中国腐蚀与防护学报  2015 , 35 (5): 429-437 https://doi.org/10.11902/1005.4537.2014.183

碳钢表面Al-Zn-Si-RE多元合金涂层在3.5%NaCl溶液中的腐蚀行为

蒋穹12, 缪强2, 梁文萍2, 刘志梅2, 王珂2, 姚正军2, 魏小昕3

1. 盐城工学院材料工程学院 盐城 224051
2. 南京航空航天大学材料科学与技术学院 南京 211106
3. 江苏省麟龙新材料股份有限公司 无锡 214183

Corrosion Behavior of Al-Zn-Si-RE Alloy Powder Containing Water-borne Coating on Carbon Steel in 3.5%NaCl Solution

JIANG Qiong12, MIAO Qiang2, LIANG Wenping2, LIU Zhimei2, WANG Ke2, YAO Zhengjun2, WEI Xiaoxin3

1. School of Materials Engineering, Yancheng Insitute of Technology, Yancheng 224051, China
2. College of Material Science & Engineering, Nanjing University of Aeronautics and Astronautics, Nanjing 211106, China
3. Jiangsu Linlong New Materials Co., Ltd., Wuxi 214183, China

中图分类号:  TG179

通讯作者:  通讯作者:缪强,E-mail miaoqiang@nuaa.edu.cn,研究方向为金属腐蚀与防护,表面工程

接受日期:  2014-09-9

网络出版日期:  --

版权声明:  2015 《中国腐蚀与防护学报》编辑部 版权所有 2014, 中国腐蚀与防护学报编辑部。使用时,请务必标明出处。

基金资助:  江苏省普通高校研究生科研创新计划项目 (CXLXl2_0149),江苏省科技成果转化专项基金项目 (BA2011029) 和江苏省产学研联合创新资金--前瞻性联合研究项目 (BY2011101) 资助

作者简介:

蒋穹,女,1982年生,博士

展开

摘要

采用SEM和EDS等手段考察在微观尺度下Al-Zn-Si-RE涂层的结构和成分均匀性,采用动电位极化曲线和电化学阻抗谱研究了Al-Zn-Si-RE涂层在3.5%NaCl溶液中的腐蚀行为。结果表明,Al-Zn-Si-RE涂层具有典型的片层结构,显著增加了腐蚀介质到达基体的路径,涂层在微观尺度下成分分布均匀,可充分发挥高铝涂层耐蚀性;Al-Zn-Si-RE涂层的腐蚀过程分为4个阶段:浸泡初期涂层表面金属粉的活化腐蚀;第二阶段腐蚀产物在金属粉表面覆盖,显著降低金属粉的溶解速度;第三阶段腐蚀介质渗透到涂层与基体界面,锌铝粉短暂的牺牲阳极保护作用;腐蚀后期,涂层的耐蚀机理主要为腐蚀产物的物理屏蔽作用。腐蚀过程中,涂层的防护机制表现为牺牲阳极的阴极保护和腐蚀产物的屏蔽效应综合作用。

关键词: Al-Zn-Si-RE涂层 ; 成分均匀性 ; 极化曲线 ; 电化学阻抗谱 ; 腐蚀行为

Abstract

The microstructure and corrosion performance in 3.5%NaCl solution of an Al-Zn-Si-RE containing water-borne coating were investigated by means of SEM with EDS as well as potentiodynamic polarization curves and electrochemical EIS. The results indicate that Al-Zn-Si-RE coating shows a typical lamellar structure, which significantly increases the length of diffusion path for corrosive species; and an excellent coating uniformity in micro scale, which may be beneficial to its protectiveness. The corrosion process of Al-Zn-Si-RE coating can be divided into four stages during immersion in 3.5%NaCl solution: I) the active corrosion of Al-Zn-Si-RE flakes on the surface layer; II) the coverage of Al-Zn-Si-RE flakes by the corrosion product layer thereby decreasing their dissolution; III) the temporary sacrificial anode protection of the coating for the steel substrate when the electrolyte reached the interface coating/substrate; IV) the barrier protection caused by corrosion products. Therefore, the protection mechanism of the coating is physical barrier combined with a weak sacrificial anode protection.

