低合金高强钢板贝/马复相回火过程硬度及微观组织的演变行为
Hardness and Microstructural Evolution of Lower Bainite and Martensite Mixtures on Tempering of High-Strength Low-Alloy Steel Plates
通讯作者: 鞠玉琳,juyulin1990@ujs.edu.cn,主要从事钢铁材料组织控制与性能研究
责任编辑: 李海兰
收稿日期: 2024-01-29 修回日期: 2024-05-07
| 基金资助: |
|
Corresponding authors: JU Yulin, associate professor, Tel:
Received: 2024-01-29 Revised: 2024-05-07
| Fund supported: |
|
作者简介 About authors
鞠玉琳,女,1990年生,副教授,博士
低合金高强钢板沿厚度方向优异的组织均匀性是良好强韧性的重要保证,理解贝/马复相的回火反应有助于调整低合金高强钢板的热处理工艺参数,实现超厚结构板的变形控制。本工作以贝/马复相的回火硬度和微观组织演变行为作为研究重点,并与单一马氏体和下贝氏体的回火行为进行了对比。结果表明,等温淬火贝/马复相的硬度与下贝氏体含量呈线性关系。短时间回火过程中,单一马氏体回火硬度最高,其次为贝/马复相,单一下贝氏体回火硬度最低,这与长时间回火硬度正好相反。短时间回火过程中,碳化物的粗化与回火硬度的降低息息相关,其中贝/马复相中马氏体和下贝氏体碳化物的粗化速率与单一马氏体和下贝氏体碳化物粗化速率分别保持一致;长时间回火过程中,贝/马复相板条和碳化物的粗化与单一下贝氏体更为相似。
关键词:
Variations in lower bainite and martensite phase configurations through thickness play an important role in achieving an optimum combination of strength and toughness for thick high-strength low-alloy (HSLA) steel plates. A comprehensive understanding of the hardness and microstructural evolution of tempered lower bainite and martensite (LB/M) mixtures contributes to the adjustment of the quenching and tempering parameters to further control HSLA plate deformation during manufacturing. Therefore, this study focused on the tempering behavior of the mixed LB/M microstructure and compared this behavior with those of the singular martensite and lower bainite phases. Results have shown that the hardness of LB/M microstructures follows the rule of mixtures. Hardness declines from singular martensite to the LB/M microstructure and further decreases to singular lower bainite during short-term tempering, whereas an opposite hardness decreasing trend is observed during long-term tempering. Carbide coarsening leads to a decrease in hardness during short-term tempering, where the coarsening of martensitic and lower bainitic carbides in the LB/M microstructure is consistent with that of singular martensitic and bainitic carbides. Furthermore, the coarsening of laths and carbides in the LB/M mixture is similar to that in the singular lower bainitic microstructure for long-term tempering, where lower bainitic carbides are more stable than martensitic carbides.
