中国腐蚀与防护学报  2015 , 35 (5): 438-446 https://doi.org/10.11902/1005.4537.2014.187

含碳纤维环氧树脂涂料在高压脉冲电场作用下的杀菌性能研究

林海强1, 柴柯1, 吴进怡12, 杨鹏鹏1, 宋春蕾1

1. 海南大学材料与化工学院 热带岛屿资源先进材料教育部重点实验室 海口 570228
2. 中国科学院海洋研究所 海洋环境腐蚀与生物污损重点实验室 青岛 266071

Antibacterial Performance of Epoxy Resin Coatings with Carbon Fiber Reinforcement in High Voltage Pulsed Electric Field

LIN Haiqiang1, CHAI Ke1, WU Jinyi12, YANG Pengpeng1, SONG Chunlei1

1. Key Laboratory of Ministry of Education for Advanced Materials in Tropical Island Resources, Material and Chemical Engineering College, Hainan University, Haikou 570228, China
2. Key Laboratory of Marine Environmental Corrosion and Bio-fouling, Institute of Oceanology, Chinese Academy of Sciences, Qingdao 266071, China

中图分类号:  TG174.4

通讯作者:  通讯作者:柴柯,E-mail:chaike888@sina.com.cn,研究方向为材料的生物腐蚀与防护

接受日期:  2014-10-10

网络出版日期:  --

版权声明:  2015 《中国腐蚀与防护学报》编辑部 版权所有 2014, 中国腐蚀与防护学报编辑部。使用时,请务必标明出处。

基金资助:  国家自然科学基金项目 (51261006,51161007和50761004),海南省自然科学基金项目 (511112) 和中国科学院海洋环境腐蚀与生物污损重点实验室开放基金项目 (MCKF201403) 资助

作者简介:

林海强,男,1988年生,硕士生

展开

摘要

在环氧树脂涂料中掺杂不同含量不同长度的碳纤维填料,并对涂层表面进行绝缘化处理,分别在11和15 kV电压条件下,检测其对黄杆菌的杀灭效果。结果表明:当涂层中不含碳纤维时,在11和15 kV电压作用下,其杀菌率分别为90.82%和93.18%。在11 kV电压和含0.01%(质量分数) 碳纤维时,杀菌效果随碳纤维长度的增大而略为增大,填料长度为7 mm的碳纤维涂层杀菌率为99.82%。而在11 kV电压和含0.03%碳纤维时,填料长度为3 mm的碳纤维涂层在该条件下杀菌效果最为理想,为99.73%。电压越大,则杀菌效果越好。高压脉冲电场作用下的导电涂料有可能成为一种新型环保节能的防污技术。Raman和SEM结果表明,高压脉冲电场对涂层有序度和完整性略有影响。

关键词: 高压脉冲电场 ; 环氧树脂涂料 ; 碳纤维 ; 杀菌率

Abstract

Epoxy resin coatings reinforced with different amount of carbon fiber of varied length were prepared, and which then were covered with a top coating of insulation. The antibacterial performance of the above coatings, especially for flavobacterium was examined by high voltages of 11 and 15 kV respectively. It was observed that the sterilizing efficiency of epoxy resin coatings without carbon fiber were 90.82% and 93.18% by voltage 11 and 15 kV respectively. For the coating with 0.01%(mass fraction) of carbon fiber, the sterilizing efficiency increases slightly with the increasing fiber length by voltage 11 kV. The epoxy resin coatings with carbon fiber of 7 mm in length achieved a sterilizing efficiency up to 99.82%. While the epoxy resin coatings containing 0.03% carbon fiber of 3 mm in length exhibits the highest sterilizing efficiency 99.73% by voltage of 11 kV; whilst the sterilizing efficiency of the epoxy resin coatings increased with the increasing voltage. Therefore, the conductive epoxy resin coating may provide a new prospect for environment-friendly and energy-saving technique of fouling prevention in the relevant industrial processes, which adopt pulse electric field technology.

