利用小角中子核磁散射分离研究AerMet100钢中纳米析出相的形貌和成分 |
| 柯于斌, 李彬, 段辉平 |
|
Morphology and Chemical Composition of Nanoprecipitate in AerMet100 Steel by Separation of the Nuclear and Magnetic Small-Angle Neutron Scattering Data |
| KE Yubin, LI Bin, DUAN Huiping |
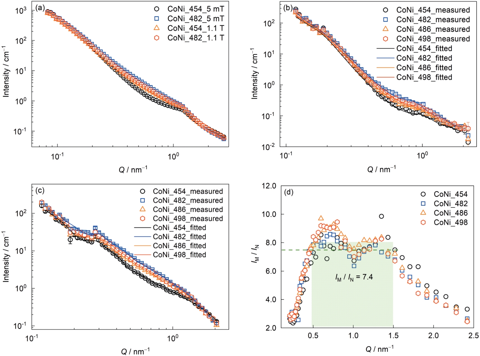
| 图7 1.1 T磁场加载下AerMet100回火钢的SANS实验观测结果,核散射和拟合曲线,磁散射和拟合曲线,以及核磁散射比值曲线 |
| Fig.7 SANS results of AerMet100 tempered steel under magnetic field application (a) total SANS 1D scattering data (b, c) experimental and fitted nuclear (b) and magnetic (c) SANS results (d) observed ratio between SANS nuclear scattering intensity (IN) and magnetic scattering intensity (IM) |
|