Keywords:
本文引用格式
鞠玉琳, 魏琪, 袁志钟, 程晓农.
JU Yulin, WEI Qi, YUAN Zhizhong, CHENG Xiaonong.
低合金高强钢一般进行中/高温回火热处理,材料的回火硬度与回火反应息息相关。例如,具有单一马氏体组织的Fe-0.17C-0.5Mo钢600 ℃回火16 h后,碳化物的粗化能够使材料硬度降低20 HV[13]。然而,与单一马氏体或者单一下贝氏体相比,贝/马复相的回火反应(特别是碳化物的演化行为)不尽相同[14,15],例如贝/马复相低碳Fe-0.15C-2.25Cr-1Mo钢500~700 ℃回火过程中马氏体和下贝氏体内(甚至同一相不同部位)碳化物的析出演化行为并不一致:(1) 以合金元素Mo为主的M2C碳化物主要在下贝氏体和马氏体基体析出并均匀分布,这可能是由于Mo主要分布在下贝氏体和马氏体基体中,并非在板条边界处偏析;(2) 下贝氏体内二次富Cr合金碳化物M7C3的开始析出时间略早于马氏体。基于此,贝/马复相回火硬度变化也与单一马氏体或者单一下贝氏体并不一致。目前,文献[16,17]中已报道了有关中/高碳合金钢中贝/马复相的强度与下贝氏体含量的关联性,例如5CrNiMo模具钢贝/马复相组织中,当下贝氏体体积分数位于25%~30%范围内时,低温回火后贝/马复相试样的强韧性优于低温回火后单一马氏体组织。但对于低合金高强钢贝/马复相回火行为及其硬度变化,特别是长时间回火行为,目前鲜有报道。因此,本工作以低合金高强钢贝/马复相组织的回火硬度和微观组织演变为切入点,与单一马氏体或单一下贝氏体回火行为作对比,明确贝/马复相微观组织变化对材料硬度的影响。
1 实验方法
本实验选用热轧态低合金高强钢板(合金成分Fe-0.17C-1.2Mn-0.3Si-0.5Mo-0.05V,质量分数,%)为研究对象,钢板厚度为50 mm,使用线切割和精密抛光方法在钢板芯部加工直径4 mm、长10 mm棒状样品,然后利用Bähr DIL 805A/D高分辨淬火热膨胀仪进行淬火和等温淬火热处理,采用He气精准控制热处理过程的冷却速率,淬火和等温淬火过程中自动记录试样相对长度随热处理温度的变化,其中高分辨淬火膨胀仪的长度测量精度为±50 nm,淬火和等温淬火热处理参数分别为:奥氏体化温度和时间分别为925 ℃和5 min,等温淬火温度为实测Ms + 10 ℃ (详见2.1小节),保温时间分别为8、13和300 s,由奥氏体化温度冷却至等温淬火温度和由等温淬火温度冷却至室温的冷却速率分别为20和30 ℃/s。利用Carbolite RWF 1200箱式马弗炉对淬火和等温淬火试样进行600 ℃回火热处理,箱式马弗炉中回填Ar气防止试样脱碳,回火时间分别为2、16和100 h。
利用Wilson VH1150硬度仪对抛光后的样品进行硬度测试,每个试样测8个点取平均值。采用2% (体积分数)硝酸酒精溶液对抛光后的样品进行腐蚀后,利用Keyence VHX7000金相显微镜(OM)、配有能谱仪(EDS)的JSM-7800扫描电子显微镜(SEM)和JEM-2100透射电子显微镜(TEM)进行微观组织表征。利用Image J软件对马氏体板条(统计数量> 500)和碳化物(统计数量> 1000)尺寸进行统计。利用Thermo-Calc软件计算平衡/亚平衡碳化物的种类和成分,并与碳化物表征结果进行对比。
2 实验结果与分析
2.1 等温淬火试样下贝氏体含量与试样相对长度变化的关系
图1反映了在淬火和等温淬火过程中棒状试样的相对长度变化。其中,根据淬火形成的100%马氏体试样的长度变化曲线可知,实验材料的Ms为420 ℃,则等温淬火过程中的保温温度设为430 ℃ (等温淬火试样分别记为IT430 ℃ + 8 s、IT430 ℃ + 13 s和IT430 ℃ + 300 s)。试样在600 ℃冷却至430 ℃过程中仅发生线性收缩,无其他相变反应,430 ℃等温保温过程中由过冷奥氏体相变形成下贝氏体,试样相变膨胀。下贝氏体铁素体是由过冷奥氏体晶格位移切变形成,而下贝氏体碳化物则是由合金原子扩散形成[18],因此,在给定的等温温度下,试样的长度膨胀量(也代表下贝氏体体积分数,VLB)与保温时间息息相关。通过对金相组织进行检测可知,IT430 ℃ + 300 s试样中可形成100%下贝氏体组织,此时,下贝氏体相变膨胀量达到最大。基于此,根据
式中,ΔLLB + M表示贝/马复相中下贝氏体等温相变过程试样相对长度的变化,ΔLLB表示100%下贝氏体等温相变过程中试样相对长度的变化。可得,IT430 ℃ + 8 s试样的VLB为29.7%,而IT430 ℃ + 13 s试样的VLB为43.8%。
