中国腐蚀与防护学报  2015 , 35 (5): 461-466 https://doi.org/10.11902/1005.4537.2014.197

耐蚀钢筋20MnSiCrV在氯盐环境下的腐蚀行为

张建春, 麻晗, 左龙飞, 李阳

江苏省 (沙钢) 钢铁研究院 张家港 215625

Corrosion Behavior of 20MnSiCrV Corrosion Resistant Rebar in Chloride Containing Environment

ZHANG Jianchun, MA Han, ZUO Longfei, LI Yang

Institute of Research of Iron & Steel, Shasteel, Zhangjiagang 215625, China

中图分类号:  TG174.2

通讯作者:  通讯作者:张建春,E-mail:jianchun852@163.com,研究方向为材料的腐蚀与防护

接受日期:  2014-11-7

网络出版日期:  --

版权声明:  2015 《中国腐蚀与防护学报》编辑部 版权所有 2014, 中国腐蚀与防护学报编辑部。使用时,请务必标明出处。

基金资助:  江苏省产学研联合创新资金―前瞻性联合研究项目 (BY2013091) 资助

作者简介:

张建春,男,1983年生,硕士,工程师

展开

摘要

通过盐雾实验、电化学阻抗谱和极化曲线研究了耐蚀钢筋20MnSiCrV和普通钢筋20MnSiV在氯盐环境下的耐蚀性能和腐蚀敏感性,利用SEM,EMPA线扫描和XRD分析锈层形貌、组成及合金元素的分布。结果表明,耐蚀钢筋的耐Cl-腐蚀承受能力较高,为普通钢筋的1.5倍;腐蚀速率和腐蚀坑深度分别为普通钢筋的58%和74%;两种钢表面锈层主要成分均为Fe3O4,α-FeOOH和γ-FeOOH,其中耐蚀钢筋的锈层为双层结构,Cr和Si明显富集在内层,有利于形成致密内锈层,提高钢筋的耐腐蚀性能。

关键词: 耐蚀钢筋 ; 电化学阻抗谱 ; 腐蚀敏感性 ; 内锈层

Abstract

Corrosion resistance and corrosion sensitivity to chloride containing environment of 20MnSiCrV steel and 20MnSiV steel was comparatively investigated by salt-spray corrosion test with 3.5%NaCl solution, as well as electrochemical impedance spectroscopy and polarization curve measurements in chloride containing alkaline solutions. The formed corrrosion product scales were characterized by SEM, EPMA and XRD. The results show that the corrosion resistance to Cl- of 20MnSiCrV steel was 1.5 times over that of 20MnSiV steel. The average corrosion rate and depth of corrosion pits of 20MnSiCrV steel were 58% and 74% of those of 20MnSiV steel, respectively. The major components of corrosion products of the two steels were Fe3O4, α-FeOOH and γ-FeOOH. Corrosion scale of 20MnSiCrV steel can be differentiated into an inner layer and an outer layer. The inner layer is enriched in Cr and Si, thereby beneficial to the corrosion resistance of the steel.

Keywords: corrosion resistant rebar ; electrochemical impedance spectroscopy ; corrosion sensitivity ; inner rust layer

0

PDF (2811KB) 元数据 多维度评价 相关文章 收藏文章

本文引用格式 导出 EndNote Ris Bibtex

张建春, 麻晗, 左龙飞, 李阳. 耐蚀钢筋20MnSiCrV在氯盐环境下的腐蚀行为[J]. , 2015, 35(5): 461-466 https://doi.org/10.11902/1005.4537.2014.197

ZHANG Jianchun, MA Han, ZUO Longfei, LI Yang. Corrosion Behavior of 20MnSiCrV Corrosion Resistant Rebar in Chloride Containing Environment[J]. 中国腐蚀与防护学报, 2015, 35(5): 461-466 https://doi.org/10.11902/1005.4537.2014.197

