中国腐蚀与防护学报  2015 , 35 (6): 525-534 https://doi.org/10.11902/1005.4537.2014.227

研究报告

硅氧烷硫化物与铈盐复合膜对铝合金耐点蚀能力的影响

郝敬丽1, 高永晶1, 董泽华12

1. 华中科技大学化学与化工学院 材料化学与服役失效湖北省重点实验室 武汉 430074
2. 湖北文理学院化工与食品学院 襄阳 433500

Effects of Siloxane Sulfide and Cerium Salt Complex Conversion Film on Corrosion Resistance of Aluminum Alloy

HAO Jingli1, GAO Yongjing1, DONG Zehua12

1. Hubei Key Laboratory of Materials Chemistry and Service Failure, School of Chemistry and Chemical Engineering, Huazhong University of Science and Technology, Wuhan 430074, China
2. School of Chemical and Food Sciences, Hubei Institute of Arts, Xiangyang 433500, China

中图分类号:  O646

文献标识码:  A

文章编号:  1005-4537(2015)06-0525-10

通讯作者:  通讯作者:董泽华,E-mail:zehua.dong@gmail.com,研究方向为腐蚀电化学及电化学测试技术

版权声明:  2016 《中国腐蚀与防护学报》编辑部 《中国腐蚀与防护学报》编辑部

基金资助:  国家自然科学基金项目 (51371087) 资助

作者简介:

作者简介:郝敬丽,女,1988年生,硕士生

展开

摘要

通过在AA6063铝合金表面预沉积Ce3+,再浸涂双-[三- (乙氧基) 硅丙基]四硫化物 (BTST) 的分步沉积工艺,制备了一种高耐蚀性的CeO2/BTST复合转化膜。结果表明:单独CeO2膜仅可使铝合金在3%NaCl溶液中的极化电阻提高一个数量级;但复合膜则可使之提高两个数量级,且点蚀电位上升近400 mV。CeO2/BTST复合膜对铝合金亚稳态或稳态点蚀发展有强烈抑制作用,其噪声电阻达到10 MΩ·cm2以上,在浸泡168 h内基本无亚稳态点蚀发生,而单独的CeO2膜或BTST自组装膜的耐蚀性均有限,在3%NaCl溶液中浸泡168 h后铝合金表面即出现大量点蚀。由于CeO2能优先吸附于第二相 (AlFeSi) 组织表面,抑制亚稳态点蚀生长;而硅氧烷与Al—O键结合能高,能有效提高Al基体的全面保护能力,得益于二者的协同作用,采用顺序沉积铈盐/硅氧烷所制备的复合保护层,能同时显著提升铝合金的全面腐蚀与局部腐蚀抗力。

关键词: 铝合金 ; 点蚀 ; 铈盐 ; 硅氧烷 ; 转化膜

Abstract

A complex chemical conversion film of CeO2-siloxane was prepared on AA6063 aluminum alloy by successively dipping the alloy in CeCl3 aqueous solution and then in bis-[triethoxysilypropyl] tetra-sulfide (BTST) alcohol solution. Electrochemical tests show that the polarization resistance of the bare Al alloy in 3%NaCl solution can be enhanced by an order of magnitude with the CeO2 conversion film alone. But the complex film can rise both the polarization resistance by two orders of magnitude and the pitting potential by ca 400 mV. The enhancement of corrosion resistance of the alloy is limited by applying either CeO2 conversion film or BTST film alone, while a lot of pits can be observed on the Al electrode surface after immersed in 3%NaCl for 300 h. However, after the CeO2/BTST complex film was formed, no noise peaks can be found from the ECN curves when Al electrode immersed in 3%NaCl for 168 h, indicating that the complex film has a strong inhibition effect on the propagation of metastable- and steady-pits on the aluminium alloy. Since CeO2 can be absorbed preferentially on the second phase (AlFeSi), it can inhibit the growth of metastable pits; and the siloxane has a high binding energy with Al—O bond, therefore, the synergistic effect of CeO2 and siloxane may be beneficial to the excellent protectiveness of the complex film.