图1
图1
淬火和等温淬火过程中试样的相对长度变化曲线
Fig.1
Dilation changes of samples on quenching and austempering processes
2.2 等温淬火以及回火过程中材料的硬度变化
等温淬火贝/马复相试样的硬度与下贝氏体含量的关系曲线如图2a所示。随着下贝氏体含量的升高,样品的硬度逐渐降低,贝/马复相硬度(H)与下贝氏体体积分数呈线性关系(即H = -1.0VLB + 452.2),由单一马氏体硬度(454 ± 13) HV降低至单一下贝氏体硬度(350 ± 4) HV,这与中/高碳钢贝/马复相组织随下贝氏体含量变化的硬度变化趋势并不相同[16,17],其中低合金高强钢贝/马复相中不存在随下贝氏体含量变化而出现硬度峰值的现象。对于贝/马复相组织而言,影响其强度和硬度的因素主要包括[19~21]:(1) 等温过程中下贝氏体优先形成,贝氏体束分割原奥氏体晶粒,保温过程中合金元素在下贝氏体和未相变的过冷奥氏体之间进行扩散与分配,改变了过冷奥氏体的Ms,从而细化随之形成的马氏体板条结构,实现细晶强化。(2) 等温保温过程中合金元素在下贝氏体内扩散形成碳化物,同一保温温度下的下贝氏体碳化物尺寸分布与保温时间相关,时间越长,碳化物越大,而基体中的合金元素含量(特别是C)则越低,样品硬度也会随之变化。(3) 快速冷却过程中形成的板条马氏体(中碳合金钢中也存在部分孪晶马氏体)挤压周围贝氏体组织,可达到局部位错强化的效果。因此,对等温淬火贝/马复相马氏体板条尺寸和下贝氏体碳化物尺寸分布的定量分析有助于进一步理解贝/马复相的硬度变化(详见2.3节)。
图2
图2
贝/马复相(LB/M)组织600 ℃回火硬度随下贝氏体(LB)体积分数的变化,及回火时间延长至100 h时单一马氏体(100%M)、贝/马复相(56%M + 44%LB)和单一下贝氏体(100%LB)回火硬度的变化
Fig.2
Hardness (H) variations against the volume fraction of lower bainite (LB) in the lower bainite/martensite (LB/M) microstructures on tempering at 600 oC up to 16 h (a), and hardness variations in the singular martensite (100%M), LB/M (56%M + 44%LB), and singular lower bainite (100%LB) microstructures upon temp-ering at 600 oC up to 100 h (b)
下贝氏体的回火稳定性远高于马氏体[18],基于此,下贝氏体回火硬度的降低速率也应低于马氏体。当回火时间小于16 h时,单一马氏体的回火硬度最高,单一下贝氏体的回火硬度最低,贝/马复相组织的回火硬度与下贝氏体体积分数呈线性相关,其中回火2和16 h硬度与下贝氏体体积分数的线性关系分别为H = -0.5VLB + 359.0和H = -0.3VLB + 317.4,即贝/马复相组织中下贝氏体的体积分数越高,回火硬度降低越缓慢,越接近单一下贝氏体回火硬度的降低速率,如图2a所示。此外,无论在单一马氏体或者下贝氏体还是贝/马复相组织中,回火2 h后的硬度下降更加明显,而后下降速率逐渐降低。因此,在短时间回火过程中,贝/马复相中下贝氏体与马氏体的回火速率与单一下贝氏体或者马氏体的回火速率保持一致。当回火时间延长至100 h时(图2b),回火硬度的下降趋势偏离回火时间< 16 h的硬度下降趋势,此时单一马氏体的回火硬度降至最低((190 ± 5) HV),其次为贝/马复相(56%M + 44%LB,下文如无说明,均指该成分复相组织)的回火硬度((204 ± 4) HV),单一下贝氏体的回火硬度反而最高((264 ± 6) HV)。这表明,在长时间回火过程中(16 h <回火时间< 100 h),单一马氏体内碳化物的粗化以及板条结构的回复、再结晶行为可能快于单一下贝氏体或者贝/马复相组织,导致回火马氏体的硬度急剧下降。
2.3 等温淬火贝/马复相微观组织的形成
