中国腐蚀与防护学报  2015 , 35 (6): 549-555 https://doi.org/10.11902/1005.4537.2014.233

研究报告

外加交流电场对薄液膜中氧扩散的影响

陈启萌1, 张俊喜1, 原徐杰12, 戴念维1

1. 上海电力学院 上海市电力材料防护与新材料重点实验室 上海 200090
2. 上海中挪海事有限公司 上海 210417

Effect of Alternating Electric Field on Diffusion Coefficient of Oxygen in Thin Electrolyte Layer

CHEN Qimeng1, ZHANG Junxi1, YUAN Xujie12, DAI Nianwei1

1. Shanghai Key Laboratory of Materials Protection and Advanced Materials in Electric Power, Shanghai University of Electric Power, Shanghai 200090, China
2. China Classification Society-Det Norske Veritas Technology Institute, Shanghai 210417, China

中图分类号:  TG172.3

文献标识码:  A

文章编号:  1005-4537(2015)06-0549-07

通讯作者:  通讯作者:张俊喜,E-mail:zhangjunxi@shiep.edu.cn,研究方向为材料电化学

版权声明:  2016 《中国腐蚀与防护学报》编辑部 《中国腐蚀与防护学报》编辑部

基金资助:  国家自然科学基金项目 (51271110) 和上海市教委科研创新重点项目 (12ZZ170) 资助

作者简介:

作者简介:陈启萌,女,1990年生,硕士生

展开

摘要

采用计时电流法测定了交流电场作用下O2在薄液膜中的扩散系数。考察了计时电流法测定氧扩散系数这一方法在薄液膜体系和电场环境下应用的可行性,研究了薄液膜体系中液膜厚度以及外加电场对氧扩散系数的影响。结果表明,O的扩散系数随着薄液膜厚度的减小而增大,随着交流电场强度的增强而增大。交流电场对O扩散系数的影响可能是其加速了O通过气/液界面到达电极表面的过程。薄的液膜和强的电场会加快金属腐蚀的阴极过程中O的传输,从而加速金属腐蚀。

关键词: 计时电流法 ; 大气腐蚀 ; 氧还原反应 ; 动力学参数 ; 薄液膜

Abstract

Effect of an applied alternating electric field on the oxygen diffusion coefficient in thin electrolyte layers on an electrode of stainless steel was investigated by chronoamperometry. The results show that the oxygen diffusion coefficient increased with the decrease in TEL thickness, as well as the increase in AEF strength. The effect of AEF on the oxygen diffusion coefficient is found to be due to that the migration of oxygen form the gas/liquid interface to electrode surface was accelerated by the applied electric field. For a thinner electrolyte layer by a stronger applied electric field, the cathodic process of the electrode would be more intensive,which corresponds to higher corrosion rate of metal.

Keywords: chronoamperometry ; atmospheric corrosion ; oxygen reduction ; kinetic parameter ; thin electrolyte layer

0

PDF (792KB) 元数据 多维度评价 相关文章 收藏文章

本文引用格式 导出 EndNote Ris Bibtex

陈启萌, 张俊喜, 原徐杰, 戴念维. 外加交流电场对薄液膜中氧扩散的影响[J]. , 2015, 35(6): 549-555 https://doi.org/10.11902/1005.4537.2014.233

CHEN Qimeng, ZHANG Junxi, YUAN Xujie, DAI Nianwei. Effect of Alternating Electric Field on Diffusion Coefficient of Oxygen in Thin Electrolyte Layer[J]. 中国腐蚀与防护学报, 2015, 35(6): 549-555 https://doi.org/10.11902/1005.4537.2014.233

1 前言

作为输电网重要基础设备之一,镀锌钢输电杆塔在我国得到了广泛的应用。输电杆塔的可靠性关系到整个输电网的安全,一旦输电杆塔发生故障不仅会造成极大的经济损失,更会带来严重的社会影响。输电杆塔的主要腐蚀形式为薄液膜 (TEL) 下的大气腐蚀,其阳极过程为金属的腐蚀溶解,阴极过程则以O的去极化过程为主。薄液膜下的腐蚀行为与本体溶液中的腐蚀行为有很大的差异,主要表现在溶解氧的传输、腐蚀产物的堆积及溶解的金属离子的水合等方面[1]。关于金属大气腐蚀的研究已有大量的报道,对金属大气腐蚀的各个过程已作了较系统的研究[2-7]

