金属学报(中文版)  2019 , 55 (1): 141-148 https://doi.org/10.11900/0412.1961.2018.00108

Orginal Article

原位反应浸渗法制备(B4C+Ti)混杂增强Mg及AZ91D复合材料及其阻尼性能

姚彦桃1, 陈礼清2, 王文广1

1 辽宁石油化工大学机械工程学院 抚顺 113001
2 东北大学轧制技术及连轧自动化国家重点实验室 沈阳 110819

Damping Capacities of (B4C+Ti) Hybrid Reinforced Mg and AZ91D Composites Processed by In Situ Reactive Infiltration Technique

YAO Yantao1, CHEN Liqing2, WANG Wenguang1

1 School of Mechanical Engineering, Liaoning Shihua University, Fushun 113001, China
2 Key Laboratory of Rolling and Automation, Northeastern University, Shenyang 110819, China

中图分类号:  TG146.2

文章编号:  0412-1961(2019)01-0141-08

通讯作者:  通讯作者 姚彦桃,yaoyantao@lnpu.edu.cn,主要从事金属基复合材料的研究

收稿日期: 2018-03-21

网络出版日期:  2019-01-11

版权声明:  2019 《金属学报》编辑部 《金属学报》编辑部

基金资助:  国家自然科学基金项目 No.51271051

作者简介:

作者简介 姚彦桃,女,1987年生,博士

展开

摘要

针对B4C/Mg体系润湿性较差导致复合效率低下的问题,加入高熔点、不互熔金属Ti颗粒来改善该体系的润湿性,并成功利用原位反应浸渗法实现(B4C+Ti)/Mg和(B4C+Ti)/AZ91D复合材料的高效、低成本制备。对制备的(B4C+Ti)/Mg和(B4C+Ti)/AZ91D复合材料的微观组织、生成物相以及室温和高温阻尼性能进行了分析与表征。结果表明,制备温度对复合材料的微观组织和生成物相有较大的影响;随着制备温度的升高,原始颗粒之间的原位反应程度逐渐趋于完全,(B4C+Ti)/AZ91D复合材料的微观组织逐渐由颗粒增强结构转变为网络互穿结构。(B4C+Ti)/Mg和(B4C+Ti)/AZ91D复合材料的室温和高温阻尼性能分别随着应变振幅和温度的升高而增强,主要作用机制为位错阻尼和界面阻尼机制。

关键词: 镁基复合材料 ; 润湿性 ; 原位反应浸渗法 ; 微观组织 ; 阻尼性能

Abstract

Mechanical vibration causes lots of damage in automotive industry, machinery manufacturing and aerospace field. Noise control also causes much damage to human health. So it is of great significance to seek materials with high damping capacity to alleviate or eliminate mechanical vibration and noise. Pure Mg has the highest damping capacity among all of the commercial metal materials, but its low mechanical property impose restrictions on its pervasive application. Therefore, magnesium matrix composites reinforced with high mechanical property reinforcement can exhibit excellent damping capacity and mechanical property simultaneously, and this kind of material has attracted great attention and interest from researchers in recent years. A variety of preparation methods has been utilized to prepare magnesium matrix composites reinforced with different reinforcements. In situ reactive infiltration is a relatively new processing method to prepare metal matrix composites, which combines the advantages of in situ reaction synthesis and pressureless infiltration, and it has received increasing attention because of its cost-effectiveness, simplicity and high-efficiency, and near-net shaping capability. And by tailoring the relative density of preform, magnesium matrix composites with a high volume fraction of ceramic reinforcement can be obtained. In view of the poor wettability of B4C/Mg system leading to low efficiency of composite, Ti particulates with high melting point and immiscible with magnesium was added. And (B4C+Ti)/Mg and (B4C+Ti)/AZ91D composites have been prepared successfully by in situ reactive infiltration method with high efficiency and low cost. Microstructure, phase composition and damping capacities of the as-fabricated composites were characterized and analyzed. Results showed that with increasing the preparation temperatures, the reaction between the starting materials is more complete, and the microstructure of (B4C+Ti)/AZ91D composites tends to be interpenetrating networks from particle reinforced structure. The strain-dependent and temperature-dependent damping capacities of (B4C+Ti)/Mg and (B4C+Ti)/AZ91D composites improve gradually with the increase of strain amplitude and temperature respectively, and the dominant damping mechanisms are dislocation damping and interface damping.