Keywords: aluminium alloy ; pitting corrosion ; cerium ; siloxane ; conversion film

0

PDF (1344KB) 元数据 多维度评价 相关文章 收藏文章

本文引用格式 导出 EndNote Ris Bibtex

郝敬丽, 高永晶, 董泽华. 硅氧烷硫化物与铈盐复合膜对铝合金耐点蚀能力的影响[J]. , 2015, 35(6): 525-534 https://doi.org/10.11902/1005.4537.2014.227

HAO Jingli, GAO Yongjing, DONG Zehua. Effects of Siloxane Sulfide and Cerium Salt Complex Conversion Film on Corrosion Resistance of Aluminum Alloy[J]. 中国腐蚀与防护学报, 2015, 35(6): 525-534 https://doi.org/10.11902/1005.4537.2014.227

1 前言

铝合金比强度高、密度小,广泛应用于航空、航天、汽车、船舶等领域。但海洋大气环境中,铝合金易遭受点蚀、晶间腐蚀、应力腐蚀开裂及剥离腐蚀[1]。表面转化膜处理是提高铝合金防护能力的关键措施之一,然而传统的铬酸盐膜由于六价铬的致癌性而逐步受到限制,因此研究一种环境友好的转化膜工艺尤为重要。

铈盐由于能优先吸附在铝合金阴极相上[2-5],阻碍阴极相对铝合金基体溶解的促进和对亚稳态点蚀的诱导作用[6],因而对铝合金具有较好的保护性能,成为无铬转化膜的典型代表。铈盐转化膜主要由Ce的氢氧化物和氧化物构成[7,8],然而其成膜机理决定了很难得到膜质均匀、与基体结合力强的膜层[9],容易产生龟裂和膜剥离[10]。一旦膜层达到一定厚度,其质地就会变得疏松多孔,并出现大的裂纹[11,12],故单独铈盐转化膜的耐蚀性有限。有机硅氧烷是近年发展起来的新型金属表面无铬处理剂,硅烷化处理无污染、操作简单、被处理件耐蚀性好。常用的硅氧烷处理剂主要有两类:单功能性硅氧烷X3Si(CH2)nY和双功能性硅氧烷X3Si(CH2)nY(CH2)nSiX3,其中X表示可水解性基团,如—OCH3和—OC2H5等,单功能性硅氧烷中Y表示—NH2,—CHOCH2和—SH等功能性官能团,双功能性硅氧烷中Y表示—S—S—S—S—或—NH—等基团[13]。这种功能性硅氧烷水解后产生Si—OH,能与Al基体表面的—OH缩合形成高密度的Si—O—Al键,与基体结合力较强[14-16],且通过Si—OH自身的缩合能在次表面形成网状的Si—O—Si薄膜[17],能有效阻碍腐蚀介质渗入[18,19]。但硅氧烷膜仅是一个物理障碍层[20]且常有微孔和裂纹存在[21],特别是硅氧烷在AlFeSi金属间化合物等第二相组织表面的成膜能力弱,一旦侵蚀性离子通过膜缺陷到达基体或第二相组织,容易引发点蚀;加上这种膜层无自愈能力,其耐久性也较低。

近年来,结合铈盐和硅氧烷的优缺点,将稀土转化膜和硅烷膜联合应用得到了越来越多的关注,并取得了一定的研究成果。Correa等[22]研究了Ce(NO3)3掺杂的甲基-三乙氧基硅氧烷 (MTES) 复合膜下镁合金的腐蚀行为,提出向MTES中加入6.0×10-5 mol/L Ce(NO3)3能显著提高AZ91镁合金在0.1 mol/L Na2SO4溶液中的耐蚀性能。张金涛等[23]γ-环氧丙氧丙基三甲氧基硅烷 (γ-GPTMS) 和正硅酸乙酯 (TEOS) 为前驱体,在2A12铝合金表面制备了Ce(NO3)3掺杂的有机-无机杂化膜,测试结果表明,铈盐掺杂硅烷杂化膜的极化电阻比掺杂前增大了约13倍,并显著高于铬酸盐转化膜和稀土转化膜。但目前大多数研究[22-25]均采用铈盐掺杂硅氧烷的方法制备复合转化膜,这种复合膜具有一些缺陷,例如,Osborne等[26]的研究表明在硅烷溶液中直接添加无机铈盐并未很好的改善转化膜防护性能,甚至反而使转化膜的防护性能下降。Wu等[27]的研究表明,过量铈盐的加入并不能提高双-[三-(乙氧基) 硅丙基]四硫化物对AA2024铝合金的防护性能。Malfatti等[28]的研究也表明,0.05 mol/L Ce(NO3)3的掺杂会增加γ-缩水甘油醚氧丙基三甲氧基硅烷膜的缺陷和渗透性,降低膜层的物理隔绝性。肖围等[29,30]采用先硅氧烷后铈盐的自组装方法在铝管表面制备了双-[三-(乙氧基) 硅丙基]四硫化物 (BTST) 和铈盐复合膜,但从极化曲线和电化学阻抗的结果来看其耐蚀性能有限。

