微重力条件下Gd-Co-Ti合金原位粒子复合凝固组织的形成
孙昊, 江鸿翔, 赵九洲, 张丽丽, 何杰

Formation of In Situ Particle Composite Solidification Microstructure of Gd-Co-Ti Alloy Under Microgravity Conditions
SUN Hao, JIANG Hongxiang, ZHAO Jiuzhou, ZHANG Lili, HE Jie
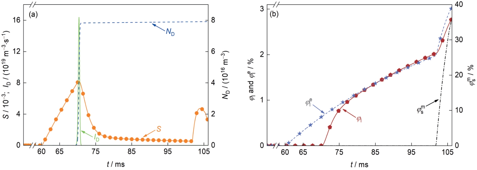
图8 直径为445 μm的Gd-2%Co-2%Ti合金样品心部基体熔体过饱和度(S),富TiCo相液滴的形核率(ID)、ND、平衡体积分数(φle)、实际体积分数(φl),以及初生富Gd固相的平衡体积分数(φsm)随时间的变化
Fig.8 Supersaturation of the matrix liquid (S), nucleation rate (ID) and number density (ND) of the TiCo-rich droplets (a), equilibrium volume fraction (φle) and actual volume fraction (φl) of the TiCo-rich droplets, equilibrium volume fraction (φsm) of the primary Gd-rich solid phase (b) at the center region of the Gd-2%Co-2%Ti alloy sample with a diameter of 445 μm as a function of t