Acta Metallurgica Sinica  2016 , 52 (8): 923-930 https://doi.org/10.11900/0412.1961.2015.00581

论文

微结构和应力比对Ti-6Al-4V高周和超高周疲劳行为的影响*

刘小龙1, 孙成奇1, 周砚田2, 洪友士1

1 中国科学院力学研究所非线性力学国家重点实验室, 北京100190 。
2 瓦房店轴承股份有限公司热处理分厂, 大连 116300

EFFECTS OF MICROSTRUCTURE AND STRESS RATIO ON HIGH-CYCLE AND VERY-HIGH-CYCLE FATIGUE BEHAVIOR OF Ti-6Al-4V ALLOY

LIU Xiaolong1, SUN Chengqi1, ZHOU Yantian2, HONG Youshi1

1 State Key Laboratory of Nonlinear Mechanics, Institute of Mechanics, Chinese Academy of Sciences, Beijing 100190, China 。
2 Heat Treatment Plant, Wafangdian Bearing Co. Ltd., Dalian 116300, China

中图分类号:  TG113.2

文献标识码:  A

文章编号:  0412-1961(2016)08-0923-08

通讯作者:  Correspondent: HONG Youshi, professor, Tel: (010)82543966, E-mail: hongys@imech.ac.cn

收稿日期: 2015-11-12

网络出版日期:  2016-08-31

版权声明:  2016 《金属学报》编辑部 《金属学报》编辑部

基金资助:  * 国家自然科学基金项目11202210和11572325资助

作者简介:

作者简介: 刘小龙, 男, 1988年生, 博士

展开

摘要

采用旋转弯曲和超声疲劳实验分别测试了全等轴和等轴双态组织Ti-6Al-4V合金的高周和超高周疲劳性能, 并用SEM观察了疲劳断口特征. 结果表明: 2种组织Ti-6Al-4V合金的高周和超高周疲劳行为相似, 不同应力比下, 其S-N曲线均表现出单线形或双线形的形式; 存在滑移机制和解理机制2种疲劳破坏机制. 随应力比增加, 2种组织Ti-6Al-4V合金的高周和超高周疲劳破坏机制均从滑移机制向解理机制转变. 基于疲劳寿命和疲劳强度建立模型分析了应力比对2种机制之间竞争行为的影响, 模型预测结果与实验结果趋势吻合.

关键词: Ti-6Al-4V合金 ; 超高周疲劳 ; 微结构 ; 应力比 ; 滑移机制 ; 解理机制

Abstract

Titanium alloys have been widely used as superior engineering materials because of their high specific strength, high temperature resistance and high corrosion resistance. In their engineering applications such as used in aircraft engines, titanium alloys may experience even 1010 fatigue cycles. Recently, faceted crack initiation was observed in high-cycle fatigue (HCF) and very-high-cycle fatigue (VHCF) regimes of titanium alloys, which resulted in a sharp decrease in fatigue strength. Therefore, the HCF and VHCF of titanium alloys have both scientific significance and engineering requirement. In this work, the effects of microstructure and stress ratio (R) on HCF and VHCF of a Ti-6Al-4V alloy have been investigated. Fatigue tests were conducted on a rotating-bending fatigue machine and an ultrasonic fatigue machine. All the fatigue fracture surfaces were observed by SEM. The results show that the HCF and VHCF behaviors of the fully-equiaxed and the bimodal Ti-6Al-4V alloy are similar. The observations of fracture surface indicate that two crack initiation mechanisms prevail, i.e. slip mechanism and cleavage mechanism. With the increase of stress ratio, the crack initiation mechanism switches from slip to cleavage. The S-N curves present the single-line type or the bilinear type. For the cases of rotating-bending and ultrasonic axial cycling with R= -1.0, -0.5 and 0.5, the S-N curves are single-line type corresponding to the slip mechanism or cleavage mechanism. For the cases of R= -0.1 and 0.1, the S-N curves are bilinear type corresponding to both slip and cleavage mechanisms. A model based on fatigue life and fatigue limit is proposed to describe the competition between the two mechanisms, which is in agreement with the experimental results.