1 前言

钢筋锈蚀是世界各国普遍关注的一个工程性问题,尤其是在沿海和盐湖地区,已经成为引起钢筋混凝土结构过早破坏的主要原因。据报道,全世界每年发生腐蚀的钢材占年产量的30%,我国每年因腐蚀造成的经济损失占GDP的4%以上[1,2]。美国仅就桥梁而言,57.5万座钢筋混凝土桥,一半以上出现钢筋腐蚀破坏,钢筋混凝土腐蚀破坏的修复费,一年达2500亿美元,其中桥梁修复费为1550亿美元,是这些桥初建费用的4倍。在我国,交通部等单位对华南地区码头调查的结果显示,有80%以上均发生严重或较严重的钢筋锈蚀破坏,出现破坏的码头有的距建成时间仅5~10 年,从而造成严重经济损失[3]

耐腐蚀钢筋的开发是延长钢筋混凝土结构使用寿命的重要措施。目前,国际上研发及应用最广的耐腐蚀钢筋主要有环氧涂层钢筋、热浸镀锌钢筋、不锈钢钢筋、MMFX钢筋等。美国从20世纪70年代起开始研制环氧涂层钢筋,并于1973年首次应用于宾夕法尼亚州的一座公路桥面板。其造价相对较便宜,涂层将钢筋与腐蚀环境隔离,对钢筋起到保护作用。但环氧涂层脆性较大,在存放、运输及加工安装过程中易受破坏,致使缺陷处发生严重腐蚀,且涂层会降低钢筋与混凝土之间的握裹力。热浸镀锌钢筋在20世纪70年代已应用于美国埃文斯顿的Wyoming公路桥上,由于其镀锌层为多层次的冶金结合的覆盖层,故具有对钢筋隔离保护和阴极保护的双重功能。热浸镀锌钢筋的氯化物极限浓度比普通碳钢钢筋要高几倍,镀层与钢筋间的附着力要比环氧涂层钢筋高很多,但其对镀层的厚度控制、均匀性及生产应用中的保护措施要求较高,同样具有涂层易受破坏的弊端。不锈钢由于其良好的耐均匀腐蚀性能,逐渐被应用于建筑行业,其中奥氏体不锈钢和双相不锈钢用于耐腐蚀钢筋较多,其最大优点是氯化物极限浓度较高,耐蚀性能最为优异,施工过程中受到损坏不会对其耐腐蚀性能产生影响。但其费用昂贵,造价约是普碳钢钢筋的6~10倍,不利于大量推广。MMFX钢筋是20世纪90年代末美国Gareth Thomas博士发明的一种低碳中铬钢,由美国MMFX公司生产,在美国部分州的公路上进行了研究试用,与碳钢钢筋相比具有高强度、耐腐蚀性好的特点,但是延展性不足,没有长期的应用资料,耐腐蚀性能不够充分[4]。与国外相比,我国对耐蚀钢筋的研发起步比较晚,虽然有包括实海和实地环境中的实验研究,但目前尚未有耐腐蚀钢筋的大量应用。针对海洋环境的特殊使用要求,沙钢研究人员通过对合金成分和生产工艺的优化设计,成功开发出具有优良耐海水腐蚀性能的耐蚀钢筋20MnSiCrV,其室温组织为铁素体和珠光体,屈服强度达到450 MPa、抗拉强度达到650 MPa、断后伸长率达到30%,各项力学性能和工艺性能均满足GB1499.2-2007《钢筋混凝土用热轧带肋钢筋》对400 MPa级螺纹钢筋的性能要求[5,6]

本文借助盐雾腐蚀实验、电化学阻抗谱和极化曲线对含Cr耐蚀螺纹钢筋20MnSiCrV的腐蚀行为进行研究,利用X射线衍射 (XRD),扫描电镜 (SEM) 和电子探针显微分析 (EPMA) 等方法对锈层形貌、组成及元素分布进行分析,并与普通400 MPa级螺纹钢筋20MnSiV进行对比,尝试分析其耐蚀机理。

