形核剂的添加方式对选区激光熔化成形含锆Al-Cu-Mg合金显微组织与力学性能的影响 |
| 王凯冬, 刘允中, 詹强坤, 黄斌 |
|
Effect of Adding Methods of Nucleating Agent on Microstructure and Mechanical Properties of Zr Modified Al-Cu-Mg Alloys Prepared by Selective Laser Melting |
| WANG Kaidong, LIU Yunzhong, ZHAN Qiangkun, HUANG Bin |
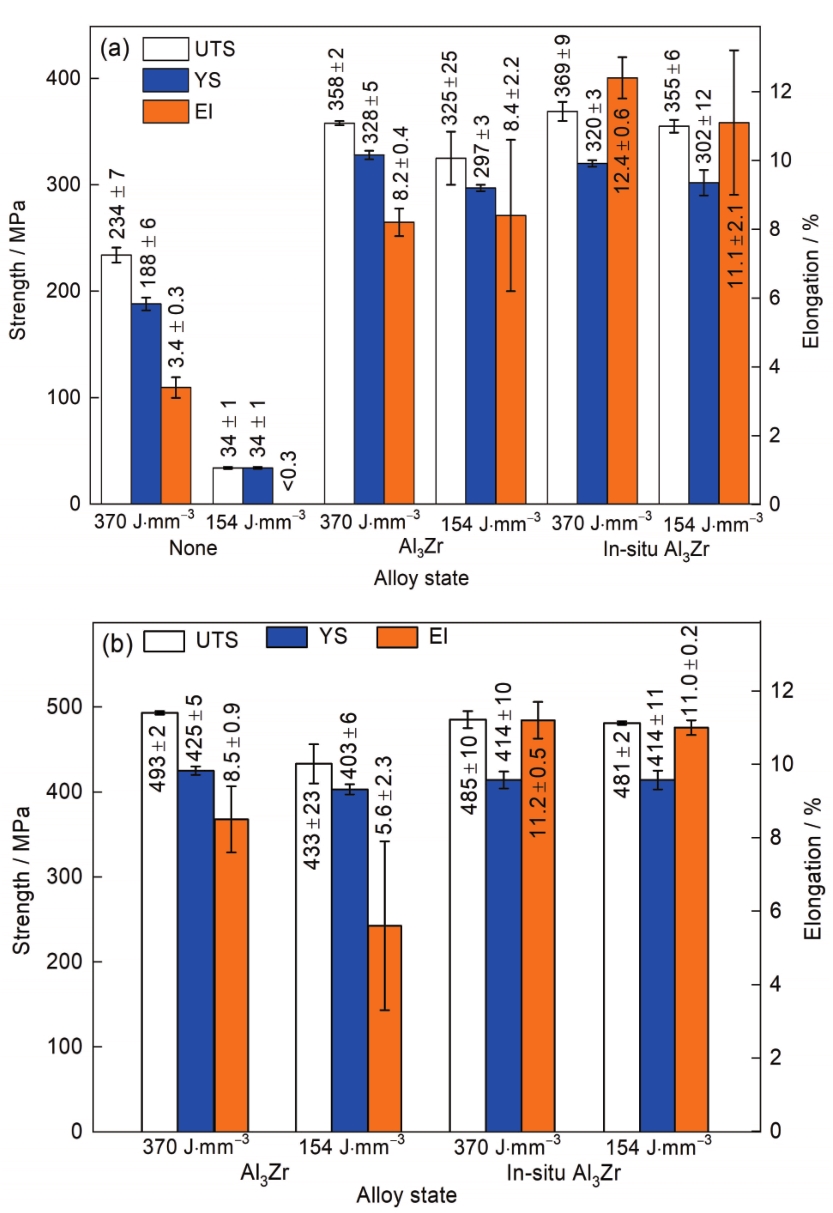
| 图12 采用不同激光能量密度成形的不同成分Al-Cu-Mg合金的沉积态与热处理态试样的力学性能 |
| Fig.12 Mechanical properties of Al-Cu-Mg alloys with different components in as-built condition (a) and heat-treated condition (b) prepared with different laser energy density (UTS—ultimate tensile strength, YS—yield strength, El—elongation) |
|