Ag替换Cu对Zr-Ti-Cu-Al非晶合金性能的影响 |
| 蔡正清, 尹大伟, 杨靓, 王文祥, 王飞龙, 温永清, 马明臻 |
|
Effect of Ag Substitution of Cu on Properties of Zr-Ti-Cu-Al Amorphous Alloys |
| CAI Zhengqing, YIN Dawei, YANG Liang, WANG Wenxiang, WANG Feilong, WEN Yongqing, MA Mingzhen |
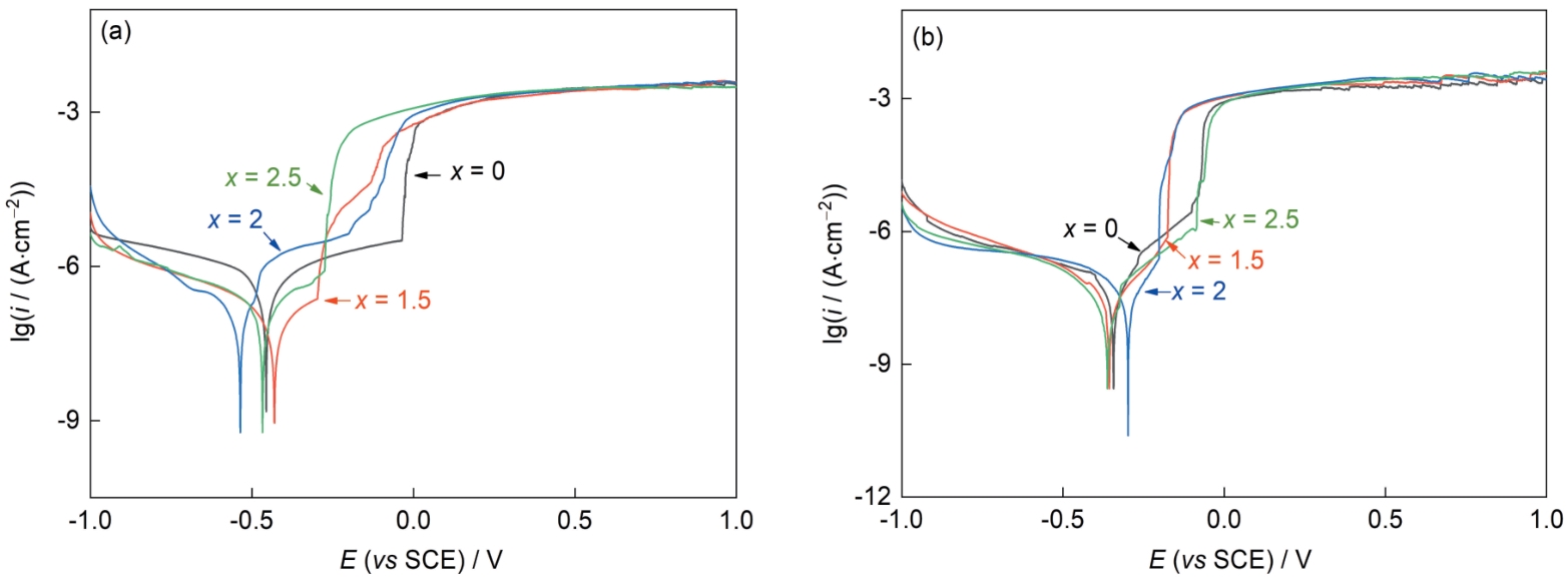
| 图8 Zr55Ti3Cu32 - x Al10Ag x 非晶合金的在2种溶液中的动电位极化曲线 |
| Fig.8 Potentiodynamic polarization curves of Zr55Ti3Cu32 - x Al10Ag x BMG in two kinds of solution (i—current density, E—potential, SCE—saturated calomel electrode) (a) phosphate buffer saline (PBS) (b) simulated body fluid (SBF) |
|