Keywords: high-voltage pulsed electric field ; epoxy resin coating ; carbon fiber ; sterilizing efficiency

0

PDF (2408KB) 元数据 多维度评价 相关文章 收藏文章

本文引用格式 导出 EndNote Ris Bibtex

林海强, 柴柯, 吴进怡, 杨鹏鹏, 宋春蕾. 含碳纤维环氧树脂涂料在高压脉冲电场作用下的杀菌性能研究[J]. , 2015, 35(5): 438-446 https://doi.org/10.11902/1005.4537.2014.187

LIN Haiqiang, CHAI Ke, WU Jinyi, YANG Pengpeng, SONG Chunlei. Antibacterial Performance of Epoxy Resin Coatings with Carbon Fiber Reinforcement in High Voltage Pulsed Electric Field[J]. 中国腐蚀与防护学报, 2015, 35(5): 438-446 https://doi.org/10.11902/1005.4537.2014.187

1 前言

随着人们对海洋作业的日益加深,船舶和各种海洋设施的防护显得愈发重要。常年航行的船舶除了受到海水和微生物腐蚀外,还会受到海洋中的各种微生物、植物和动物等的附着,在影响美观的同时,还会使船舶的航速降低,燃油消耗量增加,而且会使船舶及设备的腐蚀程度加剧,使用寿命缩短[1]-[8]。因此,如何有效防止船舶及海洋设施的生物污损已成为世界范围内共同关注的课题。

传统的防污涂料是通过防污剂的渗出对附着生物进行毒杀,从而达到防污目的,但这种方法不可避免地会对海洋自然环境产生不可逆转的破坏。近十几年来,伴随人们环保意识的提高,对无毒害、无污染、效率高、成本低的环境友好型海洋防污涂料的需求日益凸显[4]-[9]。环境友好型海洋防污涂料包括仿生涂料、低表面能防污涂料、可溶性硅酸盐防污涂料和导电涂料等。导电涂料是近年新兴的一种有效的海洋防污技术,由于导电填料的存在,涂料中的导电通道和隧道效应使得涂料表面电阻率可达1.02 Ω/sq[10]。在船舶漆膜表面处通以弱电流,使海水电解产生次氯酸,从而达到防污效果。通以电流时所产生的次氯酸浓度较低,低于自来水所含次氯酸浓度,对环境所造成的污染微乎其微[11]。其中,以碳纤维为导电填料的炭系导电涂料因有着质量轻、高模量、高强度、成本低和无毒无害等特点,受到了社会各界广泛关注,同时也是目前用量较大的功能型涂料[12]-[14]。但电流杀菌技术耗能高、耗时长、设备要求高、防护体结构限制大、对涂料导电性要求高和持续通电时的安全隐患等问题制约了其在海洋防污领域的快速发展[14]

高压脉冲电场 (HVPEF) 技术目前广泛应用于食品非热加工领域,有无电流经过均可起到杀菌作用,是一项非常重要的杀菌手段,最开始应用于杀灭食品中的微生物。研究[15]表明,脉冲电场技术 (PEF) 能使啤酒酵母菌和大肠杆菌的残活率最大下降4.5和3.5个对数。PEF技术不仅有着耗能低、用时短、无污染等特点,并且在杀灭细菌的同时,不会影响食品本身的营养成分和风味口感,使其在当前食品加工工业中有着不可替代的作用。PEF技术在食品非热加工领域的应用已颇为广泛,且已取得优秀的杀菌效果[16]-[18],但PEF技术在海洋防污领域的应用仍属空白,PEF的防污效果尚未明晰。本文利用HVPEF技术,采用单因素方法研究分析了碳纤维 (CF) 含量、CF长度以及HVPEF电压对环氧树脂涂层杀菌性能的影响,以探索新型高效节能环保的海洋防污技术。

