高 γ' 相含量粉末及变形高温合金组织和力学性能的异同性  | 
		
| 王洪瑛, 姚志浩, 李大禹, 郭婧, 姚凯俊, 董建新 | 
| 
				 Similarities and Differences of Microstructure and Mechanical Properties Between High γ' Content Powder and Wrought Superalloys  | 
		
| WANG Hongying, YAO Zhihao, LI Dayu, GUO Jing, YAO Kaijun, DONG Jianxin | 
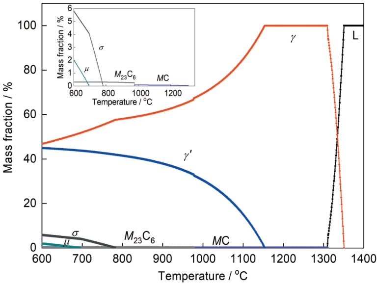
| 图2 GH4720Li合金平衡相图 | 
	
| Fig.2 Equilibrium phase diagram of GH4720Li alloy (Inset shows the partial enlarged view. L—liquid) | 
	
			 
		 |