一种镍基高温合金的高温HCl腐蚀行为
周一鸣, 韩勇军, 谢光, 郑伟, 肖炎彬, 潘阳, 张健

High-Temperature Corrosion Behavior of a Nickel-Based Superalloy in HCl-Containing Atmosphere
ZHOU Yiming, HAN Yongjun, XIE Guang, ZHENG Wei, XIAO Yanbin, PAN Yang, ZHANG Jian
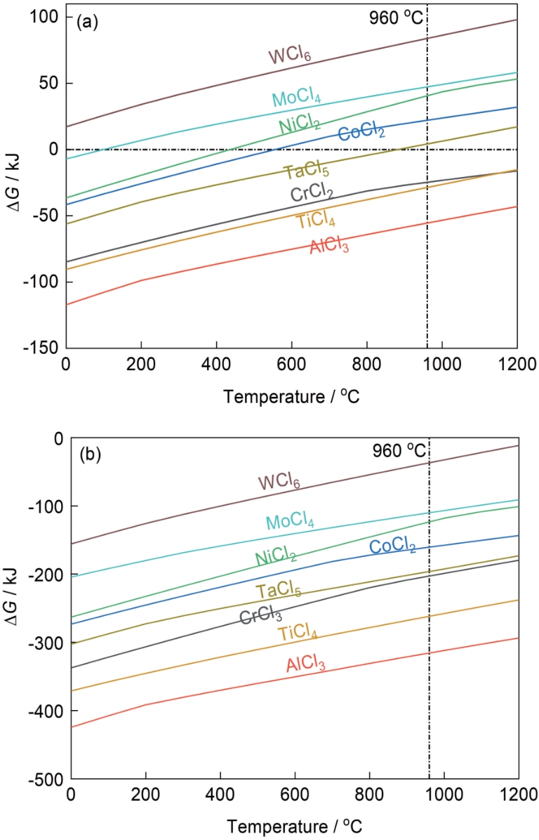
图13 不同元素M不同温度下的反应Gibbs自由能变化(ΔG)
Fig.13 Gibbs free energy differences (ΔG) for different elements M at different temperatures (2n is the valence state of metal ion)
(a) 12nM + HCl = 12nMCl2n + 12H2
(b) M + nCl2 = MCl2n