Keywords: magnesium matrix composite ; wettability ; in situ reactive infiltration ; microstructure ; damping capacity

0

PDF (6815KB) 元数据 多维度评价 相关文章 收藏文章

本文引用格式 导出 EndNote Ris Bibtex

姚彦桃, 陈礼清, 王文广. 原位反应浸渗法制备(B4C+Ti)混杂增强Mg及AZ91D复合材料及其阻尼性能[J]. 金属学报(中文版), 2019, 55(1): 141-148 https://doi.org/10.11900/0412.1961.2018.00108

YAO Yantao, CHEN Liqing, WANG Wenguang. Damping Capacities of (B4C+Ti) Hybrid Reinforced Mg and AZ91D Composites Processed by In Situ Reactive Infiltration Technique[J]. Acta Metallurgica Sinica, 2019, 55(1): 141-148 https://doi.org/10.11900/0412.1961.2018.00108

机械振动控制在汽车、机械制造及航空航天等领域占据着极其重要的位置,而减弱或消除噪声对人体健康也有重要的意义。材料的阻尼性能是材料将机械振动能转化为热能从而实现对机械振动或噪声的减弱或消除[1,2],而寻找高阻尼的可以减弱或消除机械振动、噪声的材料对减震、降噪行业的发展至关重要[3]。在所有商业金属材料中,Mg的阻尼性能最好,但其机械性能较差限制了其广泛应用[4]。近年来,机械性能较好的镁基复合材料因能同时具备较好的阻尼性能和机械性能而受到了研究者们的广泛关注[5]

迄今为止,已有很多方法被用来制备镁基复合材料,例如铸造法[6]、粉末冶金法[7]、浸渗法[8]和原位合成法[9]等。铸造法或粉末冶金法所需设备或制备过程比较复杂,使得制备成本大幅增加。浸渗法由于具有低成本、高效、近终成型,并能获得高体积分数陶瓷增强相的特点受到研究者的青睐[10]。但是,利用该方法制备镁基复合材料时,由于金属熔体表面能较高,导致金属熔体与陶瓷增强相之间的润湿性较差,要实现复合过程具有一定的难度。原位合成法能原位生成热力学稳定的增强相,而且界面清洁,增强相更加细小、分布更加均匀[11,12]。原位反应浸渗法综合了浸渗法和原位合成法的优势,其主要特点是设备简单、制备成本低廉、过程简洁高效、制品近终成型,并且能制备出细小均匀、界面清洁的原位增强相,是镁基复合材料新型特殊制备技术[13]

对于镁基复合材料的阻尼性能,很多研究者也进行了深入的研究。Schaller[14]对Mg-2%Si (质量分数,下同)合金进行单向凝固,制备了Mg2Si/Mg复合材料,其机械强度与工业铸造镁合金AZ63相同,但其阻尼性能却超出100倍以上。Zhang等[15]利用重熔和稀释法制备了TiC/Mg复合材料,发现其阻尼性能与振幅和温度有关,而应变振幅阻尼和温度阻尼性能的主要作用机制不同。Wu等[16]对比研究了搅拌铸造法制备的Grp/AZ91和 SiCp/Grp/AZ91复合材料的阻尼性能,结果表明,Gr颗粒的加入改善了其应变振幅阻尼,而SiC则提高了其屈服强度。Anasori和Barsoum等[17]利用无压浸渗法制备了TiC和Ti2AlC增强镁基复合材料,指出增强颗粒的性质和体积分数以及基体合金的成分均会对复合材料的阻尼性能产生较大的影响。Zhang等[18]利用原位合成法制备了TiC/Mg复合材料,发现该复合材料阻尼性能的提高与位错移动、孪晶、晶界滑移和界面滑移有关。Huang等[19]对比研究了泡沫镁和SiC/Mg泡沫复合材料的阻尼性能,发现该复合材料的阻尼性能在250 ℃以下较好,在250 ℃以上时则相对较差。Gu等[20]研究了粉末冶金法和热挤压技术制备的包覆Cu和未包覆Cu的SiC/Mg复合材料的阻尼性能,发现温度较低时Mg的阻尼性能较好,温度在75 ℃以上时未包覆Cu的SiC/Mg复合材料的阻尼性能较好,而温度在250 ℃以上时包覆Cu的SiC/Mg复合材料的阻尼性能较好。综合分析发现,对各种工艺制备的镁基复合材料的阻尼性能均有研究;增强相的加入会影响Mg或镁合金基体的阻尼性能,而复合材料阻尼性能的影响因素较多,作用机制也较为复杂。然而,对于原位反应浸渗法制备的(B4C+Ti)混杂增强Mg及AZ91D复合材料的阻尼性能及其作用机制尚不清楚,相关研究也未见报道。