Keywords: Ti-6Al-4V alloy ; very-high-cycle fatigue ; microstructure ; stress ratio ; slip mechanism ; cleavage mechanism

0

PDF (1553KB) 元数据 多维度评价 相关文章 收藏文章

本文引用格式 导出 EndNote Ris Bibtex

刘小龙, 孙成奇, 周砚田, 洪友士. 微结构和应力比对Ti-6Al-4V高周和超高周疲劳行为的影响*[J]. , 2016, 52(8): 923-930 https://doi.org/10.11900/0412.1961.2015.00581

LIU Xiaolong, SUN Chengqi, ZHOU Yantian, HONG Youshi. EFFECTS OF MICROSTRUCTURE AND STRESS RATIO ON HIGH-CYCLE AND VERY-HIGH-CYCLE FATIGUE BEHAVIOR OF Ti-6Al-4V ALLOY[J]. Acta Metallurgica Sinica, 2016, 52(8): 923-930 https://doi.org/10.11900/0412.1961.2015.00581

随着现代工程技术的发展, 许多工程应用中, 如航空、铁路和桥梁等, 对构件的疲劳寿命往往要求达到107 cyc以上, 这就要求对材料在107 cyc以上的疲劳行为进行研究[1,2]. 钛合金由于具有比强度高、耐高温以及耐腐蚀等优越性能, 在航空航天领域被大量应用. 因此需要对钛合金的高周和超高周疲劳行为进行研究[3~5].

Neal和Blenkinsop[6]首次报道了钛合金发生大于107 cyc的疲劳破坏. 之后越来越多的研究者[7~12]开始关注钛合金的超高周疲劳行为, Neal和Blenkinsop[6]在钛合金内部裂纹萌生区域发现了光滑的解理面, 称为Facet, 认为Facet对于钛合金的内部裂纹萌生具有重要影响, 提出了初生α晶粒解理形成Facet的机制. 已有研究[7~12]也关注了微结构对钛合金超高周疲劳行为的影响, 其中Chandran[12]研究了初生α相比例对β钛合金Ti-10V-2Fe-3Al疲劳行为的影响, 发现初生α相比例变化影响钛合金3种疲劳破坏类型的发生概率. 然而初生α相比例对Ti-6Al-4V合金超高周疲劳行为影响的研究报道较少.

合金材料在实际应用中的载荷形式多种多样, 这就要求对不同应力比下合金材料超高周疲劳行为进行研究[13~15]. 通常材料疲劳行为的研究都在应力比R= ‒1.0的条件下进行, 再利用Goodman关系[16]或Gerber关系[17]得到其它应力比下的疲劳强度, 但是以上2个经验公式在超高周疲劳阶段是否适用需要进一步验证. 已有研究[18~21]表明, 应力比不仅影响钛合金的疲劳性能, 也影响钛合金的超高周疲劳裂纹萌生机理.

已有研究[3,7]报道, 钛合金的高周和超高周疲劳裂纹萌生有2种形式, 即表面滑移裂纹萌生和解理裂纹萌生. 然而关于2种裂纹萌生机制之间的竞争关系还不是很清楚, 同时微结构和应力比对2种裂纹萌生机制的影响也需要进一步研究. 本工作利用旋转弯曲疲劳试验机和超声疲劳试验机, 进行了全等轴和等轴双态组织Ti-6Al-4V合金的高周和超高周疲劳实验, 研究了微结构和应力比对Ti-6Al-4V合金高周和超高周疲劳行为的影响; 同时基于疲劳寿命和疲劳强度, 模型分析了应力比对表面裂纹萌生和内部裂纹萌生机制之间竞争行为的影响, 并与实验结果进行了对比.

1 实验方法

实验采用的Ti-6Al-4V合金为直径16 mm的退火态棒材, 其化学成分(质量分数, %)为: Al 5.8, V 4.2, Fe 0.12, N 0.03, C 0.02, H 0.005, O 0.15, Ti余量. 试样分别经过退火(700 ℃, 2 h, A.C.)和固溶时效处理(920 ℃, 1 h, A.C. +550 ℃, 4 h, A.C.)得到全等轴组织和等轴双态组织. 利用Sirion 400型扫描电子显微镜(SEM)及电子背散射衍射(EBSD)观察2种组织的微结构特征. 用MTS-810型材料试验机对2种组织的5个拉伸试样进行了拉伸实验, 拉伸强度取平均值. 用Everone MH-60型硬度测试仪进行显微硬度测试, 分别测得20个点, 取均值.