2 实验方法

2.1 实验试板的制备

取玻璃纤维增强树脂基复合材料板作为实验涂层基板,参照《GB 4871-1995普通平板玻璃制备法》将玻璃纤维增强树脂基复合材料板制成尺寸为100 mm×50 mm×4 mm和15 mm×10 mm×2 mm的试板,模拟涂层底漆,分别用于杀菌效果检测、扫描电镜 (SEM) 和Raman光谱的检测。

参照《GB/T9271-2008色漆与清漆标准试板法》清洗处理试板。以环氧树脂为基料,不同质量分数 (无填料,0.01%和0.03%) 和不同长度 (3,5和7 mm) 的CF为导电填料,待混合均匀后搅拌20 min,静置30 min,参照《GB 1727-92漆膜一般制备法》制备面积为100 mm×50 mm和15 mm×10 mm的试板涂层,并放置自然条件下干燥7 d。待完全干燥后,再于杀菌实验试板原先的涂层之上涂覆一层面积为50 mm×50 mm的环氧树脂基料,进行绝缘化处理,以用于阻断样品涂层与海水间电流的传递,以排除杀菌过程中电流的作用,确保实验过程中PEF电压的单因素影响,放置在自然通风条件下干燥7 d,完全干燥后保存待用。

2.2 实验菌种的制备

实验目标微生物菌种黄杆菌取自于天然南海海域海水,经多次筛菌、分离、纯化,并作为实验菌种进行冷藏储存。

(1) 2216E液体培养基:蛋白胨5 g,酵母胨1 g,陈海水1000 mL,pH值为7.8。分装后置于压力蒸汽灭菌器内,121 ℃下灭菌20 min。

(2) 2216E固体培养基:蛋白胨5 g,酵母胨1 g,琼脂粉20 g,陈海水1000 mL,pH值为7.8。分装后置压力蒸汽灭菌器内,121 ℃下灭菌20 min。

将菌种接种于营养琼脂培养基斜面上,在 (37±1) ℃下培养24 h后,在0~5 ℃下保藏 (不得超过1个月),作为斜面保藏菌。活化时将斜面保藏菌转接到平板营养琼脂培养基上,在 (37±1) ℃下培养24 h。

制备菌悬液时,用接种环从保存菌种的固体培养基上取少量 (刮l~2环) 新鲜细菌,加入已制备好的200 mL液体培养基中,以此作为实验用菌液,参照《GB/T 4789.2-2008食品卫生微生物学检验菌落总数测定法》规定的方法操作。

2.3 杀菌性能的测定

实验采用大连鼎通科技发展有限公司生产的DMC-200高压电源脉冲设备,输出电压为0~40 kV,输出脉冲占空比0%~100%,输出脉冲频率14~80 kHz,其中电压、频率、占空比可调节。实验中选择PEF电压为11和15 kV,频率23.15 kHz,占空比50%。

于超净台分别取0.1 mL实验用菌液滴加在无涂料试板阴性对照样品 (编号为A)、无通电涂料试板空白对照样品 (编号为B) 和通电涂料样品 (编号为C) 上。用灭菌镊子夹起灭菌覆盖膜分别覆盖在样品A,B和C上,铺平且无气泡,使菌液均匀接触样品。将样品C放置于PEF设备中通以高压电场。待10 s之后将样品A,B和C及其覆盖膜分别取出。参照《HG/T 3950-2007抗菌涂料》的方法操作,用1 mL灭菌移液枪管吸取0.49 mL洗脱液 (含0.2%无菌表面活性剂 (吐温80) 的灭菌陈海水200 mL) 对样品及其覆盖膜进行洗脱,洗脱至灭菌平皿中,重复10次。换一支灭菌移液枪管反复吹打上述平皿,使液体混合均匀,并从中吸取0.5 mL液体滴入含有4.5 mL灭菌陈海水的试管中,依次进行10倍梯度稀释,直到适宜稀释度。样品A和样品B稀释至10-8浓度,样品C稀释至10-5浓度。分别取0.1 mL稀释液滴加于含有固体培养基的灭菌平皿中,并进行涂布,将涂布的平皿放入恒温培养箱中培养48 h。每个样品做两个平行实验。