2 实验方法

本文分别选用工业生产的直径为25 mm的耐蚀钢筋20MnSiCrV (实验编号CR) 和普通钢筋20MnSiV (实验编号LC) 做为实验用钢,成分见表1。

表1   实验钢的化学成分

Table 1   Chemical compositions of two steels

SteelCSiMnPSCrV
20MnSiCrV0.2000.6400.7100.0240.0040.8700.030
20MnSiV0.2100.4901.4400.0190.007---0.028

新窗口打开

实验钢加工成3 mm×10 mm×10 mm的块状样品,焊接导线并冷镶后加工成电化学实验用样。试样工作面积为1 cm2,经过180~1500#水磨砂纸逐级打磨抛光,依次用蒸馏水、酒精和丙酮溶液清洗。电化学测试在Reference 600型电化学工作站上进行,饱和甘汞电极为参比电极,Pt电极为辅助电极。极化曲线测试分别在含不同Cl-浓度的饱和Ca(OH)2溶液 (溶液pH值为12.8) 和3.5%(质量分数) NaCl中性水溶液中进行,扫描范围为相对于自腐蚀电位-300~1100 mV,扫描频率为1 mV/s。电化学阻抗测试在3.5%NaCl中性水溶液中进行,频率范围为106~10-3 Hz,交流激励信号幅值为±5 mV。

盐雾腐蚀实验用样为Ф25 mm×3 mm的块状样品,其中一个端面作为工作面,面积为4.9 cm2,其余各面用石蜡进行密封。实验采用 (5.0±0.5)%NaCl中性水溶液,温度为 (35±2) ℃,实验时间分别为4,24,72,168和360 h。实验前用180~1500#水磨砂纸对试样进行逐级打磨抛光,依次用蒸馏水、酒精和丙酮溶液清洗。实验后采用增重法评价试样腐蚀性能,利用真彩共聚焦显微镜测量试样腐蚀坑深度,用JSM7100F型扫描电镜 (SEM) 进行表面锈层形貌观察,用D/max-2500/PC型X射线衍射仪 (XRD) 进行锈层组成分析,用1610型电子探针显微分析仪 (EPMA) 观察锈层中元素分布。

3 结果与讨论

3.1 碱性氯盐环境下两种钢的腐蚀性能

图1为两种钢在含不同浓度Cl-的饱和Ca(OH)2溶液中的极化曲线。图1a测试时所用溶液为饱和Ca(OH)2溶液,而图1b~d测试时分别在饱和Ca(OH)2溶液中加入了0.2,0.4和0.6 mol/L的NaCl,以上溶液的pH值均为12.8。

图1   两种钢分别在不含Cl-和含0.2,0.4,0.6 mol/L Cl-的饱和Ca(OH)2溶液中的极化曲线

Fig.1   Polarization curves of two steels in saturated Ca(OH)2 solutions without Cl- (a), and with 0.2 mol/L (b), 0.4 mol/L(c) and 0.6 mol/L (d) Cl-

由图中可以看到,在pH值为12.8的碱性环境中,两种钢的极化行为相似,测试曲线基本重合,腐蚀过程基本相似。其钝化区间约为640 mV,维钝电流密度约为0.01 mA/cm2,点蚀电位约为580 mV,自腐蚀电位约为355 mV。当饱和Ca(OH)2溶液中加入0.2 mol/L Cl-时,两种钢的自腐蚀电位和维钝电流密度变化不大,但钝化区间出现不同程度的缩小,其中LC钢的钝化区间大幅缩小,由原来的640 mV减小到105 mV,相比之下CR钢的钝化区间波动较小,仅减小了205 mV。与此同时,LC钢和CR钢的点蚀电位分别降到315和-15 mV。

