微重力条件下Gd-Co-Ti合金原位粒子复合凝固组织的形成 |
| 孙昊, 江鸿翔, 赵九洲, 张丽丽, 何杰 |
|
Formation of In Situ Particle Composite Solidification Microstructure of Gd-Co-Ti Alloy Under Microgravity Conditions |
| SUN Hao, JIANG Hongxiang, ZHAO Jiuzhou, ZHANG Lili, HE Jie |
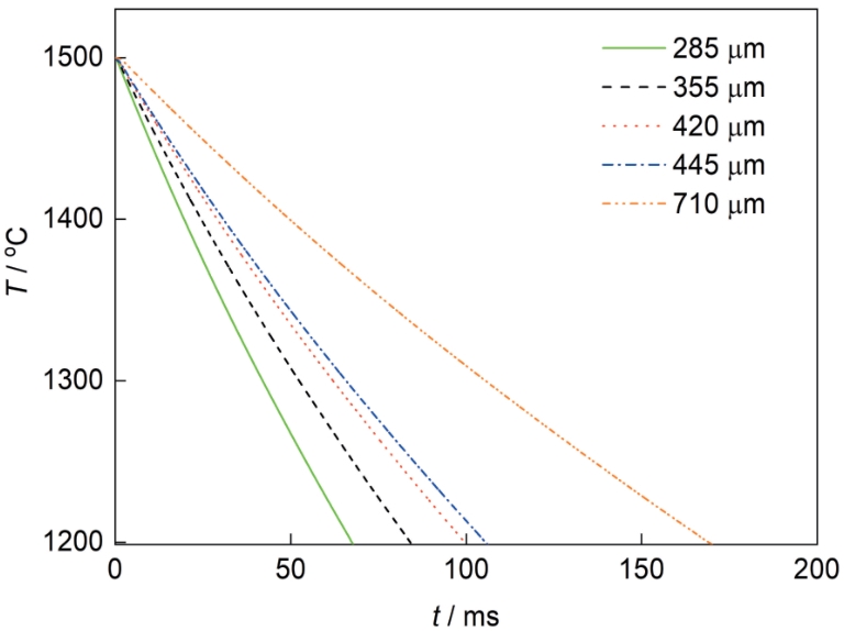
| 图7 不同尺寸Gd-2%Co-2%Ti合金样品心部温度随时间(t)的变化 |
| Fig.7 Dependence of temperature at the center of the Gd-2%Co-2%Ti alloy samples with different diameters on time (t) |
|