待48 h后,从恒温培养箱中取出培养皿,参照《GB/T 4789.2-2008食品卫生微生物学检验菌落总数测定法》计算各个样品的菌落总数,并记之以XYZ。参照《HG/T 3950-2007抗菌涂料》中的方法,杀菌率S的计算公式为:

S=(Y-Z)/Y×100%

式中,Y为无通电空白对照样品平均回收菌落数 (cfu/mL);Z为通电涂料样品平均回收菌落数 (cfu/mL)。

2.4 PEF对涂层影响的测定

为研究PEF对环氧树脂涂料及其导电填料的影响,使用inVia Reflex显微共聚激光Raman光谱仪对通电前后的环氧树脂涂层及导电填料进行检测。使用的激发光源为785 nm半导体激光器,波数范围为50~2000 cm-1,激光功率300 mW,衰减系数为30%,对通电前后的涂层进行二次扫描检测并叠加。利用Raman技术对通电前后的碳纤维进行检测,激发光源为514 nm气体激光器,波数范围为500~2500 cm-1,激光功率20 mW,衰减系数为30%。

使用S-4800型SEM对通电前后的碳纤维涂层进行检测,采用其自带的能谱仪 (EDS) 半定量分析其涂层表面。

2.5 统计分析

在相同的条件下,进行3次实验,对实验结果进行处理并计算其平均值和标准偏差。

3 实验结果

3.1 PEF对黄杆菌的杀菌效果

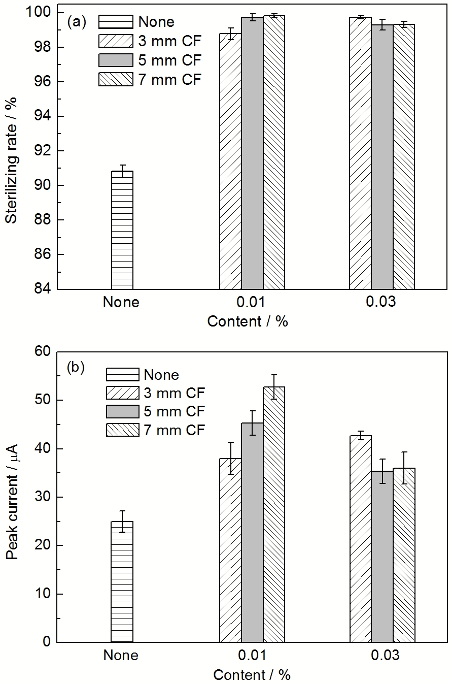
3.1.1 不同含量不同长度碳纤维涂层在11 kV电压作用下的杀菌效果 图1a是在11 kV电压作用下,不同质量分数 (无填料,0.01%和0.03%) 和不同长度 (3,5和7 mm) 的碳纤维涂层对黄杆菌的杀菌效果。如图所示,无碳纤维填料的涂层杀菌率为90.82%。当碳纤维含量为0.01%时,杀菌率随着涂层碳纤维长度的增大而增大,当涂层中的碳纤维长度为7 mm时的杀菌率最大,达99.82%。而当碳纤维含量为0.03%时,3 mm碳纤维涂层的杀菌率可达99.73%。

图1   不同涂层在11 kV电压下的杀菌效果和峰值电流

Fig.1   Sterilizing effect (a) and peak current (b) of different epoxy resin coatings at 11 kV voltage

图1b为不同质量分数 (无填料,0.01%和0.03%) 和不同长度 (3,5和7 mm) 的碳纤维涂层在11 kV电压作用下的峰值电流。无碳纤维填料涂层的峰值电流为25.0 µA。当碳纤维含量为0.01%时,峰值电流随着涂层里碳纤维长度的增大而递增,其中7 mm碳纤维涂层的峰值电流为52.7 µA。当碳纤维含量为0.03%时,3 mm碳纤维涂层的峰值电流为最大值,并呈现减小趋势,其峰值电流为42.7 µA。