Keywords: Al-Zn-Si-RE coating ; composition uniformity ; polarization plot ; electrochemical impedance spectroscopy ; corrosion behavior

0

PDF (4615KB) 元数据 多维度评价 相关文章 收藏文章

本文引用格式 导出 EndNote Ris Bibtex

蒋穹, 缪强, 梁文萍, 刘志梅, 王珂, 姚正军, 魏小昕. 碳钢表面Al-Zn-Si-RE多元合金涂层在3.5%NaCl溶液中的腐蚀行为[J]. , 2015, 35(5): 429-437 https://doi.org/10.11902/1005.4537.2014.183

JIANG Qiong, MIAO Qiang, LIANG Wenping, LIU Zhimei, WANG Ke, YAO Zhengjun, WEI Xiaoxin. Corrosion Behavior of Al-Zn-Si-RE Alloy Powder Containing Water-borne Coating on Carbon Steel in 3.5%NaCl Solution[J]. 中国腐蚀与防护学报, 2015, 35(5): 429-437 https://doi.org/10.11902/1005.4537.2014.183

1 前言

无铬锌铝涂层作为达克罗涂层的替代产品,除了继承达克罗涂层高耐蚀、无氢脆、高耐热和涂层薄等优势外,因彻底摒弃了有毒的Cr6+的使用,而具有更加环保的特性。但是,无铬锌铝涂层还处于不断完善的阶段,因此不可避免的存在一些不足,比如耐蚀性不如达克罗涂层,抗划伤性差等。

国内许多研究者对改善无铬达克罗耐蚀性做了大量研究,主要从以下几个方面着手:(一) 替代铬酐的复合成膜物质体系研究,即多种成膜剂和腐蚀抑制剂复合使用[1,2]-[4];(二) 纳米微粒增强涂层,即在涂料中加入各种微粒,在不降低涂层耐蚀性的前提下,增强涂层的其它性能[5];(三) 颜料改性,即对Zn或Al粉表面进行包覆改性[6,7],降低涂层中粉末的消耗速度或者采用其他颜料代替锌铝混合粉 (如Zn-Mg-Al[8],Zn-Al-Mg-Ce合金粉末[9];(四) 将锌铝涂层作为底漆,表面刷涂一层面漆,形成复合涂层[10]

锌涂层中加入Al可显著提高涂层的白锈能力,这是因为在腐蚀过程中,Al能够极大抑制阴极的氧化还原反应,阴极分电流的减少导致了阳极分电流的减少,从而抑制Zn的溶解和白锈的形成[11]。大量研究[12]-[14]表明,锌铝合金涂层兼有Zn涂层的牺牲阳极保护和Al涂层的高耐蚀性能,且其耐全浸腐蚀性能和耐盐雾腐蚀性能随Al含量的提高而增强。传统的无铬达克罗的锌铝粉质量比约为2∶1~5∶1时,涂层的耐蚀性最好[15]-[17],但是,继续增加Al粉含量,涂层耐蚀性反而下降。这是因为Al粉比重轻,比同等质量的Zn粉体积大得多,且Zn和Al的密度差异大易引起重量偏析[16],因此高Al粉含量涂液中Zn粉和Al粉完全分散均匀非常困难,不可避免的存在局部Al粉富集现象,导致局部显著贫Zn,在腐蚀介质到达基体时,贫Zn区不能提供有效的牺牲阳极保护,这会使得高Al粉含量的锌铝涂层提前失效。本课题组采用55Al-Zn-Si基合金粉末制备出高耐蚀性水溶性低温固化耐海洋气候腐蚀涂层,并在前期对55Al-Zn-Si 涂层耐蚀性能做了初步研究[18]-[20],但是对55Al-Zn-Si基涂层的腐蚀过程及耐蚀机理尚不明确,而要进一步完善水性无铬防腐涂液体系,显然有赖于对涂层腐蚀行为及耐蚀机制的深入理解。系统地研究55Al-Zn-Si基涂层在3.5%NaCl溶液中的腐蚀行为对深入理解55Al-Zn-Si涂层的防腐机制具有重要的意义,亦可为解决钢结构在海洋性气候的长效防护问题提供必要的技术支持和理论依据。