为了改善Mg或镁合金熔体与B4C陶瓷增强相间的润湿性,在B4C增强相中加入高熔点、不互熔金属Ti颗粒,从而实现Mg或镁合金熔体对陶瓷预制块的高效浸渗;同时,B4C和Ti发生原位反应,生成热力学稳定、细小均匀的原位增强相,即利用原位反应浸渗法实现了镁基复合材料的高效、低成本制备。此外,对制备的(B4C+Ti)/Mg和(B4C+Ti)/AZ91D复合材料的微观组织和生成物相进行了分析与表征,并研究这2种复合材料的阻尼性能及主要作用机制。

1 实验方法

实验用原材料为Ti粉(纯度≥99.5%)、B4C粉(纯度≥94.66%),以及低压/半连续铸造法生产的纯Mg锭(纯度≥99.95%)和AZ91D镁合金锭(Mg-9.5%Al-0.5%Zn-0.21%Mn,纯度≥99.5%)。图1为利用原位反应浸渗法制备(B4C+Ti)/Mg和(B4C+Ti)/AZ91D复合材料的工艺流程图。该方法主要包含2个过程:(B4C+Ti)陶瓷预制块的制备和原位反应浸渗过程。详细过程如下:首先,将Ti和B4C 2种粉末按3∶1 (化学计量比,平衡反应为3Ti+B4C=TiC+2TiB2)的摩尔比转换为质量比,利用Statorius CP225D型电子分析天平(精度为0.01 mg)分别称取72.27%和27.73% (质量分数)的Ti和B4C颗粒并机械混合均匀;然后,加入5% (体积分数)聚乙烯醇水溶液(PVA,黏结剂)并混合均匀;将混合均匀的粉末单向冷压成致密度为50%的长条形预制块(尺寸为60 mm×25 mm×20 mm);将陶瓷预制块和预先制备的纯Mg锭或AZ91D镁合金锭依次放入石墨模具,再将该石墨模具置于电阻炉反应室,关闭电阻炉,通入流通的高纯Ar气作为保护气体;最后,将电阻炉以5 ℃/min的速率分别加热至800、850和900 ℃,保温90 min,随炉冷却即可制得(B4C+Ti)/Mg和(B4C+Ti)/AZ91D复合材料。

图1   原位反应浸渗法制备(B4C+Ti)/Mg和(B4C+Ti)/AZ91D复合材料的工艺流程图

Fig.1   Flow chart of in situ reactive infiltration technique for preparing (B4C+Ti)/Mg and (B4C+Ti)/AZ91D composites (PVA—polyvinyl alcohol)

利用Quanta 600扫描电镜(SEM)、Tecnai G2 F20透射电子显微镜(TEM)及X'Pert Pro X射线衍射仪(XRD)对复合材料进行显微组织观察及物相分析。利用DMA Q800动态热机械分析仪测试(B4C+Ti)/Mg和(B4C+Ti)/AZ91D复合材料的阻尼性能。阻尼实验的振动模式为单悬臂梁振动模式,跨距为17.5 mm,试样尺寸为35 mm×8 mm×1 mm。试样的阻尼性能或结构内耗用相位角(δ)的正切(tanδ,损耗系数)来表征。对复合材料进行结构内耗的振幅特性实验时,测试条件为:应变振幅范围1×10-6~1.2×10-3,振动频率1 Hz,测试温度为室温。在进行结构内耗的温度特性实验时,测试条件为:温度范围为室温~300 ℃,升温速率5 ℃/min,振动频率1 Hz,应变振幅4×10-4