图3和4为贝/马复相、单一马氏体及下贝氏体试样的显微组织OM像、SEM像和碳化物形貌,若不考虑材料凝固过程中元素偏析对材料淬透性的影响,则在同一等温温度下相变形成的下贝氏体束尺寸应保持一致。理论上,等温下贝氏体形成过程中,合金元素(特别是C)不仅能够在下贝氏体内部扩散、形成碳化物,也可在下贝氏体与未相变的过冷奥氏体之间分配,从而改变过冷奥氏体的Ms,在更低温度下形成更加细小的板条马氏体[22]。基于此,贝/马复相中马氏体板条尺寸与过冷奥氏体的Ms有关,也与等温下贝氏体形成过程中的合金元素扩散相关。根据对图1中淬火和等温淬火过程中马氏体相变点分析可知,在单一马氏体和贝/马复相中,Ms和Mf (马氏体转变结束温度)基本一致(分别为420和310 ℃左右)。同时,通过对单一马氏体和贝/马复相组织中马氏体板条尺寸分布的对比可知(图5a),2者的板条尺寸分布并未发生明显变化,平均马氏体板条尺寸保持一致(板条宽度均为0.3~0.4 μm),这更加印证了无论是单相还是贝/马复相中的板条马氏体均极有可能是在同一Ms下形成的,在等温淬火过程中合金元素的扩散并不能明显改变过冷奥氏体的Ms以及马氏体板条尺寸。此外,由于过冷奥氏体的Ms较高,贝/马复相中的马氏体也会发生自回火现象,形成棒状ε-碳化物和渗碳体,如图4d所示。其中,ε-碳化物和渗碳体分别沿<001>α 和<011>α 晶向,与单一马氏体中的自回火碳化物保持一致[13]。因此,贝/马复相中马氏体对材料硬度的贡献与单一马氏体具有一致性。
图3
图3
100%M、LB/M (56%M + 44%LB)和100%LB试样显微组织的OM像
Fig.3
OM images of 100%M (a), LB/M (56%M + 44%LB) (b), and 100%LB (c) samples
图4
图4
100%LB、LB/M (56%M + 44%LB)和100%M试样的SEM像,及贝/马复相马氏体内自回火碳化物的形貌
Fig.4
SEM images of 100%LB (a), LB/M (56%M + 44%LB) (b), and 100%M (c) samples; and TEM image and selected area electron diffractin (SAED) pattern (inset) of the auto-tempered carbides within martensite in the LB/M microstructure, where the bright-field TEM image is from <001>α beam direction (Cementite and ε-carbide particles are along <011>α and <001>α, respectively) (d)
图5
图5
100%M和LB/M (56%M + 44%LB)试样中马氏体板条的尺寸分布,以及LB/M (56%M + 44%LB)和100%LB试样中下贝氏体碳化物的尺寸分布
Fig.5
Martensitic lath size distributions in the 100%M and LB/M (56%M + 44%LB) samples (a), and bainitic carbide size distributions in the LB/M (56%M + 44%LB) and 100%LB samples (b)
虽然等温下贝氏体形成过程中合金元素并未发生远距离扩散,从而改变过冷奥氏体的合金成分与Ms,但是,合金元素在下贝氏体内的微区扩散与下贝氏体碳化物的析出和长大紧密相关。理论上,保温时间越长,合金元素的扩散距离越大,碳化物的尺寸也随之增大。图5b对比了单一下贝氏体与贝/马复相组织中棒状下贝氏体碳化物的长度尺寸分布,可知:(1) 贝/马复相组织中下贝氏体碳化物长度主要集中在25~300 nm,平均长度为100~125 nm;(2) 在单一下贝氏体中,碳化物的平均尺寸略有升高(125~150 nm),但差别并不明显。因此,贝/马复相与单一下贝氏体碳化物的尺寸分布保持一致,即,贝/马复相中下贝氏体对材料硬度的贡献应与单一下贝氏体相同。综上所述,该合金等温淬火后形成的贝/马复相硬度变化与下贝氏体和马氏体的含量相关,即与下贝氏体含量呈线性相关,如图2所示,这与中/高碳合金钢中贝/马复相对材料硬度(强度)的贡献有所差别[16,17,19,20]。
2.4 回火过程贝/马复相微观组织演变
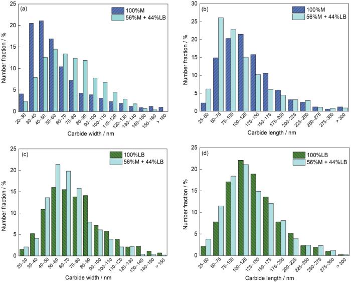
在调制型低合金高强钢中,细小、弥散分布的碳化物对材料强度十分关键,而碳化物的粗化则与回火硬度的下降具有极大的关联性[23~25],因此,对单一马氏体、贝/马复相以及单一下贝氏体中的马氏体和下贝氏体碳化物尺寸进行定量分析,能够进一步明确回火过程中贝/马复相中马氏体和下贝氏体内碳化物的粗化速率及其粗化对回火硬度的贡献。图6a~c分别为单一马氏体、贝/马复相和单一下贝氏体600 ℃回火16 h后的微观形貌。与等温淬火试样进行对比可以看出,马氏体和下贝氏体中的碳化物开始逐渐粗化,椭圆形碳化物主要集中在板条边界,种类为渗碳体(图6d),细小的碳化物主要分布在板条内部。由于基体内大量弥散分布的碳化物的钉扎作用,马氏体和下贝氏体中的板条结构依然清晰可见。