低合金高强钢板贝/马复相回火过程硬度及微观组织的演变行为 |
| 鞠玉琳, 魏琪, 袁志钟, 程晓农 |
|
Hardness and Microstructural Evolution of Lower Bainite and Martensite Mixtures on Tempering of High-Strength Low-Alloy Steel Plates |
| JU Yulin, WEI Qi, YUAN Zhizhong, CHENG Xiaonong |
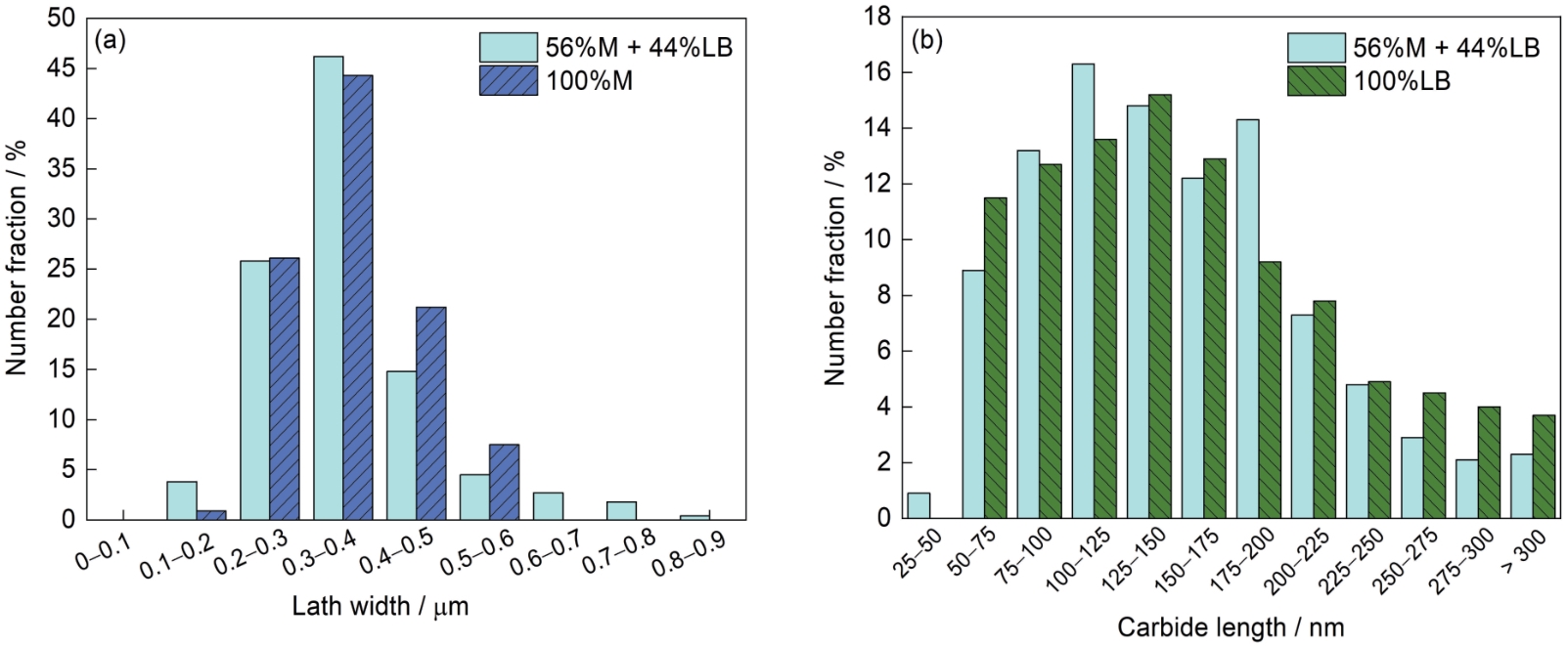
| 图5 100%M和LB/M (56%M + 44%LB)试样中马氏体板条的尺寸分布,以及LB/M (56%M + 44%LB)和100%LB试样中下贝氏体碳化物的尺寸分布 |
| Fig.5 Martensitic lath size distributions in the 100%M and LB/M (56%M + 44%LB) samples (a), and bainitic carbide size distributions in the LB/M (56%M + 44%LB) and 100%LB samples (b) |
|