多年来,外加电场对大气腐蚀阳极过程的影响得到越来越多的关注[8-13],Lalvani等[8]的研究表明,交流电场的存在会减小阴阳极极化,增大金属的腐蚀速率;Wendt等[9]及Zhang等[10]的研究表明,交流电场造成金属阴阳极的不对称极化;Kim等[11]也就外加交流电场对金属腐蚀的影响做了深入研究。而在大气环境下,Huang等[12,13]通过薄液膜体系模拟研究了集成电路运行时产生的电场对电路板中覆铜线路的腐蚀影响,结果表明电场能够改变薄液膜下离子的迁移过程、破坏金属表面的氧化层;近期的初步研究发现,在电力传输过程中高压输电线周围产生的高压电场对输电杆塔的腐蚀有一定的促进作用。原徐杰等[14,15]的研究也表明,外电场的作用可以使薄液膜下金属的腐蚀电位负移、增大电极的阴极极化电流,并且外加电场与电极体系的液膜厚度、溶解氧的扩散等产生的协同作用可以加速金属腐蚀的阴极过程。作为大气腐蚀主要阴极过程的氧去极化反应,去极化剂溶解氧向电极表面的输送过程主要分为以下3个步骤[16]:(1) 氧通过气/液界面进入溶液;(2) 以对流、扩散方式通过溶液的主要厚度层;(3) 以扩散方式通过金属表面溶液的扩散层到达金属表面。由于氧只能以扩散的方式通过扩散层,第3个步骤常常成为速度控制步骤。因此,氧扩散过程是大气腐蚀中阴极过程的重要环节,研究薄液膜下氧的扩散过程对认识金属大气腐蚀的阴极过程有重要的作用。研究[16]表明,在薄液膜下溶解氧的传输从本体溶液中的三维扩散变为一维扩散,使得薄液膜下的氧还原反应和金属腐蚀速率大于本体溶液。同时由于外加电场对电极过程的影响作用机制相当复杂,有关外加电场对薄液膜下金属腐蚀的阴极过程的研究仍然缺乏相关报道,因此有必要对外加电场作用下薄液膜下的氧扩散过程展开研究。

目前,对氧扩散系数进行测量的方法有计时电流法、计时电势法、极谱氧电极法、停滞液体层准定态法和静态迁移测试法等[17-22]。其中计时电流法是一种快速准确得到氧的扩散系数的方法,在燃料电池领域得到了较广泛的应用[23-29]。Zhang等[23]采用计时电流法及慢扫描伏安法研究了质子交换膜界面上氧的还原及传输特性;Beattie等[24]采用计时电流法及慢扫描伏安法研究了不同温度不同O2压力下Nafion®和BAM质子交换膜的性能;Li等[25]采用计时电流法及双电势阶跃计时电流法研究了乙腈/水混合溶液中O2的扩散系数。而与溶液体系相比,对薄液膜体系下O的扩散系数的测量则由于液膜较薄产生了许多困难,在这方面的研究中,Lee等[28]研究了质子交换膜燃料电池的扩散层的特性;Tsai等[29]研究了质子交换膜燃料电池中O2在气体扩散层中的传递过程,结果表明气体扩散层越厚,O2扩散到电极表面的阻力越大,明显降低电池的性能。而关于大气腐蚀的薄液膜体系中O的扩散系数的测定研究还未见报道。

本文根据输电杆塔的服役条件,研究了计时电流法测量薄液膜下氧扩散系数的可行性,并利用薄液膜实验装置研究了不同外加交流电场对薄液膜中O的扩散过程的影响。通过本研究可以更好的认识氧传质及电场环境对金属大气腐蚀过程的影响。

2 实验方法

2.1 试剂与仪器

Pt棒 (99.99%,质量分数) 加工成Φ 8 mm×10 mm 的圆柱体电极,并用尼龙套管进行封装,端面工作面积为0.502 cm2,另一端面用导线连接。电极依次采用800~2000#砂纸进行逐级打磨,并用刚玉微粉抛光至镜面,经丙酮除油后用酒精及去离子水淋洗,吹干后存于干燥器中备用。

薄液膜实验装置示意图如图1所示。装置与已有文献[30,31]所述基本相同,不同之处在于,本实验采用两支相距5 cm的不锈钢板作为外加电场的电极,其中一支极板与Pt电极接地以模拟输电杆塔的接地环境。另外一支不锈钢板连接交流电源以获得电场强度分别为100,200和400 kV/m 的交流电场,交流电的工频为50 Hz。薄液膜溶液为0.35% (质量分数) NaCl溶液,用分析纯试剂和去离子水配制。测试采用三电极体系,Pt电极为工作电极,辅助电极为Pt丝圈,参比电极为饱和甘汞电极 (SCE),使用CHI 660c电化学工作站进行测试和数据采集,文中所有电位均相对于SCE。