疲劳实验在Giga-YRB200型旋转弯曲疲劳试验机和GF-20K型超声疲劳试验机上完成, 其中旋转弯曲疲劳试验机的频率为52.5 Hz, 超声疲劳试验机的频率为20 kHz. 超声轴向载荷下, 全等轴组织分别进行了应力比为-1.0和0.1的疲劳实验, 等轴双态组织进行了应力比为-1.0, -0.5, -0.1, 0.1和0.5的疲劳实验. 试样尺寸如图1所示. 疲劳实验前, 所有试样都用砂纸进行了打磨和机械抛光. 在旋转弯曲载荷和轴向载荷下进行疲劳实验, 直到试样发生断裂或寿命达到109 cyc, 其中旋转弯曲载荷下的疲劳实验历时近750 d, 得到了2×109 cyc的数据. 疲劳实验后, 对所有的断口都进行了SEM观察. 同时也利用Multimode PicoForce原子力显微镜(AFM)和能谱仪(EDS)分析了裂纹萌生区域的特征.

图1   疲劳试样形状和尺寸示意图

Fig.1   Schematics of shape and dimensions of specimens (unit: mm, R—stress ratio)(a) rotating bending (b) ultrasonic, R= -1.0 (c) ultrasonic, R>-1.0=2.26×107 cyc)

2 实验结果

2.1 材料微结构

图2为经退火和固溶时效热处理的2种Ti-6Al-4V合金的SEM像. 可见, 2种组织的晶粒都为等轴状, 差别是初生α相比例不同, 其中退火态试样为全等轴组织, 其初生α相比例达95%以上 (图2a) ; 而固溶时效热处理试样为等轴双态组织, 其初生α相比例约为50% (图2b). 图3是2种组织微结构的EBSD结果. 可见, 2种组织都存在<1010>方向的织构, 全等轴组织的平均晶粒尺寸为3.87 μm, 等轴双态组织的平均晶粒尺寸为5.89 μm. 经测量2种组织的拉伸强度分别为960和945 MPa, 显微硬度分别为320和312 HV.

图2   经退火和固溶时效热处理的2种Ti-6Al-4V合金的SEM像

Fig.2   SEM images of Ti-6Al-4V alloy after annealing (700 ℃, 2 h, A.C.) (a) and solution-ageing (920 ℃, 1 h, A.C. + 550 ℃, 4 h, A.C.) (b) heat-treatments (αp—primary α grain, ββ grain, αs—secondary α grain)

2.2 断口特征

Ti-6Al-4V合金的高周和超高周疲劳过程中, 载荷条件和微结构不同, 疲劳裂纹的萌生方式也不同. SEM观察了所有断口, 结果表明, Ti-6Al-4V合金高周和超高周疲劳存在2种典型的断口类型, 即滑移机制引起的裂纹萌生断口和解理机制引起的裂纹萌生断口. 图4是滑移机制疲劳断口. 这种机制在合金的疲劳破坏中较常见, 通常认为是位错滑移在材料表面形成驻留滑移带, 驻留滑移带之间形成挤入挤出, 最后导致裂纹形成, 简称滑移机制. 2种组织中, 旋转弯曲加载与R= -1.0和-0.5轴向加载的所有断口都是这种类型, R= -0.1和0.1轴向加载的高应力条件下也属于这种类型.