2 实验结果

2.1微观组织和物相分析

图2为增强颗粒B4C和Ti的SEM像。可以看出,B4C和Ti颗粒均呈不规则形状,尺寸分别为≤28和44 μm。图3为分别在800、850和900 ℃制备的(B4C+Ti)/Mg和(B4C+Ti)/AZ91D复合材料的SEM像。可以看出,这2种复合材料均无明显的颗粒偏聚或宏观孔洞等缺陷,组织比较均匀致密。此外,B4C和Ti颗粒呈不规则形状均匀分布于Mg或AZ91D基体,而且在B4C和Ti颗粒表层均生成了一层白色的物质,经能谱(EDS)分析为Ti的硼化物或碳化物,可以推测原始增强颗粒B4C与Ti之间可能发生了一定的化学反应。研究[21]指出,Ti的碳化物和硼化物是很难区分的,这主要是因为二者均含有Ti元素,而且B元素和C元素都较轻。

图2   原始增强颗粒B4C和Ti的SEM像

Fig.2   SEM image of starting reinforcing particles of B4C and Ti

图3   不同温度制备的(B4C+Ti)/Mg和(B4C+Ti)/AZ91D复合材料的SEM像

Fig.3   SEM images of (B4C+Ti)/Mg (a, c, e) and (B4C+Ti)/AZ91D (b, d, f) composites prepared at 800 ℃ (a, b), 850 ℃ (c, d) and 900 ℃ (e, f)

图3a、c和e可知,随着制备温度的升高,(B4C+Ti)/Mg复合材料中B4C和Ti颗粒表层包覆的白色物质逐渐增多,且Ti颗粒尺寸逐渐变小。当温度升高至900 ℃ (图3e)时,在B4C和Ti颗粒间隙还发现了较多细小的颗粒,经EDS分析为Ti,这可能是由于基体熔体浸渗预制块时的强力渗入导致Ti颗粒开裂碎化变小。

观察图3b、d和f发现,在不同温度制备的(B4C+Ti)/AZ91D复合材料中,增强颗粒间隙的细小颗粒更多,经EDS分析为Ti颗粒。可见,在该复合材料中Ti颗粒的碎化现象更为严重。此外,当制备温度由800 ℃升高至900 ℃时,(B4C+Ti)/AZ91D复合材料的微观组织发生了较大的变化,由较低温度下的颗粒增强结构逐渐转变为连续网络互穿结构,而且基体中的增强颗粒更加细小,说明原始颗粒B4C和Ti之间的原位反应程度更大。然而,该复合材料中仍然存在原始增强颗粒,表明原始粉末间的原位反应仍然不够完全。

图4为不同温度制备的2种复合材料的XRD谱。从图4a可以看出,在800和850 ℃制备的(B4C+Ti)/Mg复合材料的主要物相为B13C2、Ti、Mg、TiB和TiC。Shen等[22]研究表明,原始反应物B4C之所以会转变为B13C2,主要是因为随着B4C中C浓度的降低,B元素取代了二十面体间链上的C元素,使C—B—C链变成了C—B—B链。TiC和TiB的出现,表明原始增强颗粒B4C和Ti之间发生了初步的原位反应,Mg衍射峰的存在表明Mg熔体成功浸渗进入陶瓷预制块。在900 ℃制备的(B4C+Ti)/Mg复合材料的主要物相为Ti、Mg、TiB、Ti3B4和TiC。新物相Ti3B4的生成,说明制备温度的升高有利于原位反应的进一步进行,而且TiB相优先于Ti3B4产生,但中间物相TiB、Ti3B4的存在表明原始颗粒B4C和Ti之间的反应仍不够完全。

