Ag替换Cu对Zr-Ti-Cu-Al非晶合金性能的影响 |
| 蔡正清, 尹大伟, 杨靓, 王文祥, 王飞龙, 温永清, 马明臻 |
|
Effect of Ag Substitution of Cu on Properties of Zr-Ti-Cu-Al Amorphous Alloys |
| CAI Zhengqing, YIN Dawei, YANG Liang, WANG Wenxiang, WANG Feilong, WEN Yongqing, MA Mingzhen |
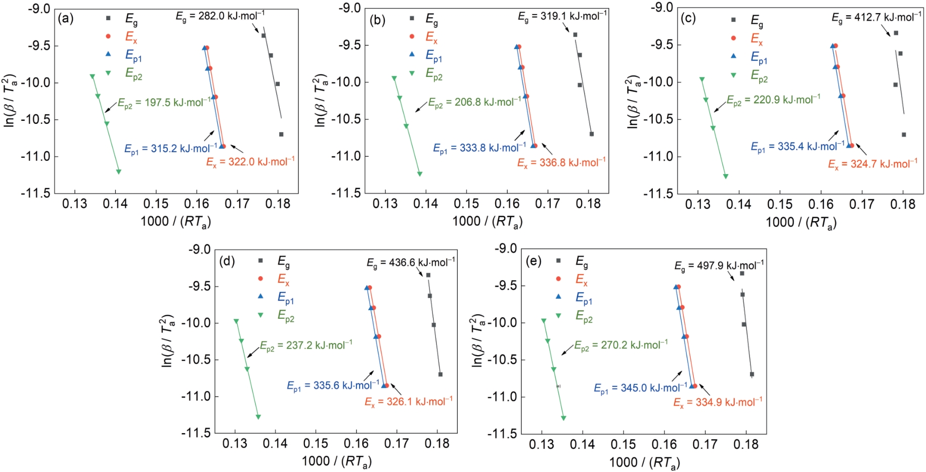
| 图4 Zr55Ti3Cu32 - x Al10Ag x 非晶合金的Kissinger图谱 |
| Fig.4 Kissinger maps of Zr55Ti3Cu32 - x Al10Ag x BMGs (The fits have goodness of fit R2 > 0.95; Ta—characteristic temperature, R—gas constant, Eg—glass transition activation energy, Ex—crystallization nucleation activation energy, Ep1—activa-tion energy for primary crystal growth, Ep2—activation energy for secondary crystal growth) (a) x = 0 (b) x = 1 (c) x = 1.5 (d) x = 2 (e) x =2.5 |
|