通过对单一马氏体和贝/马复相中马氏体碳化物尺寸的定量分析(图7a和b)可知:(1) 单一马氏体和贝/马复相中马氏体内碳化物的长度变化保持一致,大部分马氏体内碳化物长度集中在50~200 nm;(2) 贝/马复相马氏体内碳化物的球化速率仅略高于单一马氏体碳化物,贝/马复相中马氏体内碳化物宽度主要集中在30~120 nm,而单一马氏体内碳化物宽度主要集中在20~100 nm,若考虑实验统计误差,则可认为单一马氏体和贝/马复相中马氏体内碳化物的粗化速率基本一致,即回火速率保持一致。同样地,通过对单一下贝氏体和贝/马复相中下贝氏体碳化物的尺寸分析(图7c和d)也可以看出,无论单一下贝氏体还是贝/马复相中,下贝氏体内碳化物的回火稳定性都相对较高,与等温淬火后下贝氏体碳化物的长度分布差异不大(图5b),此外,2者中下贝氏体碳化物的粗化速率保持一致。因此,在短时间回火过程中(回火时间< 16 h),单一相或者贝/马复相中的马氏体碳化物和下贝氏体碳化物的粗化速率均各自保持一致,这表明,碳化物的粗化对回火硬度的贡献也应各自保持一致,即在短时间回火过程中,贝/马复相的回火硬度基本与下贝氏体和马氏体含量保持线性关系(图2a)。
图6
图6
600 ℃回火16 h后100%M、LB/M (56%M + 44%LB)和100%LB试样的微观形貌以及板条边界椭圆形渗碳体
Fig.6
SEM images of 100%M (a), LB/M (56%M + 44%LB) (b), and 100%LB (c) samples; and TEM image and SAED pattern (inset) of elliptical inter-lath cementite after tempering at 600 oC for 16 h (d)
图7
图7
600 ℃回火16 h后,100%M和LB/M (56%M + 44%LB)试样中马氏体碳化物的宽度和长度分布,以及100%LB和LB/M (56%M + 44%LB)试样中下贝氏体碳化物的宽度和长度分布
Fig.7
Width (a) and length (b) distributions for martensitic carbides in the 100%M and LB/M (56%M + 44%LB) samples, and width (c) and length (d) distributions for bainitic carbides in the100%LB and LB/M (56%M + 44%LB) samples after tempering at 600 oC for 16 h
低合金高强钢贝/马复相的短时间高温回火硬度和微观组织演变与中/高碳合金钢并不完全一致。根据图2a可知,低合金高强钢贝/马复相的回火硬度随着回火时间的延长(回火时间≤ 16 h)逐渐降低;但是,对于中/高碳合金钢的贝/马复相而言[16,17,26],在特定回火温度和时间下,其回火硬度并不低于未回火硬度,例如M50钢[26]经240 ℃等温淬火1 h后,再进行550 ℃回火2 h,所得到的回火硬度反而略高于未回火贝/马复相试样的硬度。2者中贝/马复相短时间高温回火硬度变化趋势的不同又与以下微观组织紧密相关:(1) 未回火贝/马复相中是否存在残余奥氏体以及回火过程中残余奥氏体是否进行分解,(2) 回火组织中是否存在细小、弥散的合金碳化物,(3) 回火过程中下贝氏体和马氏体板条尺寸的变化。首先,在等温淬火过程中,由于合金元素(例如C)的分配,下贝氏体板条间极易形成残余奥氏体,这在中/高碳合金钢中十分常见[9,10,26];但是,由于低合金高强钢含C量较低,因此,在贝/马复相中并未检测到残余奥氏体(或者含量极低,详见2.3节对Ms和Mf的讨论)。所以,在短时间高温回火过程中,中/高碳合金钢贝/马复相内的残余奥氏体可以分解形成细小的马氏体和碳化物,从而提高了其回火硬度。其次,对于含有强碳化物形成元素的中/高碳合金钢而言,下贝氏体和马氏体板条间极易析出纳米尺寸的合金碳化物(如MC、M2C、M23C6等[26,27]),具有极强的析出强化效果,这与图6中下贝氏体和马氏体板条间所析出的碳化物从种类、尺寸和形状上均有不同。然而,正是由于板条间弥散分布的碳化物的钉扎作用,在短时间高温回火过程中,低合金高强钢(图7)和中/高碳合金钢[26]的下贝氏体和马氏体板条尺寸均变化不大。
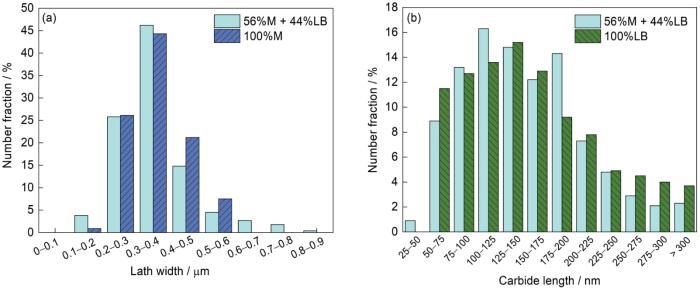