图1   外电场作用下薄液膜腐蚀实验装置图

Fig.1   Schematic diagrams of the experiment arrangement for TELs corrosion tests under external electric field: (a) transverse cross-sectional view, (b) top view of electrochemical cell

2.2 实验过程

薄液膜下氧扩散系数的测定采用计时电流法进行,使用电化学工作站进行测试和数据采集时首先使测试体系稳定15 min,而后施加不同场强的电场待开路电位再次稳定后进行测量。测试至少重复3次以保证重现性。阴极极化曲线的测试自开路电位以1 mV/s的扫描速率进行。薄液膜厚度由自制的带有Pt针的毫米千分尺和Ohm计控制,测量前先用水平仪调整水平台至水平,分别记录当铂针接触到电极表面使Ohm计电流突增时千分尺的数值,以及当Pt针接触液膜产生的毛细现象时千分尺的数值,两者之差即为薄液膜厚度。本实验分别控制薄液膜厚度为100,200,400,600,800及1000 μm。

测试中为保持液膜的稳定性,将电解池放入一个附有水平台的干燥器中,并在干燥器中放置一个装有测试溶液的烧杯。实验温度控制在 (25±0.1) ℃,湿度控制在RH (60±1)%。

3 结果与讨论

3.1 计时电流法测试TEL中氧扩散系数的可行性

图2为Pt电极在无外加电场时不同厚度薄液膜下的阴极极化曲线。曲线可以分为3个部分:I为开路电位附近的线性极化区;II为受极限扩散控制的氧还原区;III为析氢反应区[30,32]。从图中可以看出,随着薄液膜厚度的减薄,区域II的溶解氧还原反应电流值增大,表明阴极还原反应速率是由氧扩散到Pt电极表面的过程所控制[33-35]。结合极化曲线测量,这里将计时电流法的阶跃电位设为从发生非Faraday过程的+300 mV阶跃至由O2传输到电极表面的扩散为单一机制的-690 mV[17,36,37],使得由计时电流法测得的电流与时间的关系满足Cottrell方程[38]

iF(t)=nFAeC(D/πt)12(1)

图2   无外加电场作用下的Pt电极在不同厚度0.35%NaCl薄液膜下的阴极极化曲线

Fig.2   Cathodic polarization curves of Pt in 0.35%NaCl TEL with various thicknesses under absent alternating electric field

式中,n为参与电极反应的电荷数,在氧还原反应中n=3.94[36,39];F为Faraday常数;Ae为电极面积 (m2);C为本体溶液中活性物质的浓度 (molm-3),D为活性物质的扩散系数。

将方程式改写为电流对时间的形式:

1[iF(t)]2=π/(nFAeC)2×(1/D)×t(2)

如果1/[iF(t )]2对时间为线性的话,则通过斜率ht/Δ{1/[iF(t )]2}即可得到D

D=Δt/Δ{1/[iF(t)]2}×[π/(nFAeC)2(3)

C可由下式得到[40]

103α=exp{(-7.424+4417/T-2.927lnT+4.238×10-2T)-[mCl](-0.1288+53.44/T-4.442×10-2lnT+7.145×10-4)}(4)

式中,α为Bunsen吸收系数,即标准状况下单位体积溶剂溶解的气体体积;T为温度 (K);[mCl]为溶液中Cl-的质量分数浓度。在本实验中[π/(nFAeC)2]为一定值。因此,D的变化可以用斜率h来表达。

图3a为Pt电极在无外加电场作用下不同液膜厚度下的电位阶跃曲线,图3b为0.8 s内Δt与1/[iF(t )]2的关系曲线,可以看出在此时间范围内曲线呈线性,则将1/[iF(t )]2对时间求导后对时间作图应为直线。图4为无外加电场作用下的Pt电极在不同厚度的0.35%NaCl薄液膜下的Δ{1/[iF(t )]2}/Δt对时间曲线。可以看出,各个厚度薄液膜下的曲线在0.8 s内相应的呈水平状态,而0.8 s后曲线就出现了较明显的震荡,说明其他因素,诸如双电层充电、非线性扩散等起主要作用。根据式 (3) 可知,当Δ{1/[iF(t )]2}/Δt对时间曲线与x轴呈水平状态时,这段时间的电流响应才符合Cottrell方程。并且从图4中还可以看出随着液膜的减薄,曲线水平状态的时间范围有所缩短,但仍可引入该方法计算溶解氧扩散系数。

