体非晶合金在SBF和PBS溶液中的腐蚀电流密度降低,腐蚀电位提高。从腐蚀形貌中可以看出,Ag的添加改变了合金的腐蚀行为,腐蚀表面有着显著不同的形貌,龟裂且伴有深坑的腐蚀坑形貌消失,表面更为平整且无深裂纹。Zhang等[2]研究表明,在Zr-Co-Al非晶合金中,Ag的加入促进了Al2O3的生成而降低了ZrO4的存在,相较于Zr的氧化物,Al2O3在含有磷酸根离子(PO4+)的溶液中有更好的耐腐蚀性能,因而使得Zr-Co-Al-Ag有着更好的耐腐蚀能力。Sun等[44]在Zr-Cu-Al-Ag非晶合金中也得出了类似的结论,Ag有利于含Al的非晶合金形成具有较高化学稳定性的保护性表面膜。本工作中Ag替换Cu加入到Zr-Ti-Cu-Al非晶合金中,与所报道的研究工作有相似的作用效果。而合金体系中表面氧化膜成分改变的具体原因可能与加入的元素与O的结合能不同有关。标准电极电位(SEP)体现了金属原子被氧化的能力,低的SEP有利于合金发生氧化反应。在Zr55Ti3Cu32 - x Al10Ag x 非晶合金中,Zr4+、Ti2+、Al3+、Cu2+、Ag+的SEP分别为-1.553、-1.630、-1.662、0.337和0.7996 V,Ag+有最高的SEP值,这可能是引起合金表面Zr的氧化物和Al的氧化物成分改变从而提高耐腐蚀性能的原因[45]。除此以外,Ag及其化合物具有纳米和微米效应,它们能够抑制细菌和其他微生物的生长,如病毒、真菌和酵母[46]。
通过上述分析可知,在Zr-Ti-Cu-Al合金体系中用适量的Ag替换Cu,可以使Zr55Ti3Cu32 - x Al10Ag x (x = 0、1、1.5、2,2.5)合金的非晶形成能力、力学性能以及耐生物腐蚀能力均得到有效改善和提高,新的Zr-Ti-Cu-Al-Ag合金体系有望成为一种极具潜力的生物医用材料。
4 结论
(1) 适量Ag的替换提高了Zr55Ti3Cu32 - x Al10Ag x 块体非晶合金的玻璃形成能力和热稳定性。当添加1.5%Ag时,玻璃合金的临界尺寸最大,达到了6 mm;当添加2.5%Ag时,热稳定性最强,晶化激活能Eg、Ex、Ep1、Ep2分别达到了497.9、334.8、344.9和269.8 kJ/mol。
(2) 在添加适量Ag后,合金的力学性能得到了改善。当Ag的添加量为1.5%时,Zr55Ti3Cu32 - x Al10Ag x 块体非晶合金综合力学性能最强,断裂强度、塑性应变和弹性模量分别为1659 MPa、1.94%和54.2 GPa,且此时的弹性模量与人体骨骼更为接近。
(3) 在PBS和SBF 2种腐蚀溶液中,随Ag含量的增加,合金的耐生物腐蚀性能先升高后降低。在PBS溶液中,当Ag含量为1.5%时耐腐蚀性能最佳。与初始合金相比,腐蚀电流密度从5.10 × 10-7 A/cm2降低到1.04 × 10-7 A/cm2,被腐蚀表面只分布有点蚀坑,无松散的龟裂交织。在SBF溶液中,当Ag含量为2%时耐腐蚀性能最佳,与初始合金相比,腐蚀电流密度从5.56 × 10-8 A/cm2降低到1.03 × 10-8 A/cm2,被腐蚀表面分布有点蚀坑,但无深裂纹出现。
参考文献
Glass-forming ability and soft magnetic properties of (Co75Ti25)100 - x Fe x (x; 0-20 at.%) systems fabricated by SPS of mechanically alloyed nanopowders
[J].
Enhancement of glass-forming ability and bio-corrosion resistance of Zr-Co-Al bulk metallic glasses by the addition of Ag
[J].
FeNi-based bulk glassy alloys with superhigh mechanical strength and excellent soft-magnetic properties
[J].
Processing of bulk metallic glass
[J].
Recent development and application products of bulk glassy alloys
[J].
A highly processable metallic glass: Zr41.2Ti13.8Cu12.5Ni10.0Be22.5
[J].
Fabrication of bulk glassy Zr55Al10Ni5Cu30 alloy of 30 mm in diameter by a suction casting method
[J].
Fe-based ferromagnetic glassy alloys with wide supercooled liquid region
[J].