图3   经退火和固溶时效热处理的2种Ti-6Al-4V合金的EBSD结果

Fig.3   EBSD results of Ti-6Al-4V alloy after annealing (a) and solution-ageing (b) heat-treatments

图4   滑移机制的疲劳断口

Fig.4   Fatigue crack initiation by slip mechanism (σa—fatigue strength, Nf—fatigue life)(a) fully-equiaxed microstructure (rotating bending, σa=620 MPa, Nf=4.38×107 cyc)(b) bimodal microstructure (rotating bending, σa=690 MPa, Nf=2.47×105 cyc)

图5是解理机制疲劳断口, 包括内部解理裂纹萌生(图5a)和表面解理裂纹萌生(图5b). 其中内部解理裂纹萌生区域具有“鱼眼”特征, 高倍数观察萌生区域中心位置呈现粗糙形貌, 该形貌分为两部分, 一部分是光滑的解理面, 称为Facet, 如图中箭头所示, 另一部分为连接Facet的粗糙起伏区域. 这种疲劳破坏形式在钛合金中较常见, 本文称其为解理机制. 2种组织中, R= -0.1和0.1轴向加载低应力条件下属于这种类型, R=0.5轴向加载的所有断口都是这种类型.

图5   解理机制的疲劳断口

Fig.5   Fatigue crack initiation by cleavage mechanism (arrows show the facets)(a) fully-equiaxed microstructure (axial loading at R=0.1, σa=339 MPa, Nf=3.09×107 cyc) (b) bimodal microstructure (axial loading at R=0.1, σa=339 MPa, Nf=2.26×107 cyc)

图6为AFM表征的内部裂纹萌生断口粗糙区域形貌. 结果表明, Facet的起伏很小(图6b), 最大为14 nm, 这反映Facet是沿晶粒内某个晶面发生解理. 连接Facet的起伏区域的粗糙度较大(图6c), 最大值达到2217 nm, 而初生α相晶粒尺寸为5.89 μm, 2者在一个数量级上, 说明Facet在连接过程中, 受微结构的影响很大. 粗糙区域外围的“鱼眼”位置的最大起伏为209 nm (图6d), 比粗糙区域的起伏小1个量级, 这也是2者在SEM下形貌差别明显的原因.

图6   内部裂纹萌生区域示意图和原子力显微镜表征的形貌

Fig.6   Schematic of interior crack initiation (a) and morphologies of facet (b), rough area (c) and fish-eye (d) by AFM (bimodal microstructure, axial loading at R=0.1, σa=250 MPa, Nf=2.02×107 cyc)

钛合金中存在hcp晶体结构的α相和bcc晶体结构的β相, 其中Al为α相稳定元素, V为β相稳定元素. 如图7所示, 对裂纹萌生区域的Facet进行EDS分析, 结果表明解理面位置有Al元素偏聚, 因此可以认为解理面对应的微结构是初生α相晶粒. β相的EDS结果表现为V的偏聚, 而Al含量很低.

图7   解理面的形貌及EDS分析

Fig.7   Morphology of cleavage facet (a) and EDS result of facet (b) (bimodal microstructure, axial loading at R=0.1, σa=339 MPa, Nf

图8是Facet和初生α相晶粒尺寸分布. 图中显示, Facet的尺寸分布基本包含在初生α相晶粒尺寸分布之内, 同时Facet的平均尺寸略小于初生α相晶粒尺寸. Facet和初生α相晶粒尺寸分布对比结果也支持前面的结论, 即Facet的形成与初生α相晶粒解理有关.

图8   Facet和初生α相晶粒尺寸分布

Fig.8   Distributions of facet size and primary α grain size

2.3 S-N曲线

S-N曲线反映了材料疲劳寿命Nf随循环载荷变化的趋势, 包含了疲劳裂纹萌生和扩展的机理, 是表征材料疲劳性能的基本图示. 图9是2种组织Ti-6Al-4V合金旋转弯曲疲劳的S-N曲线. 2种组织的S-N曲线都表现为单线形, 存在传统的疲劳极限, 疲劳裂纹都是萌生于试样表面. 图10是2种组织Ti-6Al-4V合金轴向超声疲劳实验的S-N曲线. 结果表明, 应力比R= -1.0, -0.5和0.5轴向加载, 与旋转弯曲疲劳实验结果一样, S-N曲线为单线形; 应力比R= -0.1和0.1轴向加载, S-N曲线为双线形; 疲劳强度在寿命107~109 cyc之间显著下降. 随着应力幅的降低, 裂纹萌生从试样表面转移到试样内部.

