微重力条件下Gd-Co-Ti合金原位粒子复合凝固组织的形成 |
| 孙昊, 江鸿翔, 赵九洲, 张丽丽, 何杰 |
|
Formation of In Situ Particle Composite Solidification Microstructure of Gd-Co-Ti Alloy Under Microgravity Conditions |
| SUN Hao, JIANG Hongxiang, ZHAO Jiuzhou, ZHANG Lili, HE Jie |
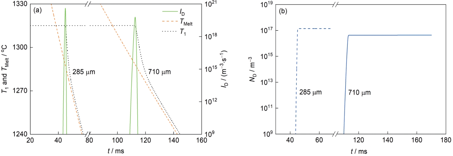
| 图10 直径为285和710 μm的Gd-2%Co-2%Ti合金样品心部平衡组元互溶温度(T1)、熔体温度(TMelt)以及富TiCo相液滴的ID、ND随时间的变化 |
| Fig.10 T1, melt temperature (TMelt), ID (a) and ND (b) of the TiCo-rich droplets at the center region of the Gd-2%Co-2%Ti alloy samples with diameters of 285 and 710 μm as a function of t |
|