3.1.2 不同含量不同长度碳纤维涂层在15 kV电压作用下的杀菌效果 图2a是在15 kV电压作用下,不同质量分数 (无填料,0.01%和0.03%) 和不同长度 (3,5和7 mm) 的碳纤维涂层对黄杆菌的杀菌效果。无碳纤维填料的涂层杀菌率为93.18%,含碳纤维的涂层杀菌率均在99.90%以上。当碳纤维含量为0.01%时,杀菌率没有因涂层的不同而出现明显变化。而当碳纤维含量为0.03%时,3 mm碳纤维涂层杀菌率则出现最大值。

图2   不同涂层在15 kV电压下的杀菌效果和峰值电流

Fig.2   Sterilizing effect (a) and peak current (b) of different epoxy resin coatings at 15 kV voltage

图2b为不同质量分数 (无填料,0.01%和0.03%) 和不同长度 (3,5和7 mm) 的碳纤维涂层在15 kV电压作用下的峰值电流。无碳纤维填料涂层的峰值电流为93.3 µA。当碳纤维含量为0.01%时,峰值电流随着涂层碳纤维长度的增大而递增,其中3 mm碳纤维涂层的峰值电流为最小值,为118.0 µA。当碳纤维含量达到0.03%时,3 mm碳纤维涂层的峰值电流为最大值,为134.7 µA。

图1结果表明,当涂层中不含碳纤维填料时,其杀菌率和峰值电流皆低于含碳纤维的涂层。在含量为0.01%时,涂层的杀菌效果随碳纤维长度的增大而略为增大,7 mm碳纤维涂层杀菌效果最显著,达到99.82%。当碳纤维含量从0.01%增加到0.03%,3 mm碳纤维涂层杀菌率和峰值电流都出现最大值,而5和7 mm碳纤维涂层的杀菌率会降低。图2表明,在15 kV电场电压作用下,各个涂层的杀菌率亦会呈现出上述相似的趋势,在其他条件相同且涂层表面绝缘化时,15 kV电压下涂层对黄杆菌的杀菌率普遍高于11 kV电压下涂层的杀菌率,说明高压脉冲电场电压对涂层的杀菌效果有显著影响。

3.2 激光Raman光谱分析

图3a和b分别为含0.03% 3 mm碳纤维涂层和含0.03% 7 mm碳纤维涂层表面的显微图像。由图3可知,含0.03% 3 mm碳纤维涂层内的碳纤维散布均匀,而碳纤维在0.03% 7 mm碳纤维涂层中难以分散,呈束状团聚。

图3   添加0.03%不同长度碳纤维后涂层表面的显微图像

Fig.3   Microscopic images of epoxy resin coatings with 0.03% 3 mm (a) and 7 mm (b) carbon fiber additives

图4a~c分别为含0.03% 3 mm碳纤维涂层在通电前后的Raman图谱。可见通电前后对环氧树脂涂层的Raman光谱并无显著影响,部分谱峰的强度有微小变化。Raman光谱的不同的波数代表着不同的基团振动[19,20]。447 cm-1处是脂肪胺的CNN骨架弯曲振动,随着电压的增大而略微增强。608 cm-1处苯环侧位取代基伸缩振动随电压的增大而略加强,1002和1448 cm-1分别是苯环对位双位取代生成谱峰和苯环侧链基团—CH2弯曲振动,随着电压的增强而出现微小减弱。通电之后,1087 cm-1处的醚基C—O—C—O—C的对称伸缩振动略微增强。826 cm-1处环氧化物的伸缩振动和1531 cm-1处的酰胺基团—C(=O)—NHR中的C—N—H弯曲振动几乎没有变化。PEF场强越大,则趋势略微增大。

图4   含0.03% 3 mm碳纤维涂层通电前后的Raman光谱

Fig.4   Raman spectra of the coating with 0.03% 3 mm carbon fiber additive before (a) and after application of 11 kV (b) and 15 kV (c) voltage