本文采用扫描电镜 (SEM) 和能谱仪 (EDS) 在微观尺度下考察Al-Zn-Si-RE涂层的结构和成分均匀性,并利用动电位极化曲线和电化学阻抗谱研究涂层在3.5%(质量分数)NaCl溶液中的腐蚀行为,并对其耐蚀机理进行了探讨。

2 实验方法

2.1 涂层的制备

实验中所用的Zn粉、Al粉和Al-Zn-Si-RE合金粉末片径为15~20 μm,厚度约为0.5 μm,片厚比 (平均粒度:平均厚度) 大于30。分别采用Zn/Al的质量比为4∶1的锌铝混合粉和Al-Zn-Si-RE合金粉作为颜料,并选用硅烷偶联剂和稀土盐复合成膜物质体系制备涂料,涂料组成参考专利[20]。配制涂料时,除颜料成分有变化,其余组分及含量均保持一致。

基体试样为Q235钢,尺寸为20 mm×20 mm×3 mm,经240#,360#,600#和800#SiC砂纸打磨除锈后,用丙酮脱脂,之后用流动的自来水清洗,冷风吹干,放在真空干燥箱内备用。将基体试样在涂料中浸渍后,在离心机中甩掉多余涂液,以获得具有片状粉末平行搭接结构的涂层,随后对涂层样品在烘箱中进行烧结固化,在100~110 ℃下预烘8~10 min,在285~295 ℃下烧结20~25 min。采用二涂二烘方式制备涂层,涂层的厚度约为10~15 μm。

2.2 性能测试方法

2.2.1 涂层微观组织成分表征 采用Hitachi S-4800型场发射扫描电镜 (FE-SEM) 观测涂层表面和截面的微观形貌,并利用其附带的EDS分析涂层主要元素的分布情况。

采用X Series 2型电感耦合等离子体质谱仪 (ICP-MS) 测定涂层中稀土元素的含量。样品制备方法:将涂层样品从试样上刮下来后,用天平准确称取约0.01 g的样品,放到玻璃烧杯中,分别加入5 mL盐酸和1 mL硝酸,置于电热板上加热消解,样品溶解完全后,取下,冷却,定容到10 mL待测。同位素选择:139La,140Ce,141Pr和146Nd。

2.2.2 电化学测试方法 电化学测量采用典型的三电极体系,参比电极 (RE) 为饱和甘汞电极 (SCE),并用饱和KCl溶液作盐桥,辅助电极 (又称对电极) 采用面积为4 cm2的Pt片电极,工作电极为用环氧树脂密封的涂层试样,暴露面积约为1 cm2。所有的电化学测试均在常温 (约25 ℃) 下进行,电解质溶液为自然曝气的3.5%NaCl溶液。电化学测试开始前,试样置于电解质溶液中浸泡,待自然开路电位基本稳定后进行测试。

动电位极化曲线测试电位扫描范围为,自初始电位 (即低于开路电位300 mV的电位) 开始,朝正向扫描直至电流密度达到10-2 Acm-2数量级,扫描速率为2 mV/s。电化学阻抗谱 (EIS) 测量在开路电位下进行,测试频率范围为10 mHz~100 MHz,正弦波激励信号幅值为5 mV,从高频向低频扫描。EIS谱的测试结果采用ZSimpWin 软件进行解析求解,拟合的结果保证卡方检验值 (χ2) 小于5×10-4,且等效电路中每个元件的拟合误差不超过15%。

3 结果与讨论

3.1 涂层微观组织成分分析

图1是Al-Zn-Si-RE涂层的截面形貌。可见,Al-Zn-Si-RE涂层呈致密均匀的片层结构。鳞片状金属颜料在涂层中形成了平行搭接,交叠排列的层状结构。这种片层结构增加了腐蚀介质到达基体的路径,提高了涂层的屏蔽性。