当回火时间延长至100 h时,由于回复和部分再结晶现象的发生,单一马氏体、下贝氏体和贝/马复相中的板条尺寸大大增加,甚至某些马氏体板条消失,如图8所示,此时对贝/马复相中马氏体和下贝氏体的区分,特别是马氏体和下贝氏体碳化物的区分,则相对困难。在单一马氏体中,粗大碳化物主要分布在原奥氏体晶界上,许多铁素体基体内的碳化物已溶解或者尺寸很小,出现了无碳化物区域。而在单一下贝氏体和贝/马复相中,碳化物的回火稳定性高于单一马氏体碳化物,铁素体基体内还存在小尺寸碳化物,板条结构依然清晰可见。就贝/马复相板条宽度而言,如图9a所示,由等温淬火后的0.3~0.4 μm宽度增至回火100 h后的0.6~0.7 μm宽度,最大板条宽度达1.6~1.7 μm,与单一下贝氏体内的板条宽度分布十分接近。就贝/马复相的碳化物尺寸分布而言,如图9b和c所示,贝/马复相中碳化物的尺寸分布与单一下贝氏体内碳化物的更加类似,例如,碳化物平均宽度和长度分别集中在60~80 nm和75~175 nm尺寸范围,大尺寸碳化物的数量占比均小于单一马氏体。在单一马氏体中,20%~30%原奥氏体晶界被粗大碳化物(碳化物直径可达1 μm)所覆盖,而在贝/马复相和单一下贝氏体中,仅小于10%的原奥氏体晶界被覆盖。以上均说明,在长时间回火过程中,贝/马复相中的板条和碳化物粗化行为与单一下贝氏体中的板条和碳化物粗化行为更加接近,基于此,2者的长时间回火硬度变化趋势也相对一致,与单一马氏体相差较大(图2b)。
图8
图8
600 ℃回火100 h后,100%M、LB/M (56%M + 44%LB)和100%LB试样的微观形貌
Fig.8
Morphologies of 100%M (a), LB/M (56%M + 44%LB) (b), and 100%LB (c) samples after tempering at 600 oC for 100 h
图9
图9
600 ℃回火100 h后,LB/M (56%M + 44%LB)和100%LB试样中板条尺寸分布,以及100%M、LB/M (56%M + 44%LB)和100%LB试样中碳化物宽度和长度尺寸分布
Fig.9
Lath size distribution for the 100% LB and LB/M (56%M + 44%LB) samples (a), and the carbide width (b) and length (c) distributions for the 100%M, LB/M (56%M + 44%LB), and 100%LB samples after tempering at 600 oC for 100 h
此外,回火时间越长,碳化物析出演变越接近平衡态,研究[25]表明,低合金高强钢600 ℃回火2 h后碳化物的体积分数即达到平衡碳化物体积分数。那么,在长时间回火过程中合金元素逐渐由基体扩散至碳化物中,非稳态碳化物逐渐向亚稳态甚至稳态碳化物演变[28,29]。通过对马氏体和下贝氏体内粗大碳化物进行成分分析可知,Mn和Mo元素逐渐向碳化物内富集,如图10b、c、f和g所示。将马氏体和下贝氏体内粗大碳化物的化学成分与Thermo-Calc计算结果进行对比发现,2者中直径大于1 μm的粗大碳化物都更接近亚稳态合金渗碳体,而非富Mo的M2C型碳化物,如图10d、h和表1所示。马氏体中合金渗碳体的成分与下贝氏体合金渗碳体的成分略有不同,同时结合碳化物尺寸分布可知,下贝氏体渗碳体更加稳定。众所周知,下贝氏体在形成过程中已经部分回火[18],在较高等温温度下,下贝氏体渗碳体的形成可能是不完全-类平衡形成机制(pseudo-paraequilibrium mechanism),这与自回火马氏体渗碳体的类平衡机制(仅存在C原子扩散)[30]并不相同,从而大大增加了下贝氏体碳化物的回火稳定性。以Fe-0.3C-0.25Si-1.22Mn-0.14Cr-0.03Mo钢(质量分数,%)单一下贝氏体组织为例[11],当下贝氏体转变温度≥ 400 ℃时,下贝氏体渗碳体内Cr含量大于铁素体基体中Cr含量,即下贝氏体渗碳体在析出过程中可能存在置换原子的扩散,最终增强了下贝氏体碳化物的回火稳定性。
图10
图10
600 ℃回火100 h后,马氏体和下贝氏体内粗大碳化物的形貌、选定区域Mn和Mo元素的分布及碳化物的成分
Fig.10
Morphologies and chemical compositions of coarser carbides in martensite (a-d) and bainite (e-h) after tempering at 600 oC for 100 h
(a, e) morphologies for martensitic carbides (a) and bainitic carbides (e) (b-d) Mn (b) and Mo (c) distributions in the selected area in Fig.10a and the carbide composition (d) (f-h) Mn (f) and Mo (g) distributions in the selected area in Fig.10e and the carbide composition (h)
表1 马氏体和下贝氏体中粗大碳化物的成分比X / Fe (X = Mn、Mo)
Table 1
