V分布特性对新型980 MPa级海工特厚板用钢淬透性的影响 |
| 傅万堂, 王薇, 任利国, 白兴红, 吕知清, 李荣斌, 刘浩楠, 齐建军 |
|
Effect of V Distribution Characteristics on the Hardenability of a Novel 980 MPa Grade Extra-Thick Steel Plate for Marine Engineering |
| FU Wantang, WANG Wei, REN Liguo, BAI Xinghong, LV Zhiqing, LI Rongbin, LIU Haonan, QI Jianjun |
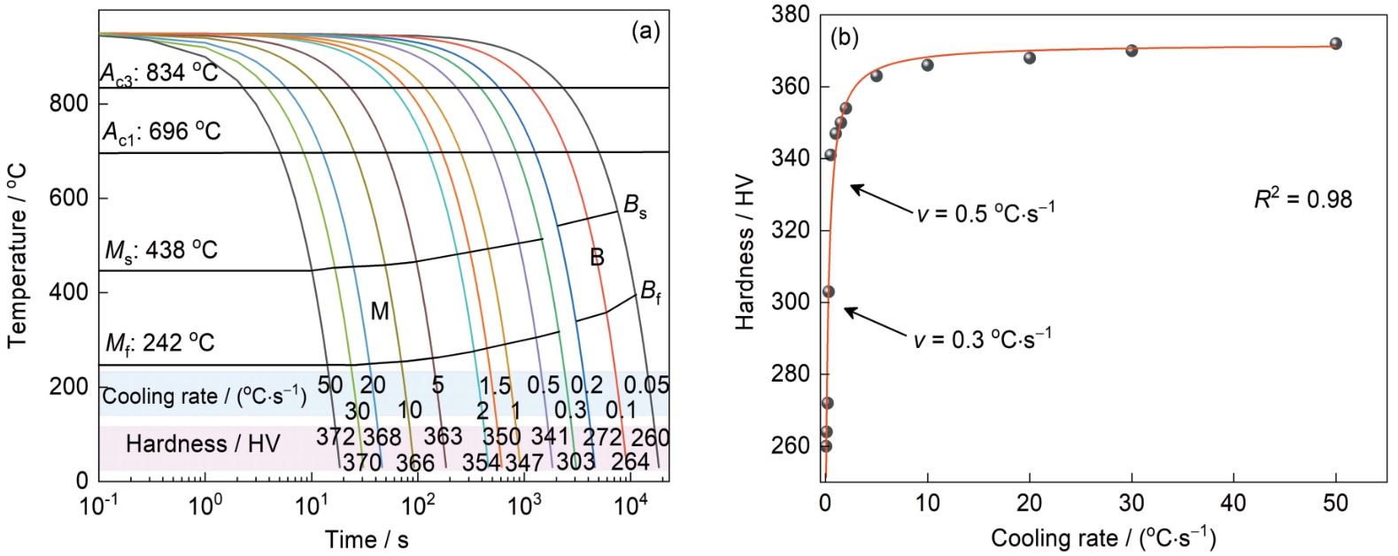
| 图2 连续冷却转变(CCT)曲线及显微硬度随冷却速率的变化曲线(910 ℃,30 min) |
| Fig.2 Continuous cooling transformation (CCT) curves (a) and microhardness as a function of the cooling rate (b) of test steel after austenizing at 910 oC for 30 min (M—martensite, B—bainite; Ac1—starting temperature of austenite form-ation, Ac3—finishing temperature of austenite formation, Ms—starting temperature of martensite formation, Mf—finishing temperature of martensite formation, Bs—starting temperature of bainite formation, Bf—finishing temperature of bainite formation, v—cooling rate, R2—goodness of fit) |
|