图3   无外加电场作用下的Pt电极在不同厚度0.35%NaCl薄液膜下的脉冲曲线和1/[iF(t )]2对时间曲线

Fig.3   Transient curves (a) and plots of 1/[iF(t )]2vs time (b) of Pt in 0.35%NaCl TEL with various thicknes-sses under absent alternating electric field

图4   无外加电场作用下的Pt电极在不同厚度的0.35%NaCl薄液膜下的Δ{1/[iF(t )]2}/Δt对时间曲线

Fig.4   Plots of Δ{1/[iF(t )]2}/Δt vs time for Pt in 0.35%NaCl TEL with various thicknesses under absent alternating electric field

计算获得的各个厚度薄液膜下的氧扩散系数值分别为:1.88 10-9 m2·s-1(1000 μm),2.01 10-9 m2·s-1(800 μm),2.14 10-9 m2·s-1(600 μm),2.24 10-9 m2·s-1(400 μm),2.59 10-9 m2·s-1(200 μm) 和3.01 10-9 m2·s-1(100 μm)。可以看出,1000 μm厚度薄液膜下测得的氧扩散系数与已有的文献[41,42]记录相符合,说明采用计时电流法测量薄液膜下氧扩散系数的方法可行。同时,为了考察不同液膜厚度和不同电场强度对氧扩散系数的影响,假定无外加电场条件下液膜厚度为1000 μm时测得的氧扩散系数为D0,则以D/D0值表示不同薄液膜厚度和不同电场场强条件下的氧扩散系数的变化。

3.2 薄液膜厚度对氧扩散系数的影响

图5为不同电场强度下,O的D/D0随薄液膜厚度的变化关系。可以看出,D/D0随薄液膜厚度的增加逐渐减小,并且D/D0在液膜厚度为200~400 μm处减小的幅值最大。Zhong等[32]的研究表明,在腐蚀初期金属的腐蚀速率随薄液膜厚度的减小而增加,说明在腐蚀初期金属的腐蚀过程由O2从电解液扩散到电极表面决定。Nishikata等[43,44]的研究表明,氧还原的极限扩散电流密度随薄液膜厚度的减小而增大,在腐蚀的初期阶段随着薄液膜的减薄,阴极过程由氧扩散控制,Liao等[30]的研究也有类似的结果。

图5   不同交流电场强度下O的D/D0值随薄液膜厚度的变化

Fig.5   Changes of D/D0 with thickness of 0.35%NaCl TEL under different alternating electric fields

根据Tomashov模型[45],最大腐蚀速率出现在阴极过程控制转为阳极过程控制时,通常此时的薄液膜厚度约在300 μm。Rozenfeld等[46]的研究也认为,O2在经气相溶解到液膜中发生去极化反应的过程中,溶解氧形成的扩散层约为300 μm。Zhang等[47]的研究表明,当薄液膜的厚度接近或小于扩散层厚度时,O2的还原反应速率受液膜厚度的影响。液膜越薄,O2的还原反应速率越大,阴极电流也越大。且实验表明当薄液膜厚度超过一定值后,氧扩散系数不再取决于薄液膜的厚度。经计算,245 μm为本体溶液体系下的有效扩散层厚度。当液膜厚度小于300 μm时,由于扩散层的自然减薄,并且由于气/液界面的蒸发扰动,会加速溶解氧向电极表面的传递[45,47]。随着液膜增厚,O的扩散系数逐渐减小,当液膜厚度大于400 μm时,氧扩散系数减小的幅度明显减小,主要原因是液膜厚度较厚时,气/液界面的蒸发扰动对液膜内部的影响减小。

从图中不同电场强度下O的扩散系数的变化来看,其变化规律是相近的。

3.3 外加电场对氧扩散系数的影响

图6为不同厚度薄液膜下,O的D/D0随电场强度的变化关系。可以看出,随着电场强度的增加,D/D0逐渐增加,且增加的幅值随电场强度和液膜厚度的变化也不尽相同。当液膜厚度小于400 μm时,电场对氧扩散系数的影响更加明显。O2经气/液溶解进入液膜中形成溶解氧,溶解氧与液膜中的水分子会结合形成水合氧分子,此状态下的溶解氧在外加电场的作用下会发生极化,并在外加电场的作用下实现电迁移[48]。Huang等[13]对交流电场下金属腐蚀的研究表明,交流电场会对阴阳极极化过程产生影响,造成阴阳极的不对称极化,导致腐蚀电位偏移,并且交流电场的振幅和频率也会对阴阳极过程产生影响。目前,电场对金属腐蚀影响的研究主要集中在其对阳极过程的影响上,电场对金属腐蚀的阴极过程的影响仍然少有报道。

