偏析干预下体心立方金属再结晶织构竞争
常松涛, 张芳, 沙玉辉, 左良

Recrystallization Texture Competition Mediated by Segregation Element in Body-Centered Cubic Metals
CHANG Songtao, ZHANG Fang, SHA Yuhui, ZUO Liang
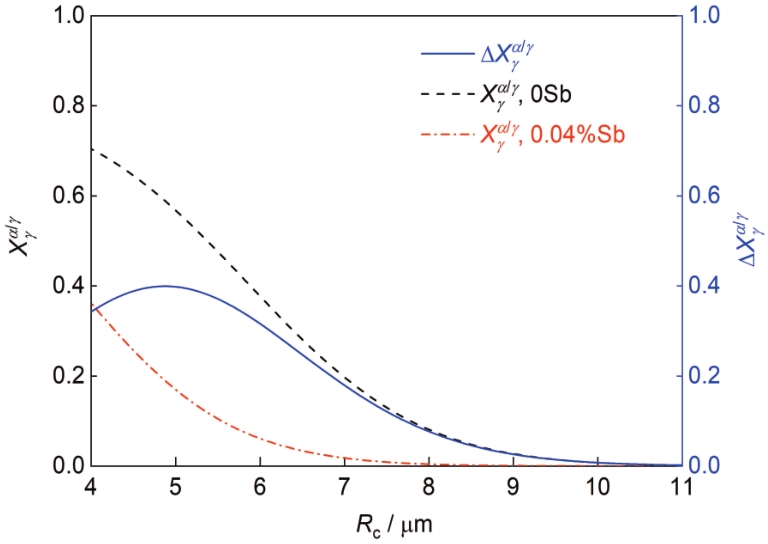
图8 入侵α形变晶粒的γ再结晶晶粒分数随临界入侵半径(Rc)的变化
Fig.8 Volume fraction of γ recrystallized grains invading into α deformed grains (Xγα/γ) as a function of Rc without and with Sb addition (ΔXγα/γ—the inhibition effect of segregation element on invasion behavior)