微重力条件下Gd-Co-Ti合金原位粒子复合凝固组织的形成 |
| 孙昊, 江鸿翔, 赵九洲, 张丽丽, 何杰 |
|
Formation of In Situ Particle Composite Solidification Microstructure of Gd-Co-Ti Alloy Under Microgravity Conditions |
| SUN Hao, JIANG Hongxiang, ZHAO Jiuzhou, ZHANG Lili, HE Jie |
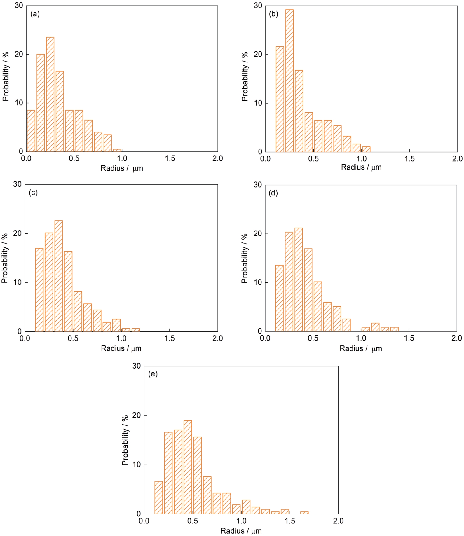
| 图4 直径分别为285、355、420、445和710 μm的Gd-2%Co-2%Ti合金样品中富TiCo相粒子的二维尺寸分布 |
| Fig.4 2D size distributions of the TiCo-rich particles in the Gd-2%Co-2%Ti alloy samples with diameters of 285 μm (a), 355 μm (b), 420 μm (c), 445 μm (d), and 710 μm (e) |
|