随着溶液中Cl-浓度的增加,两种钢的钝化区间进一步缩小,而其自腐蚀电位和维钝电流密度变化不明显。在饱和Ca(OH)2溶液中加入Cl-的浓度达到0.4 mol/L时,LC钢钝化区消失,而CR钢仍存在较窄的钝化区间,区间范围为125 mV,同时点蚀电位降到103 mV。进一步加大饱和Ca(OH)2溶液中Cl-浓度至0.6 mol/L时,CR钢的钝化区基本消失。

3.2 两种钢的腐蚀敏感性

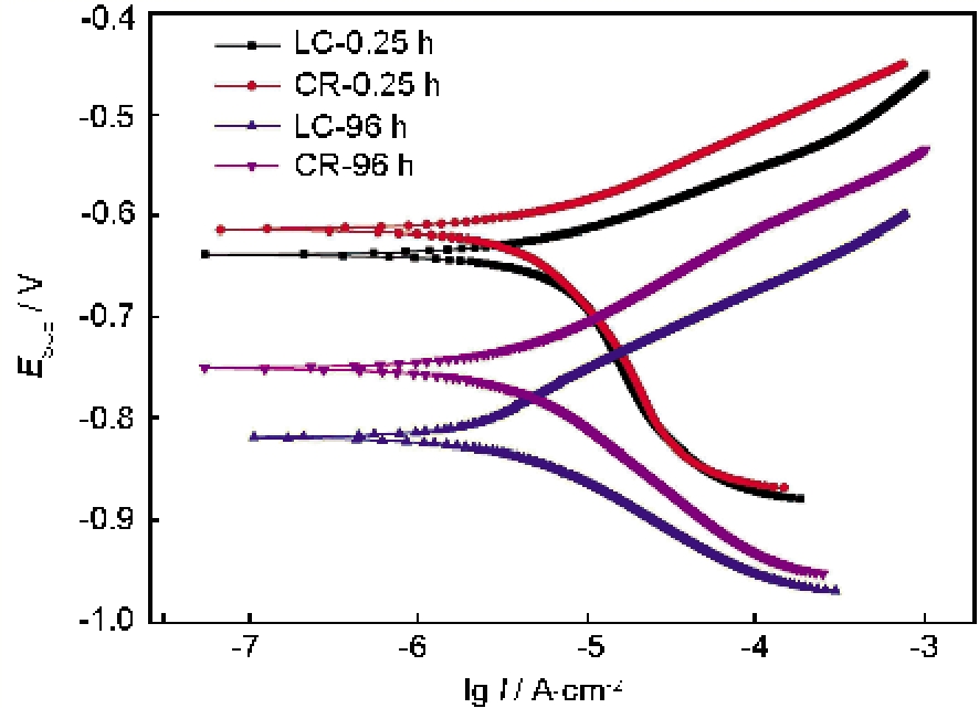
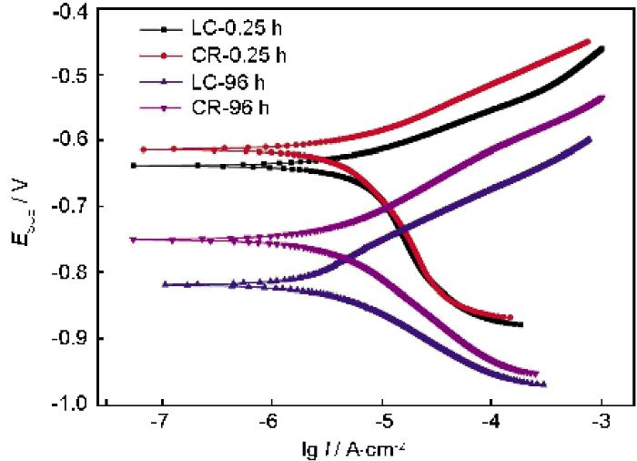
图2为两种钢在3.5%NaCl中性水溶液中浸泡不同时间后测得的极化曲线。可见两种钢在溶液中浸泡0.25和96 h后,所测极化曲线均未出现钝化区间。自腐蚀电位和自腐蚀电流密度表征了该钢种对腐蚀敏感性的强弱。短时间浸泡后LC钢和CR钢的自腐蚀电位相差不大,分别为-640和-610 mV;自腐蚀电流密度相当,分别为6和5 μA/cm2。当浸泡96 h后,两种钢的自腐蚀电位均有明显下降,CR钢的自腐蚀电位下降至-750 mV,LC钢下降幅度更大,下降至-820 mV;而两种钢的自腐蚀电流密度变化不大,分别为4.0和4.5 μA/cm2