图9   旋转弯曲加载下Ti-6Al-4V合金的S-N曲线

Fig.9   S-N curves of Ti-6Al-4V alloy under rotating bending (R.B.—rotating bending, Sli—fatigue induced by slip mechanism, symbol with arrow—unbroken) (a) fully-equiaxed microstructure (b) bimodal microstructure

3 讨论

3.1 初生α相比例的影响

已有研究[14]表明, 裂纹萌生和初始扩展占合金材料超高周疲劳寿命的95%以上, 裂纹萌生和初始扩展阶段通常属于短裂纹行为, 而短裂纹萌生和扩展受到微结构的影响. 钛合金的解理裂纹萌生机制中, Facet的形成与初生α晶粒解理直接相关, 因此需研究初生α相比例对Ti-6Al-4V合金超高周疲劳行为的影响.

对比旋转弯曲, 轴向载荷R= -1.0和0.1的S-N曲线结果表明, 2者的疲劳行为相似. 全等轴和等轴双态组织的Ti-6Al-4V合金, 其初生α相比例分别为大于95%和50%左右, 初生α相比例对Ti-6Al-4V合金的高周和超高周疲劳行为影响很小. 钛合金的解理裂纹萌生过程是初生α相晶粒解理, 然后相邻的Facet互相连接. 那么当初生α相比例高时(95%和50%), 局部裂纹萌生位置都有足够的晶粒发生解理, 形成早期裂纹. 所以旋转弯曲和超声轴向载荷形式下, 2种微结构的Ti-6Al-4V合金的高周和超高周疲劳行为接近. 值得注意, 对于初生α相比例10%和45%的2种钛合金, 初生α相比例对疲劳行为的影响较为明显[9].

图10   轴向加载下Ti-6Al-4V合金的S-N曲线

Fig.10   S-N curves of Ti-6Al-4V alloy under ultrasonic axial loading (Cle—fatigue induced by cleavage mechanism, symbol with arrow—unbroken) (a) fully-equiaxed microstructure (b) bimodal microstructure

3.2 应力比的影响

实验结果(图10b)表明, Ti-6Al-4V合金的高周和超高周疲劳行为表现为低应力比时滑移机制主导疲劳裂纹萌生, 高应力比时解理机制主导. 下面将基于疲劳寿命和疲劳极限的角度, 分析应力比对滑移机制和解理机制之间竞争行为的影响.

在钛合金的高周和超高周疲劳中, 滑移机制和解理机制对应着双S-N曲线. 把双S-N曲线中滑移机制对应的S-N曲线, 称为第一条S-N曲线, 解理机制对应的S-N曲线称为第二条S-N曲线, 那么应力比对钛合金的高周和超高周疲劳行为的影响, 就可表示为应力比对这2条S-N曲线的影响. 首先从S-N曲线的趋势来看, 2条S-N曲线疲劳强度和疲劳寿命的关系可表示为[22]:

σs=ANsa(1)

σc=BNcb(2)

其中, σsσc分别表示滑移裂纹萌生机制和解理裂纹萌生机制对应的疲劳强度(应力幅表示); NsNc分别表示滑移裂纹萌生机制和解理裂纹萌生机制对应的疲劳寿命; A, B, ab为拟合参数.

S-N曲线结果表明, 应力比对2种机制的影响是不同的, 但总体趋势相同, 因此应力比对2条S-N曲线的影响可表示为[23]:

σs=ANsa1-R2m(3)

σc=BNcb1-R2n(4)

其中, mn通过拟合实验结果得到.

文献[24,25]引进了一个反映表面和内部裂纹萌生特征差异的参量Deborah数(D*)来描述裂纹表面和内部萌生之间的竞争, 即表面和内部裂纹萌生所需要循环载荷周次的比值. 裂纹在表面还是在内部萌生由如下条件控制: D*>1, 裂纹在试样表面萌生; D*<1, 裂纹在试样内部萌生.

参考D*模型, 考虑本工作是滑移机制和解理机制之间的竞争, D*模型的形式为:

D*=NcNs(5)

裂纹在表面还是内部萌生的条件为: D*>1, 滑移机制导致裂纹萌生; D*<1, 解理机制导致裂纹萌生(D* =1, 即滑移机制和解理机制导致裂纹萌生的概率相同).