图4   不同温度制备的(B4C+Ti)/Mg和(B4C+Ti)/AZ91D复合材料的XRD谱

Fig.4   XRD spectra of (B4C+Ti)/Mg (a) and (B4C+Ti)/AZ91D (b) composites prepared at different temperatures

图4b可以看出,在800和850 ℃制备的(B4C+Ti)/AZ91D复合材料的主要物相均有B13C2、Ti、Mg、TiB和TiC,在800 ℃制备的复合材料中还有Ti3B4相。当温度升高至900 ℃时,复合材料的主要物相则为B13C2、Ti、Mg、TiB、TiC和TiB2,最终平衡产物TiC和TiB2的生成,表明(B4C+Ti)/AZ91D复合材料中的原位反应更加完全,且TiB、Ti3B4相优先于TiB2相生成。

综上分析可知,制备温度的升高有助于原始增强颗粒B4C和Ti之间原位反应的进一步进行,而AZ91D镁合金作为基体也可促进原始增强颗粒之间原位反应的进行;此外,在Mg或AZ91D基体中,TiB、Ti3B4和TiB2相的生成有一定顺序,TiB、Ti3B4和TiB2相先后依次生成。

2.2 阻尼性能

2.2.1 阻尼-应变振幅谱 图5为不同温度制备的(B4C+Ti)/Mg和(B4C+Ti)/AZ91D复合材料及相应基体的阻尼-应变振幅谱。由图可知,复合材料及相应基体的室温阻尼性能与应变振幅的关系表现为相关和无关2部分。当应变振幅较小时,复合材料及基体的阻尼性能随应变振幅变化不大;当应变振幅较大时,复合材料及基体的阻尼性能均随应变振幅的增加而急剧上升。

图5   不同温度制备的复合材料与基体金属应变振幅内耗谱的比较

Fig.5   Comparisons of strain dependent damping capacities between the fabricated (B4C+Ti)/Mg composites and Mg matrix (a), (B4C+Ti)/AZ91D composites and AZ91D matrix (b) at different temperatures (tanδ—loss factor, ε—strain amplitude)

根据Granato-Lücke位错钉扎理论,材料的阻尼性能(Q-1)可表示如下[5]

Q-1=Q0-1+Qh-1(1)

其中, Q0-1=ρBLC4ω/(36Gb2)(2)

Qh-1=C1εexp(-C2ε)(3)

式中, Q0-1Qh-1分别为应变振幅无关和相关部分,ε为应变振幅,C1C2为材料常数,LC为相邻弱钉扎间位错的平均长度,ρ为位错密度,B为系统常数,ω为振动频率,Gb分别为剪切模量和Burgers矢量模。

由式(3)可得到:

lnQh-1ε=lnC1-C2ε(4)

根据式(4)可绘制出所制备复合材料及基体的Granato-Lücke曲线,如图6所示。可以看出,复合材料及基体的Granato-Lücke曲线仅在有限应变振幅范围内为直线,这表明Granato-Lücke位错理论并不完全适用于复合材料及相应基体,即除位错阻尼机制外,其它阻尼机制,如基体和增强相间的界面阻尼或晶界阻尼机制,也作用于复合材料及相应基体。

图6   不同温度制备的复合材料与基体金属的Granato-Lücke曲线

Fig.6   Granato-Lücke plots for the fabricated (B4C+Ti)/Mg composites and Mg matrix (a), (B4C+Ti)/AZ91D composites and AZ91D matrix (b) at different temperatures (Qh-1—strain amplitude dependent component)

可以用Granato-Lücke位错理论对复合材料及相应基体的室温阻尼性能变化趋势进行解释。图7为复合材料中位错形貌的TEM像。可以看出,复合材料或基体中的位错线由弱钉扎点和强钉扎点所钉扎。当应变振幅较小时,钉扎点之间的位错线作往复振动来消耗能量。在该阶段,复合材料的阻尼性能受应变振幅的影响很小(如图5应变振幅无关部分所示)。当应变振幅增大时,如果应力超过一定值,位错就会从弱钉扎点(如空位、固溶原子)脱钉,并在2个强钉扎点之间做“弓出”的往复运动。随着应变振幅的进一步增大,发生“雪崩”式的脱钉和大面积的弓出运动消耗能量,使复合材料和相应基体的阻尼性能急剧提高[23] (如图5应变相关部分所示)。

