镁合金一体化压铸缺陷控制
|
|
蒋斌, 张昂, 宋江凤, 黎田, 游国强, 郑江, 潘复生
|
Defect Control of Magnesium Alloy Gigacastings
|
|
JIANG Bin, ZHANG Ang, SONG Jiangfeng, LI Tian, YOU Guoqiang, ZHENG Jiang, PAN Fusheng
|
|
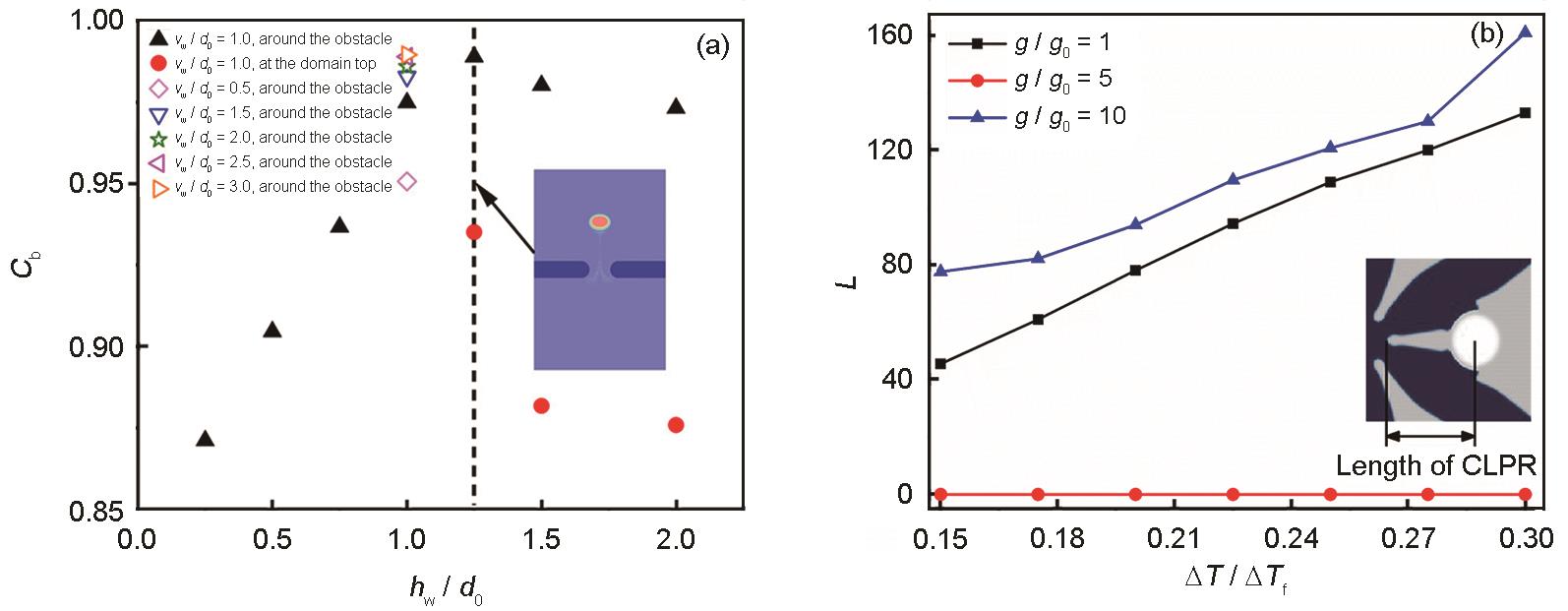
图2 气泡动力学和枝晶-气泡相互作用模拟[35,39]
|
Fig.2 Simulations of bubble dynamics and dendrite-bubble interaction (a) changes of dimensionless shape parameter Cb with hw / d0 of the obstacle[35] (Cb—revised Blaschke coefficient, hw—dimensionless horizontal interval width, d0—dimensionless bubble diameter, vw—dimensionless vertical obstacle width; inset shows the rising bubble in the bilateral arc obstacle cases)(b) changes of the length (L, mesh in unit) of the closed liquid phase region (CLPR) with the dimensionless undercooling (ΔT / ΔTf)[39] (ΔTf—undercooling, K; ΔTf—the freezing temperature range, K; g—given gravita-tional acceleration, m/s2; g0—gravitational acceleration benchmark, m/s2; inset shows the definition of the length CLPR)
|
|
|
|
|