D*模型表示的是同一应力水平下2种裂纹萌生机制之间的竞争行为. 将式(3)和(4)表示的疲劳寿命代入到式(5), 得到应力比对解理机制和滑移机制之间的竞争行为的影响, 即式(6):

D*=σB1bσA1a1-R2nb-ma(6)

拟合第一条S-N曲线, 即表面滑移机制导致的疲劳破坏实验数据, 得到参数数值分别为A=e6.53, a=‒0.107, m=0.704. 拟合第二条S-N曲线, 即解理裂纹萌生机制导致的疲劳破坏实验数据, B=e7.54, b=‒0.0906, n=1.88.

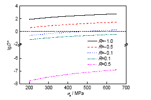
为更清晰地分析, 以lgD*的形式表达裂纹萌生机制的竞争关系. 不同应力比下lgD*随着应力幅和应力比的变化如图11所示, 其中低应力比时(R= -1.0和-0.5), 实验应力幅下lgD*都大于0 (即Nc>Ns), 对应的疲劳破坏都表现为滑移机制. 应力比为-0.1和0.1时, lgD*在0附近(即NcNs接近), 高应力时大于0, 低应力时小于0, 对应的疲劳破坏表现为高应力时滑移机制, 低应力时解理机制. 高应力比时(R=0.5), lgD*都小于0 (即Nc<Ns), 对应的疲劳破坏都表现为解理机制. 对比图10b的实验结果, 可以看出模型预测结果与实验结果趋势符合.

图11   不同应力比下lgD*与应力幅的关系

Fig.11   Relation between lgD* and stress amplitude at different stress ratios

以上通过比较2种机制对应的疲劳寿命来描述滑移机制和解理机制之间的相互竞争. 同时也可以从疲劳极限的角度来分析, 首先认为滑移机制引起疲劳破坏的疲劳极限为σs (也可以理解为发生滑移机制引发的疲劳破坏的门槛应力), 解理机制导致疲劳破坏的疲劳极限为σc. 应力比增加对2种机制的影响不同, 就会导致2种机制的疲劳极限的大小关系发生改变, 从而导致在不同应力比下钛合金表现出不同的疲劳行为. 图12是应力比对2种疲劳破坏机制竞争关系影响的示意图.

图12   滑移机制和解理机制竞争示意图

Fig.12   Schematic of competition between slip mechanism and cleavage mechanism

Type I: σs<σc的情况. 钛合金只表现出滑移机制引起的疲劳破坏行为, 解理机制的疲劳破坏行为被掩盖, S-N曲线类型对应图10b中R= -1.0和-0.5的情况, 同时对应lgD*大于0的情况.

Type II: σsσc值比较接近. 这种情况2种机制都表现出来. 高应力时表现为滑移机制的疲劳破坏, 低应力时表现为解理机制的疲劳破坏, S-N曲线对应图10b中 R= -0.1和0.1的情况, 同时对应lgD*在0附近的情况(lgD*=0, 即滑移机制与解理机制导致裂纹萌生的概率相同).

Type III: σs>σc的情况. 这种情况下的实验应力远远小于滑移机制引起的疲劳破坏的门槛值, 因此钛合金的疲劳行为只表现出解理机制, S-N曲线对应图10b中 R=0.5的情况, 同时对应lgD*小于0的情况.

4 结论

(1) 全等轴和等轴双态2种微结构Ti-6Al-4V合金的高周和超高周疲劳的行为相似, 旋转弯曲和应力比R=-1.0, -0.5和0.5的轴向疲劳时, S-N曲线为单线形. 应力比R= -0.1和0.1时, S-N曲线为双线形,疲劳强度在寿命107~109 cyc之间出现显著下降.

(2) Ti-6Al-4V合金的高周和超高周疲劳行为存在2种疲劳裂纹萌生机制, 即滑移机制和解理机制. 随应力比增加, 疲劳裂纹萌生由滑移机制向解理机制转变.

(3) 基于疲劳寿命和疲劳强度, 建立模型分析了滑移机制和解理机制之间的竞争行为, 模型预测结果与实验结果趋势吻合.

The authors have declared that no competing interests exist.


/