图1   Al-Zn-Si-RE涂层的截面形貌

Fig.1   Cross-sectional morphology of Al-Zn-Si-RE coating

图2为涂层表面元素EDS面扫分析。结果表明,微观尺度下涂层中主要元素分布均匀,没有明显偏析,可以使涂层优异的耐蚀性能充分发挥出来。

图2   Al-Zn-Si-RE涂层表面形貌及其主要元素分布

Fig.2   SEM image (a) of Al-Zn-Si-RE coating and distribution maps of Al (b), Zn (c) and Si (d)

通常EDS能谱的检测极限 (能检测到的元素最低浓度) 一般为0.1%~0.5%或更高,因此EDS不能对涂层中的微量元素RE进行定量分析。本文采用ICP-MS法同时测定涂层中的各相稀土元素的含量。Al-Zn-Si-RE涂层样品中微量稀土元素检测结果分别为 (μg/g):La 80.2,Ce 79.5,Pr 0.19,Nd 0.20。

3.2 动电位极化曲线测试

Al-Zn-Si-RE涂层/碳钢体系、Zn-Al涂层/碳钢体系和Q235钢基体在3.5%NaCl溶液中浸泡2 h后的动电位极化曲线如图3所示。从动电位极化曲线获得的腐蚀电化学动力学参数如表1所示。由于涂层在盐水中浸泡时间比较短,此时涂层仍处于完整状态,可将腐蚀介质与基体进行很好的隔离,因此可以认为极化曲线反映的是涂层的腐蚀特征。

图3   Al-Zn-Si-RE 涂层、Zn-Al涂层和基体Q235钢在3.5%NaCl溶液中浸泡2 h后的动电位极化曲线

Fig.3   Polarization curves of Al-Zn-Si-RE coating, Zn-Al coating and Q235 steel after immersion in 3.5%NaCl solution for 2 h

表1   Al-Zn-Si-RE 涂层、Zn-Al 涂层和基体Q235 钢在3.5%NaCl溶液中浸泡2 h后的电化学动力学参数

Table 1   Electrochemical parameters obtained from polarization curves of three materials after immersion in 3.5%NaCl solution for 2 h

SystemEcorr
V
Icorr
μAcm-2
βc
Vdec-1
βa
Vdec-1
Q235 steel–0.64328.141.08000.0808
Zn-Al coating‒1.0595.5940.12030.0772
Al-Zn-Si-RE coating–0.9071.0250.15470.2543

新窗口打开

由图3可见,Al-Zn-Si-RE涂层/碳钢体系的腐蚀电位 (Ecorr) 为-0.907 V,比Q235钢基体 (-0.643 V) 负,且与基体之间存在约-0.264 V 的电位差,这表明浸泡初期Al-Zn-Si-RE涂层处于活化状态,可对钢基体起到一定的牺牲阳极保护作用。通常情况下,腐蚀电流密度Icorr作为评估腐蚀反应的动力学的最重要参数之一,它与腐蚀速率成正比[21,22]。由图3可见,Al-Zn-Si-RE涂层/碳钢体系的阳极极化曲线在Zn-Al涂层/碳钢体系的左上方,且Al-Zn-Si-RE的腐蚀电流密度约为1.025 μAcm-2,比Zn-Al涂层的 (约为5.594 μAcm-2) 低 (如表2所示),说明Al-Zn-Si-RE涂层的腐蚀速率较Zn-Al涂层的慢,具有更长的保护寿命。

利用极化曲线的Tafel斜率判断电极反应机理是一种传统的电化学分析手段[23],阳极极化率可用来表征阳极反应的腐蚀阻滞作用,阳极极化率越大,则涂层/碳钢体系阳极电极反应的阻力越高[24]。在3.5%NaCl溶液中,Al-Zn-Si-RE涂层/碳钢体系的阳极Tafel斜率 (βa) 比Zn-Al涂层体系的大,这表明Al-Zn-Si-RE涂层/碳钢体系的电化学腐蚀过程相对于Zn-Al涂层更倾向于受阳极控制[25]