| X | Martensitic carbide | Bainitic carbide | Paraequilibrium cementite | Paraequilibrium M2C |
|---|---|---|---|---|
| Mn | 0.10 | 0.03 | 0.17 | 7.07 |
| Mo | 0.05 | 0.02 | 0.01 | 55.96 |
3 结论
(1) 低合金高强钢等温淬火贝/马复相的硬度与下贝氏体和马氏体含量有关,即与下贝氏体含量呈线性关系。贝/马复相中马氏体的板条尺寸和自回火碳化物种类与单一马氏体保持一致,而贝/马复相中下贝氏体碳化物与单一下贝氏体碳化物尺寸分布基本相同。
(2) 在短时间回火过程中(回火时间< 16 h),低合金高强钢的回火硬度从单一马氏体到贝/马复相再到单一下贝氏体逐渐降低,贝/马复相的回火硬度与下贝氏体含量依然保持线性关系,此时回火硬度的降低与碳化物的粗化密切相关。贝/马复相中的马氏体和下贝氏体碳化物粗化速率与单一马氏体和单一下贝氏体碳化物粗化速率分别保持一致,其中位于板条边界、相对粗大的椭圆形碳化物种类为渗碳体。
(3) 在长时间回火过程中(回火时间约100 h),单一马氏体的回火硬度反而最低,其次为贝/马复相,单一下贝氏体硬度最高,与短时间回火硬度变化趋势相反,这与板条的回复、再结晶行为以及碳化物的粗化行为密切相关,其中贝/马复相的板条与碳化物的粗化与单一下贝氏体更为相似,下贝氏体碳化物的长时间回火稳定性高于马氏体碳化物。
参考文献
Development trend of low alloy high strength heavy and wide plate
[J].
低合金高强度宽厚钢板的发展趋势
[J].低合金高强度钢板是宽厚板生产企业都特别关注且积极开发的重要产品系列。着重从使用低合金高强度宽厚钢板量大面广的8个重要领域对品种需求和发展趋势进行阐述,并分析了与此类钢板生产相关的微合金化、超低碳贝氏体钢及控轧控冷等3项工艺技术。
Effect of heat treatment on strength and toughness of S890 high strength steel
[J].
不同热处理工艺对S890高强钢强韧性的影响
[J].
Study on quenching process of 960 MPa quenched and tempered steel plates for construction machinery
[J].
工程机械用960MPa级调质钢板的淬火工艺研究
[J].
Effect of Si on the acceleration of bainite transformation by pre-existing martensite
[J].
The tempering behavior of martensite/austenite islands on the mechanical properties of a low alloy Mn-Ni-Mo steel with granular bainite
[J].
Morphologies of martensite and bainite in different steels
[J].
不同钢中马氏体与贝氏体组织形貌
[J].不同热处理工艺下,钢中马氏体与贝氏体含量与形貌不同,造成钢的力学性能具有差异。通过对45钢、40Cr钢、38CrSi钢进行不同的热处理,获得不同形貌的马氏体、贝氏体组织。采用OM、SEM、TEM对不同钢中的马氏体、贝氏体进行组织形貌观察及分析,并估算了其含量。结果表明,不同碳含量的钢经过水冷淬火热处理后,马氏体组织形貌随碳含量的升高而变化,由低碳板条状过渡到中碳针状板条状并存。同一种钢经过不同热处理后可得到不同形貌的贝氏体组织,45钢、40Cr钢、38CrSi钢贝氏体组织多在晶界处形核并向晶内长大。无碳贝氏体与粒状贝氏体的析出与热处理工艺有关,贝氏体形貌随碳含量与热处理温度的降低由羽毛状逐步过渡到无碳贝氏体。
Effect of bainite/martensite mixed microstructure on the strength and toughness of low carbon alloy steels
[J].
贝氏体/马氏体复相组织对低碳合金钢强韧性的影响
[J].
Microstructure and properties of 1500 MPa economical bainite/martensite duplex phase steel
[J].
1500 MPa级经济型贝氏体/马氏体复相钢的组织与性能
[J].
Heat treatment technologies for toughening of cold working die steel DC53
[J].
冷作模具钢DC53热处理增韧技术
[J].