图2   两种钢在3.5%NaCl溶液中浸泡不同时间后的极化曲线

Fig.2   Polarization curves of two steels in 3.5%NaCl solution after immersion for different time

电化学阻抗谱同样可以反映腐蚀敏感性的大小。图3为两种钢在3.5%NaCl中性水溶液中浸泡0.25和96 h后测得的Nyquist阻抗谱。由图中可以看到,随着浸泡时间的延长两种钢的阻抗弧度均有缩小,但无论是短周期还是长周期浸泡后,CR钢的阻抗弧度均明显大于LC钢的。采用R(QR) 等效电路对图谱进行拟合后,得到CR钢在溶液中浸泡0.25和96 h后的极化电阻Rt分别为1912和1449 Ω/cm2,LC钢的Rt分别为1515和1252 Ω/ cm2,与阻抗弧变化趋势一致,CR钢的Rt均大于LC钢的。

图3   两种钢在3.5%NaCl溶液中浸泡不同时间后的Nyquist阻抗谱

Fig.3   EIS of two steels in 3.5%NaCl solution after immersion for different time

因此,极化曲线和阻抗谱均验证了CR钢的腐蚀诱发敏感性要弱于LC钢,但随着浸泡时间的延长,两种钢的腐蚀诱发敏感性都在增加。

3.3 两种钢在盐雾腐蚀实验中的腐蚀性能

两种钢在5.0%NaCl中性水溶液中的盐雾腐蚀实验结果如图4所示。实验进行4 h后,两种钢的腐蚀程度相当,CR钢和LC钢的腐蚀增重量分别为3.9和2.3 mg。随着实验时间的延长,两种钢的腐蚀增重差异逐渐增大,但增重速率均在减小。实验进行72 h后,按增重量计算CR钢和LC钢的腐蚀增重速率分别为0.329和0.737 g/(m2h),CR钢的腐蚀增重速率明显小于LC钢的。当实验进行360 h后,CR钢和LC钢的腐蚀增重速率进一步减小为0.256和0.441 g/(m2h),前者仅为后者的58%,经过计算CR钢的耐腐蚀性能为LC钢的1.72倍。图5为在两种钢盐雾实验后的样品表面各取10个腐蚀坑所测深度的平均值。可以看到,样品腐蚀坑深度随实验时间的变化趋势与腐蚀增重量的变化趋势相似,360 h实验后CR钢和LC钢的腐蚀坑深度分别为213和289 μm,前者为后者的74%。两种钢进行168 h实验后的表面形貌如图6所示,可见CR钢的腐蚀坑数量和蚀坑尺寸均小于LC钢的。

图4   两种钢在盐雾实验后的增重量

Fig.4   Mass gains of two steels after salt-spray corrosion test

图5   盐雾实验后两种钢样品表面的腐蚀坑深度

Fig.5   Depths of etch pits of two steels after salt-spray corrosion test

图6   两种钢在168 h盐雾实验后的表面形貌

Fig.6   Surface morphologies of CR (a) and LC (b) steels after 168 h salt-spray corrosion test