结合图3分析,Al-Zn-Si-RE涂层/碳钢体系和Zn-Al涂层/碳钢体系的阳极极化曲线分别在−0.72~−0.35和−0.76~−0.04 V区间有近似钝化现象出现,这与腐蚀过程形成腐蚀产物膜的封闭作用有关。腐蚀过程中Zn-Al涂层/碳钢体系表面形成钝化膜,一定程度上抑制了涂层中锌铝粉活化反应,且钝化区的腐蚀电流密度随电位升高仍继续降低,到−0.04 V时达最小值,但是腐蚀电流密度数值仍然比较大,为10-3 Acm-2数量级,表明涂层表面锌铝粉并没有完全钝化失去活性,仍然可以起到牺牲阳极作用。Al-Zn-Si-RE涂层表面钝化区的电流比Zn-Al涂层低一个数量级,说明Al-Zn-Si-RE涂层腐蚀产物膜比较致密,对涂层阳极活化溶解的抑制作用较强,使涂层的腐蚀速率降低,此时涂层的牺牲阳极作用减弱,腐蚀产物的屏蔽作用显著;而极化电位进一步增加时达到点蚀电位Epit,腐蚀电流密度迅速增大,表明在腐蚀介质作用下,腐蚀产物发生溶解,涂层中更多锌铝粉参与活化反应[26]

3.3 EIS谱测试

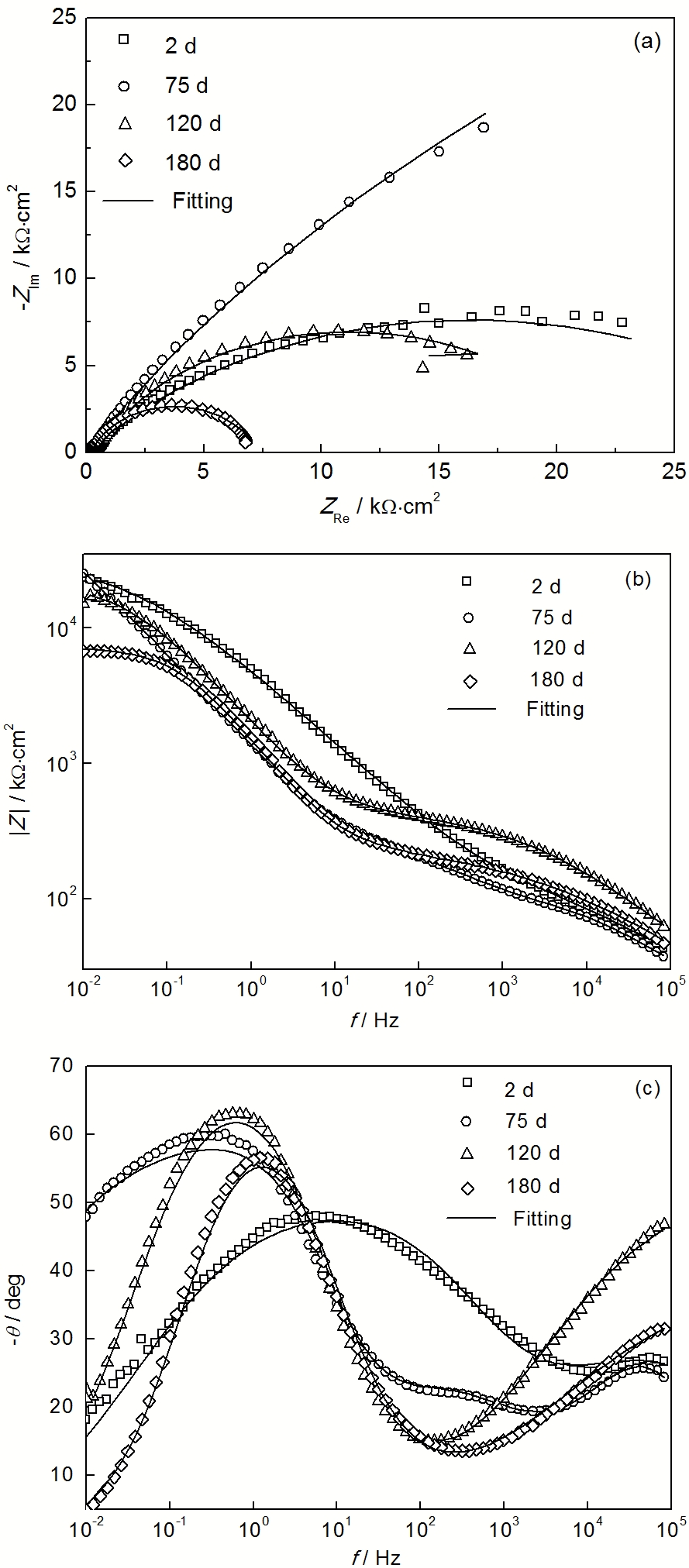
图4为Al-Zn-Si-RE涂层在3.5%NaCl溶液中浸泡不同时间的Nyquist和Bode图,测量的阻抗谱实际上反映的是涂层/碳钢体系表面的平均信息[27]。由图4可以看出,在整个浸泡过程中,Al-Zn-Si-RE涂层/碳钢体系EIS谱呈多个时间常数特征,随着浸泡时间的延长,涂层EIS谱形状变化显著,尤其是中低频部分。根据阻抗谱曲线形状的变化将Al-Zn-Si-RE涂层/碳钢体系的腐蚀过程分为4个阶段。

