利用小角中子核磁散射分离研究AerMet100钢中纳米析出相的形貌和成分 |
| 柯于斌, 李彬, 段辉平 |
|
Morphology and Chemical Composition of Nanoprecipitate in AerMet100 Steel by Separation of the Nuclear and Magnetic Small-Angle Neutron Scattering Data |
| KE Yubin, LI Bin, DUAN Huiping |
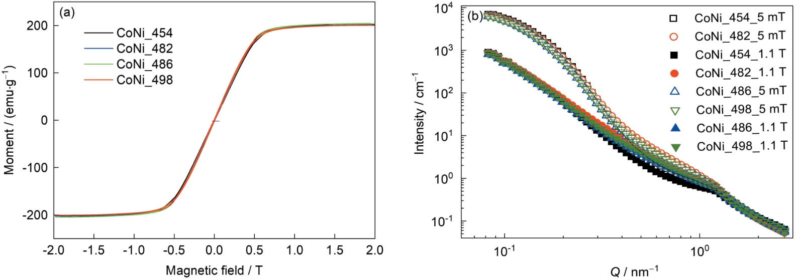
| 图5 不同温度回火处理AerMet100钢的磁滞回线,及无磁场(电磁铁5 mT剩磁)和1.1 T磁场条件下AerMet100钢小角中子散射(SANS)一维散射曲线 |
| Fig.5 Magnetic hysteresis curves (a) and the 1D SANS scattering curves measured under no field application (5 mT remanence) and 1.1 T magnetic field of AerMet100 steel tempered at different temperatures (b) (SANS—small-angle neutron scattering; Q—scattering vector modulus) |
|