图5为3 mm碳纤维在通电前后的Raman光谱。由图5可知,碳纤维的Raman图谱有两个明显的谱峰,一个是位于1360 cm-1附近的D峰,另一个是位于1590 cm-1附近的G峰。其中D峰表示的C原子的晶体缺陷,是C原子的无序度;G峰代表的是C原子sp2杂化的面内伸缩振动,是C原子对称性和有序度。D峰和G峰的面积比R=ID/IG反映了碳纤维结构的完整性和对称性[21,22]R值越大,说明碳纤维表面完整性越差;反之,R值越小,说明碳纤维表面完整程度越好,有序程度越高[23,24]。表1为通电前后的碳纤维Raman谱峰解析结果。未通电的3 mm碳纤维的D峰和G峰分别在1375和1597 cm-1,在通以11和15 kV的电压后,碳纤维的D峰仅仅分别红移了16和12 cm-1,G峰在1594~1600 cm-1范围内波动。由此可见,PEF对碳纤维填料的影响微弱。通电之后,D峰的微弱红移说明了其所代表的晶格缺陷略微地受到了应力和极化的作用。利用Lorentz拟合对各个图谱进行分峰处理,并计算各分峰的面积比。经过PEF处理后,R值有所降低,从1.082分别降至了1.056和1.006。这说明经过PEF处理之后,碳纤维的完整性略微提高,有序度增大,C原子中C=C相对含量有微量的增加,无序物质则相对减少。

图5   3 mm碳纤维通电前后的Raman光谱

Fig.5   Raman spectra of 3 mm CF additive before (a) and after treatment at 11 kV (b) and 15 kV (c)

表1   3mm碳纤维通电前后的Raman谱峰解析结果

Table 1   Analytical data of Raman spectra of 3 mm CF treated at different voltages

Applied voltage / kVD-peak raman shiftG-peak raman shiftR=ID/IG
0137515971.082
11135916001.056
15136315941.006

新窗口打开

3.3 表面形貌分析

图6a~d分别是0.01% 3 mm 碳纤维涂层在未通电、通以11和15 kV电压后的SEM像。由图6a和b可知,未通电的含0.01% 3 mm碳纤维涂层除了存在少量颗粒和孔隙外,表面较为平整光滑。在图6c和d中,涂层通电之后,其表面的颗粒略微增多,经15 kV电压作用后,颗粒体积增大,且在颗粒物附近出现疑似灰尘的粉状物。图6e中,未通电含0.03% 3 mm碳纤维涂层表面同样较为平整,没有明显的缺陷。在图6f中,经过11 kV电压处理之后,涂层表面没有出现明显变化,只是表面孔洞略微增加。

图6   含不同碳纤维涂层在不同电压处理后的SEM像

Fig.6   SEM images of epoxy resin coatings with different kinds of carbon fiber incorporation at different voltages: (a, b) 0.01% 3 mm CF, 0 kV; (c) 0.01% 3 mm CF, 15 kV; (d) 0.01% 3 mm CF, 11 kV; (e) 0.03% 3 mm CF, 0 kV; (f) 0.03% 3 mm CF, 11 kV

对图6a和c的方框区域进行EDS元素半定量面扫描,扫描分析结果列于表2。可见,通电之后,涂层颗粒处C的比重减少,金属元素比重增加,Si和O的比重增大。

表2   图6a和c中方块区域样品的EDS分析结果

Table 2   EDS results of square areas in Fig.6a and c (mass fraction /%)

AreaCOCaPtTiSiMg
Fig.6a83.415.611.127.231.710.680.24
Fig.6c70.369.246.006.865.131.610.79

新窗口打开

4 讨论

实验结果表明,填料含量、长度和外加电压对各个环氧树脂涂层在PEF作用下的杀菌率有影响。碳纤维填料的存在,使得涂层的杀菌率增大。在低电压低含量填料时,其杀菌效果随碳纤维长度的增大而略为增大。当填料含量增加到0.03%,小长度碳纤维涂层的杀菌效果会增大,但大长度碳纤维涂层的杀菌率则会降低。