图4   Al-Zn-Si-RE 涂层在3.5%NaCl溶液中浸泡不同时间的EIS谱

Fig.4   Nyquist (a1~d1) and Bode (a2~d2) plots for Al-Zn-Si-RE coating after immersion in 3.5%NaCl solution during corrosion stage I (a1, a2), II (b1, b2), III (c1, c2) and IV (d1, d2)

在第一阶段,如图4a1和a2所示,涂层浸泡1 h后涂层开始呈现两个时间常数,只是Nyquist图在低频容抗弧的半径很大,致使高频容抗弧难以分辨,这说明此时腐蚀介质已经穿透涂层表面的一层薄硅烷膜到达涂层表层金属粉末表面,其中高频时间常数对应于涂层表面的硅烷膜的阻抗,而低频时间常数对应于硅烷膜/金属粉末界面信息。随浸泡时间的延长,涂层的两个时间常数特征更加明显。

在腐蚀第二阶段 (图4b1和b2),与浸泡初期相比,Nyquist图高频容抗弧变得明显,随着浸泡时间的延长,低频容抗弧幅值逐渐增大,意味着涂层的电化学反应电阻逐渐升高;该阶段相应的Bode图明显表现出3个时间常数,与第一阶段相比,低频时间常数向低频移动,在中频区出现了一个新的时间常数,这可能是因为随着腐蚀的进一步进行,腐蚀介质沿着涂层微孔渗透到涂层中不同深度,涂层中越来越多的金属粉与腐蚀介质发生反应,生成的腐蚀产物沉积在金属粉颗粒之间,覆盖在金属粉表面,形成第二个界面电容,因此,该阶段EIS谱第一个时间常数对应于涂层中金属粉的接触阻抗[28],第二个时间常数对应于腐蚀产物对金属粉的覆盖作用,而第三个时间常数仍表现为金属粉的活化腐蚀反应。

浸泡110 d后,进入腐蚀的第三阶段,由于上层金属粉消耗,第二界面消失,中频时间常数消失,涂层阻抗谱又变为两个时间常数,高频时间常数表现为涂层性质的常数,低频时间常数对应于涂层/基体界面双电层充放电时间常数,此时腐蚀介质通过涂层空隙继续渗透到达涂层/基体界面,由于涂层电极电位较基体低,涂层/基体界面处的金属粉发生活化腐蚀,作为牺牲阳极优先腐蚀,为基体提供牺牲阳极保护,但是随后腐蚀产物在金属粉末表面的覆盖使金属粉失去活性,牺牲阳极作用消失,因此持续时间很短。由图4c1和c2可见,涂层/碳钢体系的容抗弧幅值和低频模值总体上呈先增大后减小趋势,但腐蚀过程中频繁出现轻微波动现象。这是因为金属粉的活化溶解反应与腐蚀产物对金属粉的包覆作用是一个相互矛盾的动态过程[29],随着腐蚀介质的渗透,涂层/基体界面处更多的金属粉参与溶解反应,导致涂层电化学反应电阻降低,而生成的腐蚀产物遮盖了活化金属粉表面,又阻止了电化学反应的进行,从而增大了涂层的反应电阻。