图7   (B4C+Ti)/Mg和(B4C+Ti)/AZ91D复合材料中位错形貌的TEM像

Fig.7   TEM images of dislocations of (B4C+Ti)/Mg (a) and (B4C+Ti)/AZ91D (b) composites

图5还可以看出,(B4C+Ti)/Mg复合材料的阻尼性能明显优于相同条件下制备的(B4C+Ti)/AZ91D复合材料。这主要是因为(B4C+Ti)/AZ91D复合材料中合金元素较多,这些杂质原子聚集在位错线上,使位错的钉扎长度变短,位错难以做“弓出”往复运动消耗能量,从而使得(B4C+Ti)/AZ91D复合材料的阻尼性能相对较低。

此外,由图5还可以看出,制备温度越低,所制备的(B4C+Ti)/Mg和(B4C+Ti)/AZ91D复合材料的阻尼性能反而越好,这主要是因为界面阻尼的作用。当基体与增强相间的结合界面为弱界面时,界面可以在应力作用下发生相对微滑移,这也是金属基复合材料阻尼增加的一个原因[24]。由前文可知,制备温度越高,原始颗粒B4C和Ti之间的原位反应越强烈,原位自生增强相越多,增强颗粒和基体之间的界面结合越牢固,界面滑移也越不容易发生。因此,制备温度越高,(B4C+Ti)/Mg和(B4C+Ti)/AZ91D复合材料的阻尼性能反而越低。

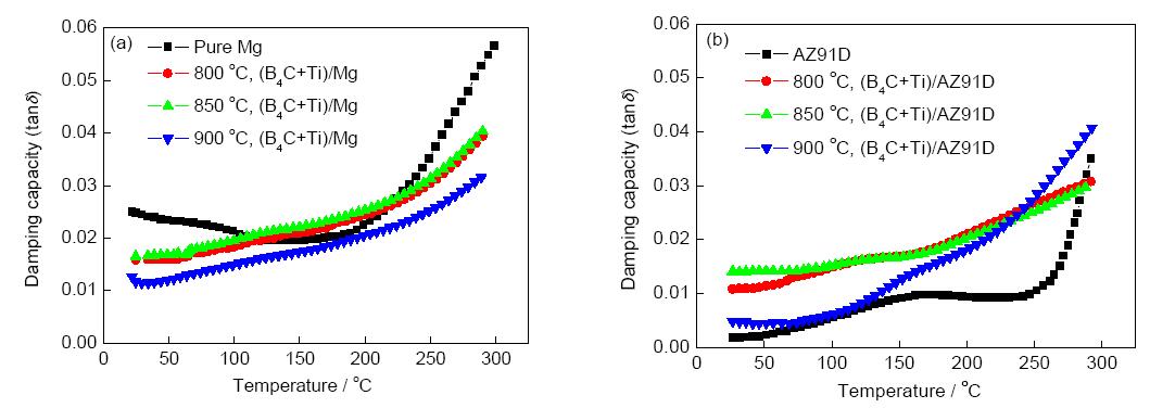
2.2.2 阻尼-温度谱 图8为不同温度制备的(B4C+Ti)/Mg和(B4C+Ti)/AZ91D复合材料及基体的温度内耗谱。由图可知,2种复合材料的阻尼性能均随着温度的升高而增强。这与室温下复合材料的位错阻尼机制不同,界面阻尼是高温下金属基复合材料最重要的阻尼机制,而界面包括晶界以及基体与增强相之间的界面。

图8   不同温度制备的复合材料与基体金属温度内耗谱的比较

Fig.8   Comparisons of temperature dependent damping capacities between the fabricated (B4C+Ti)/Mg composites and Mg matrix (a), (B4C+Ti)/AZ91D composites and AZ91D matrix (b) at different temperatures