图6   不同厚度薄液膜下O的D/D0随交流电场强度的变化

Fig.6   Changes of D/D0 with alternating electric field intensity for O in 0.35%NaCl TEL with different thicknesses

图7为不同电场强度下的Δ{1/[iF(t )]2}/Δt对时间曲线。可以看出,各条曲线在0.8 s内呈线性,而0.8 s之后都不同程度的出现震荡,且随着电场强度的增强,震荡的幅度越大。说明电场的存在改变了溶解氧的扩散机制,在外加电场的作用下,两金属极板之间的气相和液膜在外加电场的感应下形成了不同介质的电场E1E2 (如图8)。其中,E1为空气中的电场强度,E2为液膜下的电场强度[14,15]E2随液膜厚度的变化关系见下式:

E2=Eextra/[εrd+(1-εr)l](5)

图7   不同强度的交流电场下不同薄液膜厚度的Δ{1/[iF(t )]2}/Δt对时间曲线

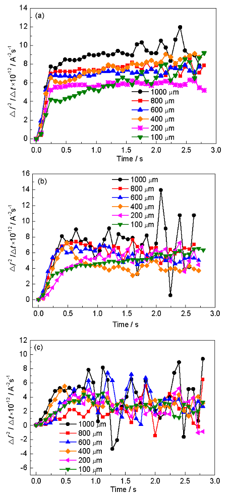
Fig.7   Plots of Δ{1/[iF(t )]2}/Δt vs time for 0.35%NaCl TEL with various thicknesses under alternating electric field of 100 kV/m (a), 200 kV/m (b) and 400 kV/m (c)

图8   有/无电场条件下的双电层模型

Fig.8   Models of electric double layers without (a) andwith (b) applications of alternating electric field

式中,Eextra为施加在两个金属极板之间的电压,εr为NaCl溶液的介电常数,d为两金属板之间的距离,l为薄液膜的厚度。由式 (6) 可知,随着外加电场强度的增加,液膜中的电场强度也相应增加。在这种情形下,液膜中的水合溶解氧在外加电场的作用下发生极化,并向电极表面迁移,促进了溶解氧的传质过程。

因此,在溶解氧的传质过程中,当没有外加电场时,溶解氧主要通过扩散方式到达电极表面并参与电极反应。而当存在外电场时,由于外电场的作用,液膜中溶解氧的传质过程中迁移的分量就不能忽略了。根据Nernst-Planck方程[49]

Jj(x)=-DjCj(x)/x]-[zjF/RT]DjCj[ϕ(x)/x](6)

其中,Jj (x) 为物质j在距离表面x处的流量mol·s-1·cm-2,Dj为物质j的扩散系数 (cm/s),R为理想气体常数,T为绝对温度,F为Faraday常数,Cj为离子浓度,zj为化合价。可以看出,溶解氧的迁移同样对扩散系数产生一定的影响。

因此,影响扩散系数的变化主要因素有两个:一个是液膜的厚度,与本体溶液相比,液膜厚度的变化改变了O2由气相到液膜/电极界面的动力学过程,包括蒸发扰动,吸附等促进了溶解氧的溶解和扩散,以及液膜的减薄改变了溶解氧在本体溶液中扩散层厚度等;另一个则是外加电场,外加电场的存在使得溶解氧在液相的迁移过程不可忽略,加快了溶解氧到达电极表面的速度。

4 结论

(1) 采用计时电流法研究了外加交流电场作用时薄液膜下氧的扩散系数。结果表明,该方法可用于薄液膜下氧的扩散系数的测定。

(2) 薄液膜下氧的扩散系数随液膜厚度的减薄而增大,液膜越薄,O2越容易通过气/液界面到达电极表面。

(3) 在交流电场的作用下,薄液膜下氧的扩散系数随电场强度的增强而增大。薄的液膜以及强的电场加速了腐蚀的阴极过程,加快了金属的腐蚀速率。

The authors have declared that no competing interests exist.


/