当涂层在3.5%NaCl溶液中浸泡170 d后,进入涂层腐蚀的第四阶段 (如图4d1和d2),该阶段涂层的阻抗谱频率响应和变化趋势与第三阶段相似,表现出两个时间常数的特征 (双容抗弧),不同的是Nyquist谱的高频容抗弧幅值有所增大,低频的容抗半圆弧更加完整,不像腐蚀前期仅呈现一段圆弧,且该阶段涂层阻抗较腐蚀初期下降了约一个数量级,说明腐蚀产物层遭到破坏。该阶段腐蚀后期,涂层出现均匀红锈,说明涂层失效,基体发生腐蚀。

为了深入的研究Al-Zn-Si-RE涂层在3.5%NaCl溶液中浸泡不同时间的阻抗行为,选用合适的等效电路图,利用电化学阻抗分析软件ZSimpWin对不同腐蚀阶段的阻抗数据进行拟合。由图4可见,随浸泡时间的延长Al-Zn-Si-RE涂层EIS谱的形状发生显著变化,这是因为在腐蚀介质作用下,涂层的性质、结构以及涂层/基体界面结构发生了变化[30],因此,电化学阻抗数据拟合所采用的等效电路也随着浸泡时间的延长而有所不同[31,32]

选用如图5所示的拟合电路对Al-Zn-Si-RE涂层不同腐蚀阶段的EIS数据进行分析,拟合结果如图6所示,图中空心点为实验值,实线为拟合值。由图6可见,选用的电路图的拟合值与Nyquist和Bode的实验数据均相符,获得较好的拟合结果。

图5   Al-Zn-Si-RE涂层在3.5%NaCl溶液中不同腐蚀阶段的电化学阻抗等效电路图

Fig.5   Equivalent circuits for Al-Zn-Si-RE coating after immersion in 3.5%NaCl solution during corrosion stage I (a), II (b), III (c) and IV (d)

图6   Al-Zn-Si-RE 涂层在3.5%NaCl溶液中浸泡不同时间的阻抗谱拟合结果

Fig.6   Fitting results of Nyquist (a) and Bode (b, c) plots for Al-Zn-Si-RE coatings immersed for different time

采用图5a所示的等效电路Rs(Q1(R1(QpRp)))对腐蚀第一阶段阻抗进行拟合,其中Rs为溶液阻抗,Q1R1对应金属粉表面硅烷膜的容抗和阻抗,QpRp对应金属粉的活化溶解反应的电容和电阻。对腐蚀第二阶段的阻抗谱采用等效电路模型Rs(Qc(Rc(Qf (Rf(QpRp)))) (见图5b) 拟合,这里QcRc分别对应涂层的电容和电阻,QfRf表示金属粉表面的腐蚀产物膜的电容和电阻。涂层腐蚀第三阶段阻抗谱采用等效电路Rs(Qc(Rc(QdlRct)))(见图5c) 拟合,Qdl为涂层/基体界面的双电层电容,Rct为电荷转移电阻。采用等效电路模型Rs(QcpRcp)(Qdl,FeRct,Fe) 对涂层腐蚀第四阶段阻抗数据进行拟合,如图5d所示,其中QcpRcp对应腐蚀产物层的电容和电阻,Qdl,FeRct,Fe为钢基体表面的双电层电容和电荷转移电阻。

图7给出浸泡第二阶段涂层中RfRp随浸泡时间的变化情况,在该阶段,RpRf均随浸泡时间的延长而呈不断增长趋势。RpRf增加的原因是腐蚀产物在金属粉表面覆盖引起的[26]。在该阶段Rp的值很高,说明涂层中金属粉的消耗速率很低,从而延长了涂层的有效保护时间。

图7   浸泡第二阶段金属粉活化溶解电阻Rp和金属粉表面膜层电阻Rf随时间的变化

Fig.7   Evolutions of the active dissolution resistance Rp of metal powers and film resistance Rf on the surface of metal flake with time at the second corrosion stage in 3.5%NaCl solution