Heat treatment for toughening technology of cold working die steel SKD11
[J].SKD11 steel plate after hot rolling and spheroidizing annealing was used. Two kinds of complex phase heat treatment processes, A-Q-A (Austempering-Quenching-Austempering) and Q-T-A (Quenching-Tempering-Austempering), as well asconventional Q-T(Quenching-Tempering) heat treatment process were carried out. The effect of heat treatment process on the microstructure, hardness and impact absorbed energy was studied. The results show that the microstructure of the specimens after A-Q-A and Q-T-A is the combination of lower bainite (LB) and martensite (M). The content of retained austenite is 13.2% and 18.6% for A-Q-A and Q-T-A, respectively. After A-Q-A, Q-T-A and conventional heat treatment Q-T, the hardness of the specimens is 58.5, 58.6 and 60.5 HRC and the impact absorbed energy is 31.3, 27.6 and 15 J, respectively. The excellent combination of strength and toughness of the SKD11 steel plate is realized by the duplex-phase heat treatments, which does a beneficial exploration in improving the toughness of the cold working die steel.
冷作模具钢SKD11的热处理增韧技术
[J].选用热轧和球化退火后的SKD11钢板, 对其进行A-Q-A(Austempering-Quenching-Austempering)、Q-T-A(Quenching-Tempering-Austempering)两种复相热处理工艺以及Q-T(Quenching-Tempering)常规热处理工艺, 研究不同热处理工艺对钢板微观组织、硬度和冲击吸收能量的影响。结果表明: A-Q-A和Q-T-A热处理试样的组织均为下贝氏体(LB)和马氏体(M)的复相组织, 并且残留奥氏体(RA)的含量分别为13.2%和18.6%。经A-Q-A、Q-T-A和常规热处理Q-T后, 试样的硬度分别为58.5、58.6和60.5 HRC, 冲击吸收能量分别为31.3、27.6和15 J。复相处理的工艺实现了SKD11钢板优异的强韧性配合, 为提升冷作模具钢的韧性进行了有益的探索。
Influence of transformation temperature on carbide precipitation sequence during lower bainite formation
[J].
Effect of martensite morphology on mechanical properties of low alloy steels having mixed structure of martensite and lower bainite
[J].
Characterisation of precipitation and carbide coarsening in low carbon low alloy Q&T steels during the early stages of tempering
[J].
Changes in chemical composition of carbides in 2.25Cr-1Mo power plant steel
[J].
Changes in chemical composition of carbides in 2.25Cr-1Mo power plant steel
[J].
Study on the martensite and lower bainite composite structure of medium carbon low alloy steel
[J].
中碳低合金钢的马氏体与下贝氏体复相组织研究
[J].
Strengthening and toughening of Cr12 steel with martensite/bainite duplex treatment and its application
[J].
Cr12钢马氏体-贝氏体复相处理强韧化及应用
[J].
Heat treatment for improvement in lower temperature mechanical properties of 0.40 pct C-Cr-Mo ultrahigh strength steel
[J].
Improvement in lower temperature mechanical properties of 0.40 pct C-Ni-Cr-Mo ultrahigh strength steel with the second phase lower bainite
[J].
Microstructure and properties of a carbide-free bainite/martensite ultra-high strength steel
[J].
无碳化物贝氏体马氏体复相高强度钢的组织与性能
[J].阐述了新型Mn--Si--Cr系无碳化物贝氏体/马氏体(CFB/M)复相钢的组织与合金设计思想;研究了复相钢在空冷条件下的组织及其精细结构, 并系统地总结了实验钢经不同温度回火后的力学性能. 实验结果表明, 复相高强钢在具有优良的强韧性能的同时, 又具有较高的延迟断裂抗力和抗疲劳破坏能力, 其强韧性的提高归于其独特的组织结构:贝氏体碳化物被薄膜状残余奥氏体所取代, 大大改善了复相钢的回火稳定性和疲劳性能, 稳定的残余奥氏体薄膜作为不可逆氢陷阱, 并显著提高了钢的抗氢脆能力.
Strength of mixtures of bainite and martensite
[J].
Carbon redistribution and carbide precipitation in a high-strength low-carbon HSLA-115 steel studied on a nanoscale by atom probe tomography
[J].
Precipitation in high strength low alloy (HSLA) steel: A TEM study
[J].
Simulation of coarsening of inter-lath cementite in a Q&T steel during tempering
[J].
Evolution of microstructure and mechanical properties during tempering of M50 steel with bainite/martensite duplex structure
[J].
Effect of thermal fatigue on microstructure and mechanical properties of B/M multiphase H13 steel
热疲劳对B/M复相H13钢组织及力学性能的影响
[J].
Carbide precipitation and coarsening kinetics in low carbon and low alloy steel during quenching and subsequently tempering
[J].
Early stages of cementite precipitation during tempering of 1C-1Cr martensitic steel
[J].
Atomic and nanoscale chemical and structural changes in quenched and tempered 4340 steel
[J].
/
| 〈 |
|
〉 |