PEF对细菌有着极强的杀灭效果。上述实验结果表明,在11 kV电压作用下,经过10 s的处理时间,PEF对黄杆菌的杀菌效果高达99.82%。PEF对细菌的极强抑制作用源于外加瞬时高压电场对细胞膜及其结构的影响,其杀菌机理主要解释为电崩解和电穿孔[25]。电崩解是指微生物的细胞膜可看作是一个注满电解质的电容器,当外界电压增大,细胞膜本身电位差亦会增大,导致细胞膜厚度减小,当外界电压达到临界值时,微生物细胞膜便开始崩解,细胞膜内物质流出,以致微生物死亡。而电穿孔则认为外加电场会改变细胞膜本身磷脂双分子层的结构,并使之蛋白质通道增大,此时细胞膜压缩形成小孔,通透性增加,使得外界大量小分子物质得以进入细胞膜,从而导致细胞膜破裂,微生物死亡[26]

掺杂导电填料的目的是在环氧树脂涂层中引入比较易于流动的载流子,经掺杂后,涂层电导率可得到一定的提高,甚至可以达到金属的导电水平[10,27]。碳纤维通过在涂层内的分布,建立起纵横连通的导电通道[28]。由于导电通道和隧道效应的存在,原先涂层中的孤立电子或导电粒子便能在通以高压脉冲电场时,更轻易的越过势垒而流动,同时跃迁到邻近的导电粒子或介质的概率大幅提高,在邻近的导电粒子之间形成隧道电流。外加电场较大时,在宏观上的表现即为在绝缘的涂层表面出现了极其微弱的电流。因此碳纤维导电填料的掺入,能起到均匀体系内电压和加快细胞膜响应时间的作用,使细胞膜对外加电场和膜电位差的响应更为明显和频繁。因此,比起不含碳纤维填料的涂层,含碳纤维的涂层有着较高的杀菌率和较大的峰值电流。碳纤维较大长径比使得涂层内导电通道形成更为简便,因此即便是填充量很小,也能达到一定的导电性。然而,由于碳纤维特殊的几何形状,其导电具有方向性[29]。碳纤维在涂层内的形态结构、分布状况、长径比值都会对涂层导电和杀菌性能有所影响。在含量为0.01%时,7 mm碳纤维涂层杀菌效果最好,同时7 mm碳纤维涂层的峰值电流也是最高的。即相对于3和5 mm碳纤维涂层,7 mm碳纤维涂层的导电通道较为畅通,隧道效应明显,在外加电场作用下,对细菌的抑制作用更为显著。这可能是因为在低含量填料时,有着较大长径比的碳纤维在涂层中更容易建立起导电通道,使得涂层表面电流较大,导致细胞膜加快对外加电场信息的响应,加速细胞失活致死。0.01%含量的碳纤维质量较小,同时涂层内碳纤维团聚的可能性也较少,碳纤维散布均匀但方向不一。所有样品普遍分布均匀时,长度为7 mm的碳纤维有着更好的导电性能,在通电时也更容易起到均匀电压的作用,也因此存在更大的电流。

填料的含量对涂层的杀菌率和峰值电流也有影响。11 kV电压时,当3 mm碳纤维涂层的碳纤维含量从0.01%增加到0.03%时,杀菌率从98.79%上升到99.73%,峰值电流从38.0 µA增加至42.7 µA。含量的增多,使得涂层内导电通道增多,电压在体系内的分布较之低含量时更为均匀,细胞对外加电场的响应也更均匀和迅速。而5和7 mm碳纤维涂层不论是杀菌率还是峰值电流,比起填料含量为0.01%时,都出现下降。这是因为填料含量的增大,增加了大长度碳纤维在涂层内的团聚现象,在掺杂和涂覆过程中可能会存在较多较大的团聚体,分散性较差,导致导电通道形成不稳定,电子和导电粒子跃迁概率降低,细胞膜对外加电场的响应迟滞且均匀性受到影响,杀菌效果反而不如小长度碳纤维涂层,涂层表面电流也出现一定程度的降低。