图8是浸泡第三阶段电荷转移电阻Rct随时间的变化。Rct反映涂层/基体界面的电化学反应电阻变化,腐蚀产物的堆积减少了金属粉的活性区,使Rct增加,但是随着腐蚀介质的渗透,Q235钢润湿面积增加,界面处更多金属粉参与反应,从而造成Rct降低,当界面处的金属粉表面活性区几乎被腐蚀产物覆盖时,涂层牺牲阳极作用消失,涂层腐蚀机制转为腐蚀产物的物理屏蔽作用。

图8   浸泡第三阶段电荷转移电阻Rct随时间的变化

Fig.8   Evolutions of the charge transfer resistance Rct with time at the third corrosion stage in 3.5% NaCl solution

3.4 涂层在盐水中的腐蚀形貌

图9为Al-Zn-Si-RE涂层在3.5%NaCl溶液中浸泡不同时间的腐蚀形貌。由图9a~e可以清晰的观察到,Al-Zn-Si-RE涂层的腐蚀形貌随浸泡时间的延长发生显著变化。由于涂层是在放大20000倍下观察,图片反映的是涂层若干个金属粉的腐蚀形貌演化。

图9   Al-Zn-Si-RE 涂层在3.5%NaCl溶液中浸泡不同时间的腐蚀形貌

Fig.9   Surface morphologies of Al-Zn-Si-RE coating after immersing in 3.5%NaCl solution for 20 d (a), 75 d (b), 100 d (c), 120 d (d) and 180 d (e)

由图9a可见,浸泡30 d后,涂层发生轻微腐蚀,金属粉表面有细小均匀分布的球状颗粒析出,随着浸泡时间的延长,生成的腐蚀产物颗粒不断沉积在涂层表面和缺陷处,浸泡75 d后涂层金属粉形态消失 (图9b),出现所谓的“自修复作用”。当涂层浸泡100 d后,涂层表面已经形成一层薄薄的连续均匀的腐蚀产物膜,高倍下观察腐蚀产物极其细小 (图9c);随腐蚀介质的不断渗透,涂层表面下方的金属粉也发生腐蚀,腐蚀产物层不断积累变厚,随着浸泡时间的继续延长,腐蚀产物膜内的纳米尺寸的腐蚀产物晶粒逐渐团聚长大,在浸泡120 d后,腐蚀产物膜呈现以团聚态存在的纳米微观组织 (图9d)。涂层经过180 d的浸泡后,在腐蚀介质的继续作用下,腐蚀产物不断增多,体积膨胀作用使得涂层表面有微裂纹出现 (图9e),但是腐蚀产物仍比较致密,可以起到一定的屏蔽作用。

4 结论

(1) Al-Zn-Si-RE涂层呈致密均匀的片层结构,可显著增加腐蚀介质到达基体的路径,对提高涂层的屏蔽性有利。Al-Zn-Si-RE涂层在微观尺度下成分分布均匀,可使高铝涂层优异的耐蚀性能得到充分发挥。

(2) Al-Zn-Si-R涂层/碳钢体系电位比基体负,且存在约250 mV的电位差,可对基体提供一定的牺牲阳极保护,但涂层表面生成致密的腐蚀产物膜,对涂层阳极活化溶解有较强的抑制作用,导致涂层的牺牲阳极作用减弱,腐蚀产物物理屏蔽作用显著。

(3) Al-Zn-Si-RE涂层的腐蚀过程分为4个阶段。浸泡初期为硅烷膜下金属粉的活化腐蚀;第二阶段,腐蚀产物在金属粉表面覆盖,显著降低金属粉的溶解速度;第三阶段,腐蚀介质渗透到涂层与基体界面,锌铝粉起牺牲阳极保护作用;腐蚀后期,涂层的耐蚀机理主要为腐蚀产物的物理屏蔽作用。在整个腐蚀过程中,涂层的主要防护机制表现为金属粉的牺牲阳极阴极保护作用和腐蚀产物的屏蔽效应。


/