第一性原理分子动力学研究MnO对埋弧焊剂导电机制的影响 |
| 袁航, 张燕云, 王聪 |
|
Influence of MnO upon Electrical Conductive Mechanisms of Submerged Arc Welding Fluxes: Insights from Ab Initio Molecular Dynamics Simulations |
| YUAN Hang, ZHANG Yanyun, WANG Cong |
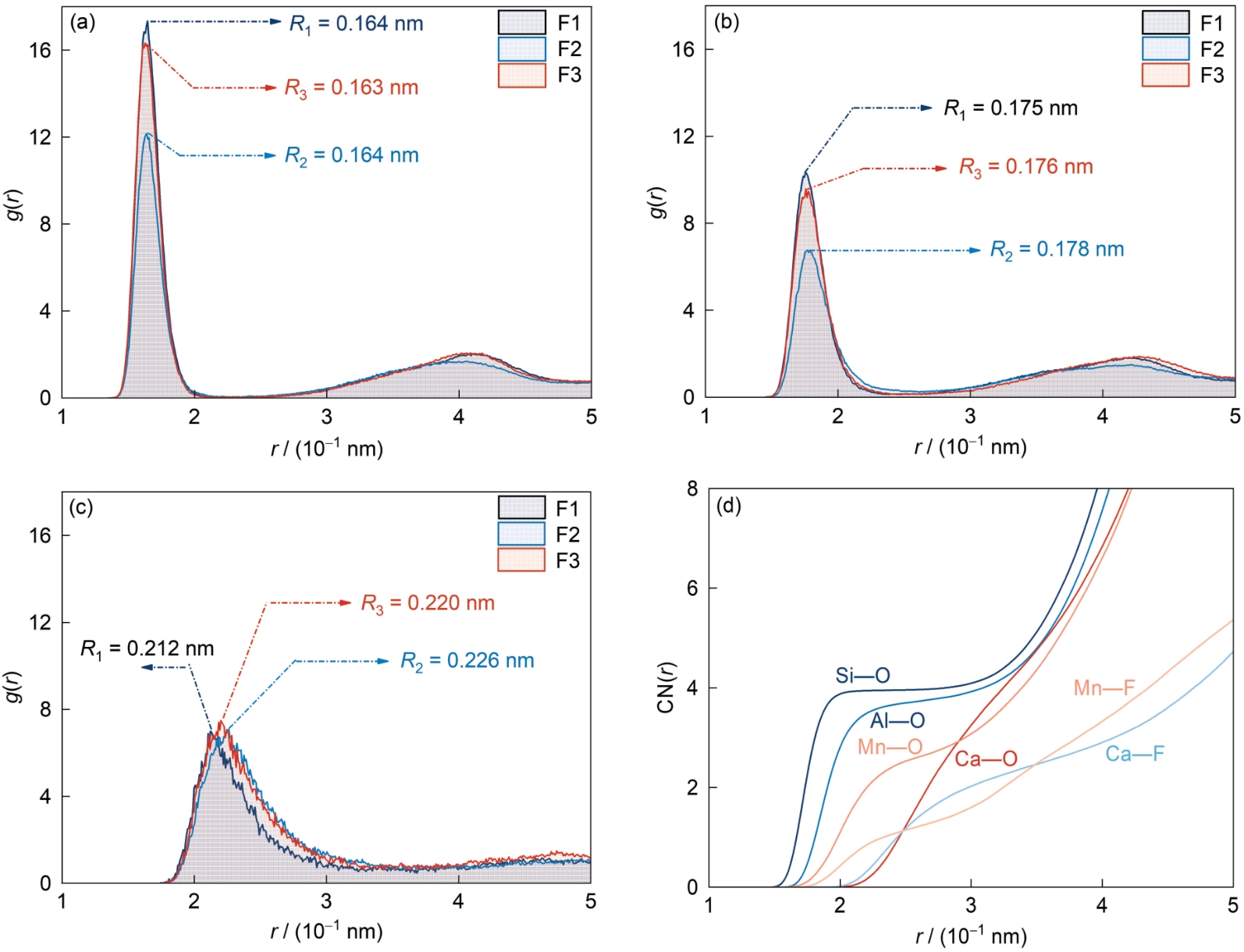
| 图2 目标体系中原子对的径向分布函数曲线及F3样品中原子对的配位数 |
| Fig.2 Structural radial distribution function (RDF) curves of Si-O (a), Al-O (b), and Ca-F (c) atomic pairs in target systems; and coordination numbers (CNs) for various atomic pairs in F3 sample (d) (Ri represents bond length for specific bond i; g(r) and CN(r) represent RDF and CN functions, respectively; r—distance) |
|