在15 kV电场电压作用下,各个涂层的杀菌率和峰值电流亦会呈现出相似的趋势,但因外加电压较大,所有涂层的杀菌效果都十分出色。除了导电通道和隧道效应的原因外,还存在电场发射理论[30]。理论表明导电粒子之间会存在强大电场可诱使发射电场的产生,外加强大电场会进一步增强这种现象,体系内电子和导电粒子进行跃迁的概率进一步增大,从而在绝缘的涂层表面产生更大的电流,使得体系内细胞膜能更加强烈地接收到来自外加电场的电位差信息,失活量增大。电压越大,细胞膜上的外加电场则越强,膜电位差值越大,细胞响应与失活的时间则缩短,细胞膜崩解与膜内物质流失的速率加快,导致死亡率增大。因此,外加高压脉冲电场电压越大,涂层的杀菌效果越明显。这说明电压因素的影响无疑是最为显著的。

PEF对细菌的抑制效果明显,对碳纤维环氧树脂涂料影响较小。Raman结果表明,PEF会对涂料的个别谱峰强度有微小影响。因为外加电场的存在,使得涂料中产生大量的导电粒子和载流子。带有正负异种电荷的导电粒子之间就会形成电偶极子,并且在外加强大交变电场的作用下,产生相对定向移动,使体系内电荷重新分布,各个基团的极化率发生变化,Raman散射信号强度改变,Raman谱峰强度随之产生略微变化。外加电场越大,涂料中的极化现象越显著,表面极化电荷越大,Raman谱峰强度的变化趋势也更明显。碳纤维D峰的红移可能是外加电场极大地增强了电子间发射电场的强度,使得共轭键π电子的离域频繁,大量定向移动的载流子使得C原子出现了某一方向的应力,并在电偶极子的作用下产生相对位移。而碳纤维有序度的略微增大可能是因为外加高压电场使C—C键的共轭程度提高,使得体系内C—C共价键上的共价电子向π电子转移,C=C相对含量增加,键长减小,使得晶体缺陷减少,面内伸缩振动增强。

SEM结果表明,涂层表面没有出现裂纹、粉化等失效现象,PEF的使用不足以对涂层造成功能性和实用性的影响。EDS结果表明,通电之后,涂层颗粒处金属元素比重增加,可能是因为外加电场增大了涂料内电介质的极化,加强了金属元素在颗粒处的富集。Si和O比重增加,则是在通电过程中,强大的电场吸附了涂料附近的灰尘,使其表面出现粉末状物质。而其他物质比重的增加则会直接导致C比重的减少。

5 结论

(1) 当涂层中不含碳纤维时,表面绝缘的环氧树脂涂层在11 kV电压作用下,其杀菌率和峰值电流分别为90.82%和25.0 µA。当碳纤维含量为0.01%时,其杀菌效果和峰值电流随碳纤维长度的增大而略为增大,其中7 mm碳纤维涂层的杀菌率和峰值电流达到最大值,分别为99.82%和52.7 µA。当填料含量增加到0.03%,3 mm碳纤维涂层的杀菌效果和峰值电流增大,分别为99.73%和和42.7 µA,但5 和7 mm碳纤维涂层杀菌率和峰值电流则会因碳纤维长度的影响而降低,且都低于含量为0.03%的3 mm碳纤维涂层。

(2) 在15 kV电压作用下,各个涂层的杀菌率和峰值电流亦会呈现出上述相似的趋势,所有涂层的杀菌效果都非常优秀且都大于低电压时的涂层杀菌率。PEF的电压对杀菌效果的影响最为明显。

(3) PEF不会改变碳纤维环氧树脂涂料中的基团,未见其对涂层造成损耗和破坏,会略微增大涂料中基团的极化作用,并使得碳纤维的有序度和完整性提高。


/