Thermal and magnetic properties of bulk Fe-based glassy alloys prepared by copper mold casting
[J].
Preparation and thermal stability of bulk amorphous Pd40Cu30Ni10P20 alloy cylinder of 72 mm in diameter
[J].
Bulk glass formation in the Pd-Ni-P system
[J].
A group of Cu(Zr)-based BMGs with critical diameter in the range of 12 to 18 mm
[J].A group of Cu(Zr)-based bulk metallic glasses (BMGs) with critical diameter (Dc) in the 12 to 18 mm range have been obtained using copper mould casting. In the Cu-Zr-Y-Al quaternary system, a new record of Dc=14 mm was established for Cu-based compositions, and 16 mm for compositions based on equi-atomic CuZr. Additional partial substitution of Hf for Zr further elevated the Dc to 18 mm at Cu42Zr43Hf1.5Y3.5Al10.
New Cu-Zr-based bulk metallic glasses with large diameters of up to 1.5 cm
[J].
New amorphous Mg-Ce-Ni alloys with high strength and good ductility
[J].
Al-La-Ni amorphous alloys with a wide supercooled liquid region
[J].
Effect of Ti addition on mechanical properties and corrosion resistance of Ni-free Zr-based bulk metallic glasses for potential biomedical applications
[J].
Formation and mechanical properties of Ni-free Zr-based bulk metallic glasses
[J].
Effect of silver, copper, mercury, and nickel ions on cellular proliferation during extended, low‐dose exposures
[J].
Effect of Hf substitution Cu on glass-forming ability, mechanical properties and corrosion resistance of Ni-free Zr-Ti-Cu-Al bulk metallic glasses
[J].
Effects of additional Ag on the thermal stability and glass-forming ability of Cu-Zr binary glassy alloys
[J].
Ni- and Cu-free Zr-Al-Co-Ag bulk metallic glasses with superior glass-forming ability
[J].
The effect of Ag addition on the crystallization kinetics and glass forming ability of Zr-(CuAg)-Al bulk metallic glass
[J].
Glass-forming ability, crystallization kinetics, mechanical property, and corrosion behavior of Zr-Al-Ni-Ag glassy alloys
[J].
Effect of Ag substitution for Ti on glass-forming ability, thermal stability and mechanical properties of Zr-based bulk metallic glasses
[J].
Surface modification of medical metals by ion implantation of silver and copper
[J].
Recent progress in quantifying glass-forming ability of bulk metallic glasses
[J].
Kinetics of solidification of supercooled liquid mercury droplets
[J].
Effect of Nb minor addition on the crystallization kinetics of Zr-Cu-Al-Ni metallic glass
[J].
Isochronal and isothermal crystallization in Zr55Cu30Ni5Al10 bulk metallic glass
[J].
Mechanical properties of Zr57Nb5Al10Cu15.4Ni12.6 metallic glass matrix particulate composites
[J].
Fracture surface morphology of compressed bulk metallic glass-matrix-composites and bulk metallic glass
[J].
Fracture of brittle metallic glasses: Brittleness or plasticity
[J].
Co substituted Zr-Cu-Al-Ni metallic glasses with enhanced glass-forming ability and high plasticity
[J].
Microstructure, decomposition, and crystallization in Zr41Ti14Cu12.5Ni10Be22.5 bulk metallic glass
[J].
Classification of bulk metallic glasses by atomic size difference, heat of mixing and period of constituent elements and its application to characterization of the main alloying element
[J].
High glass-forming ability and unusual deformation behavior of new Zr-Cu-Fe-Al bulk metallic glasses
[J].
Achieving superior glass forming ability of Zr-Cu-Al-Ni-Ti/Ag bulk metallic glasses by element substitution
[J].
Mechanical properties of bulk metallic glasses
[J].
A Ni-free high-zirconium-based bulk metallic glass with enhanced plasticity and biocompatibility
[J].
Effect of Ag addition on the improvement of glass-forming ability and plasticity of Mg-Cu-Gd bulk metallic glass
[J].
Effects of Ag substitution for Fe on glass-forming ability, crystallization kinetics, and mechanical properties of Ni-free Zr-Cu-Al-Fe bulk metallic glasses
[J].
In vitro and in vivo biocompatibility of an Ag-bearing Zr-based bulk metallic glass for potential medical use
[J].
Corrosion behavior and in vitro biocompatibility of Zr-Al-Co-Ag bulk metallic glasses: An experimental case study
[J].
Antibacterial activity and mechanism of silver nanoparticles on Escherichia coli
[J].
/
| 〈 |
|
〉 |