3.4 锈层形貌、组成及元素分布分析

利用SEM对两种钢在168 h盐雾实验后的锈层剖面形貌进行观察,结果如图7所示。可以看到,LC钢锈层为疏松单层结构,其间分布很多孔洞和裂纹,且在锈层与基体界面处存在较多针状点蚀深入基体。与之相比,CR钢的锈层存在分层,整体分布孔洞较少,内锈层较为致密均匀,与基体结合紧密,界面处较为平整。完整致密的锈层是阻碍水分、O2以及Cl-等有害离子向基体扩散的有效壁垒,控制基体与外界腐蚀介质的物质交换,可以在很大程度上阻滞或减缓基体的进一步腐蚀,这也是CR钢较LC钢耐腐蚀性能有较大提高的主要原因。

图7   两种钢在168 h盐雾实验后锈层的剖面形貌

Fig.7   Cross section morphologies of corrosion layers formed on CR (a) and LC (b) steels after 168 h salt-spray corrosion test

图8为两种钢锈层的XRD谱。可见,两种钢锈层的主要成分相似,均为Fe3O4α-FeOOH和γ-FeOOH,所不同的是三者在两种钢锈层中的比例不同,CR钢中三者的含量分别为90%,7.8%和2.2% (质量分数),而在LC钢中分别为64%,3.8%和32.2%。文献[7]-[10]指出,γ-FeOOH是最初的锈层组成物,在长期的腐蚀过程中,可能经过非晶态的FeOOH转化为最终的稳定锈层组成物α-FeOOH。α-FeOOH比γ-FeOOH更稳定,其溶解度比γ-FeOOH的小105倍,在热力学上最稳定,一旦形成不会发生转变,决定了锈层最终的保护性[11,12]

图8   两种钢盐雾实验后腐蚀产物的XRD谱

Fig.8   XRD spectra of CR (a) and LC (b) steels after salt-spray corrosion test

为了分析合金元素对形成致密锈层的影响机理,利用EPMA对CR钢锈层及基体剖面进行了半定量分析 (线扫),结果如图9所示。在图中可以看到内锈层存在明显的Cr和Si富集。松岛等[13]的研究认为,Cr提高钢在海水中耐蚀性的机理是其增强了锈层作为O2的扩散障壁的性质,降低了溶解氧扩散系数。同时,添加Cr和Al的耐蚀钢表面生成了富Cr和Al的黏附的硬的内锈层。而Yamashita等[14]的研究指出提高Cr含量有利于细化α-FeOOH,当锈层/金属界面的α-FeOOH中Cr含量超过5% (质量分数) 时,能有效抑制腐蚀性阴离子,特别是Cl-的侵入。

图9   CR钢盐雾实验后锈层中元素分布

Fig.9   Cross section image and corresponding element mappings of corrosion layer formed on CR steel after salt-spray corrosion test

Sei等[15]的研究认为,较高的Si含量同样有利于细化α-FeOOH,Si在锈层中富集,使紧贴基体锈蚀产物变得细小致密,阻碍了海水中溶解氧向钢表面扩散,减缓了钢的腐蚀速率。另外,Si和Cr共存,可促使钢在腐蚀过程中形成稳定的硅酸盐膜,还能阻止其在污染海水中细菌的生长,从而减缓了钢的腐蚀[16]

4 结论

(1) 耐蚀钢筋20MnSiCrV在pH值为12.8的饱和Ca(OH)2溶液中的耐Cl-腐蚀能力是普通钢筋20MnSiV的1.5倍。与普通钢筋20MnSiV相比,耐蚀钢筋20MnSiCrV表现出较好的耐蚀性,盐雾实验中腐蚀速率为普通钢筋的58%,腐蚀坑深度为普通钢筋的74%。

(2) 合金元素Cr的添加使耐蚀钢筋20MnSiCrV基体的腐蚀敏感性大大降低,但随着在氯盐环境下腐蚀时间的延长,其腐蚀敏感性仍呈上升趋势。

(3) 普通钢筋盐雾腐蚀后的锈层为单层结构;而耐蚀钢筋20MnSiCrV的锈层为双层结构,且Cr和Si在其内锈层中出现富集,有助于形成致密的内锈层。


/