(B4C+Ti)/Mg和(B4C+Ti)/AZ91D复合材料的这种高温阻尼性能可以用界面阻尼机制进行解释。图9为(B4C+Ti)/Mg复合材料中原位生成的增强相TiB的TEM像和选区电子衍射花样(SAED)。可以看出,基体和增强相之间的结合界面比较清洁、界面结合较好。当外加应力增加时,界面和晶界会发生滑移来消耗能量,而在界面处消耗的能量则主要取决于温度、剪切应力和滞弹性应变[25]。当温度升高时,Mg或AZ91D基体相首先变软,温度继续上升时,复合材料的界面结合强度会随着温度的升高而降低。当基体与增强相之间的界面结合力小于外加应力时,增强相与基体之间必然会产生界面滑移,消耗振动能量,从而提高阻尼性能。这种界面滑移所产生的阻尼性能将随着温度的升高而增强,逐渐成为复合材料的主要阻尼源。

图9   (B4C+Ti)/Mg复合材料中原位增强相TiB的TEM像及SAED花样

Fig.9   TEM image and SAED pattern (inset) of TiB in (B4C+Ti)/Mg composites

图8a可见,在800和850 ℃制备的(B4C+Ti)/Mg复合材料的阻尼性能相差不大,而在900 ℃制备的复合材料的阻尼却明显低于这2个温度所制备复合材料及Mg基体。这可能是因为在900 ℃制备的(B4C+Ti)/Mg复合材料中,原始颗粒B4C和Ti之间的原位反应程度更大,基体与原位增强相之间的界面结合强度越大,越难以发生界面滑移。因此,更高温度下所制备的(B4C+Ti)/Mg复合材料的阻尼性能反而相对较差。

图8b可见,在800和850 ℃制备的(B4C+Ti)/AZ91D复合材料在整个测试温度范围内的阻尼相差不大,阻尼性能的变化趋势也比较平缓;而且,比相同条件下所制备的(B4C+Ti)/Mg复合材料的阻尼性能略低。这主要是因为AZ91D镁合金中的杂质元素较多,这些杂质元素聚集在位错线上钉扎位错,使位错难以发生阻尼振动消耗能量。此外,在900 ℃制备的(B4C+Ti)/AZ91D复合材料的阻尼增加趋势较大,在温度低于250 ℃时,该复合材料的阻尼性能一直低于800和850 ℃所制备的复合材料;而当温度高于250 ℃时,其阻尼则超出了这2个温度下所制备的复合材料,并且急剧增加。由前文可知,在900 ℃所制备的(B4C+Ti)/AZ91D复合材料的微观组织已近乎为连续网络互穿结构。当温度较低时,该复合材料的界面结合强度相对较高,界面滑移不易发生;当温度升高至250 ℃以上时,任一界面发生滑移均可能导致连续网络互穿结构发生连锁界面滑移,导致界面滑移距离大幅度增加,随之消耗的能量也急剧增加。

3 结论

(1) 利用原位反应浸渗法成功制备了(B4C+Ti)/Mg和(B4C+Ti)/AZ91D复合材料,且制备温度对微观组织及生成物相的影响较大。随着制备温度的升高,原始增强颗粒之间的原位反应程度逐渐加大,(B4C+Ti)/AZ91D复合材料的微观组织逐渐由颗粒增强结构转变为连续网络互穿结构。

(2) 在室温下,(B4C+Ti)/Mg和(B4C+Ti)/AZ91D复合材料的主要阻尼机制可归因于位错阻尼和界面阻尼。这2种复合材料的阻尼性能随着应变振幅的增加逐渐提高,而且(B4C+Ti)/Mg复合材料的阻尼性能比相同条件下制备的(B4C+Ti)/AZ91D复合材料更为优异。

(3) 温度较高时,界面阻尼是(B4C+Ti)/Mg和(B4C+Ti)/AZ91D复合材料的主要阻尼机制。这2种复合材料的内耗均随着温度的升高而逐渐增大。

The authors have declared that no competing interests exist.


/