2000℃高温高承载的Ta-W难熔合金 |
| 张旭, 田谨, 薛敏涛, 江峰, 李苏植, 张博召, 丁俊, 李小平, 马恩, 丁向东, 孙军 |
|
Ta-W Refractory Alloys with High Strength at 2000oC |
| ZHANG Xu, TIAN Jin, XUE Mintao, JIANG Feng, LI Suzhi, ZHANG Bozhao, DING Jun, LI Xiaoping, MA En, DING Xiangdong, SUN Jun |
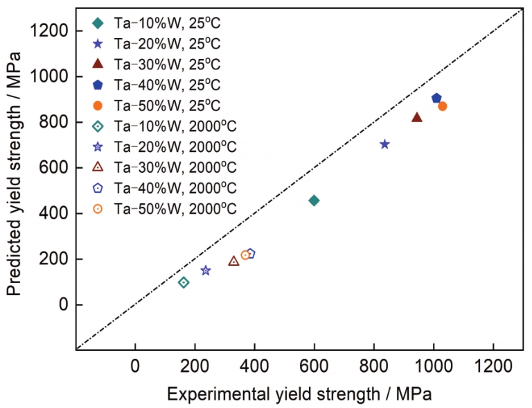
| 图6 25和2000℃下Ta-W合金理论模型预测和实验测量的压缩屈服强度的对比 |
| Fig.6 Comparisons of the predicted and experimental values for compressive yield strength at 25 and 2000oC in Ta-W alloys |
|