本文改进了传统铈盐与硅氧烷复合转化膜的制备方法,先在AA6063铝合金基体表面沉积一层稀土转化膜,再浸涂硅氧烷,让硅氧烷水解形成的网状结构与Ce(OH)3沉积物,经中温烘烤后形成致密的Al—O—Si—O—Ce膜,并采用电化学方法评价了不同成膜方法的耐蚀能力。

2 实验方法

2.1 硅烷溶液配制

配制BTST (国药集团,分析纯):无水乙醇:水=4:90.5:5.5 (体积比) 的混合液,用40% (质量分数) 醋酸调节pH值为4.5,35 ℃下搅拌水解38 h后备用。

2.2 工作电极制备

将成分 (质量分数,%) 为:Si 0.38,Mg 1.13,Fe 0.67,Mn 0.04,余量为Al的AA6063铝合金切割成Ф8 mm×2 mm的圆柱体,再用环氧树脂封装,固化后依次用800#,1000#和1200# Al2O3砂纸、W20(02)~W10(04) 金相砂纸逐级打磨至表面光亮,依次用丙酮、无水乙醇、蒸馏水清洗后冷风吹干,在金属与环氧之间涂封一圈宽1 mm的703硅橡胶,以防止可能的缝隙腐蚀。打磨后的电极置于干燥器中备用。

2.3 转化膜制备

铈盐转化膜:将处理好的电极在5 mmol/L的CeCl3 (CeCl3·7H2O,国药集团,含量≥99.0%) 溶液中浸泡6 h。

BTST转化膜:将处理好的电极在水解38 h后的BTST溶液中浸泡2 min。

铈盐/BTST复合转化膜:将电极在5 mmol/L的CeCl3溶液中浸泡6 h,蒸馏水清洗后冷风吹干,再于BTST溶液中浸涂2 min。

BTST/铈盐复合转化膜:将电极在BTST溶液中浸涂2 min后冷风吹干,再在5 mmol/L的CeCl3溶液中浸泡6 h。

铈盐+BTST同步沉积膜:向水解以后的BTST溶胶中加入5 mmol/L的CeCl3,搅拌溶解后将电极在混合液中浸泡2 min。

所有浸渍试样均冷风吹干,于130 ℃烘箱中固化1 h后备测。

2.4 电化学测试

电化学测试采用CS350电化学工作站和常规三电极体系,以饱和甘汞电极 (SCE) 作参比电极,Pt片为辅助电极,铝合金为工作电极。极化曲线扫描速率为0.5 mV/s。电化学阻抗 (EIS) 测量的正弦波幅值为5 mV,扫频范围为100 kHz~10 mHz,对数扫频,于开路电位 (OCP) 下进行。电化学噪声采用CST500电化学噪声测试仪记录,两支同材质AA6063电极分别作为工作电极1 (WE1) 和工作电极2 (WE2),且二者面面相距5 cm,参比电极为双液接SCE。电位与电流噪声信号同步采集,采样频率为5 Hz。所有电化学测试中,电解池内充250 mL 3% (质量分数) NaCl水溶液,为避免电磁干扰,电解池置于Faraday屏蔽箱并恒温于30 ℃。

采用扫描电镜 (SEM,FEISirion 200) 和X射线能谱分析仪 (EDX) 对腐蚀形貌进行微观局部分析,用3D显微镜 (KeyenceVHX-1000) 对腐蚀形貌进行宏观观察。

3 结果与讨论

3.1 铝合金基体腐蚀形貌

图1a中的SEM像显示,抛光后的AA6063试样表面存在少量夹杂物 (第二相),EDX显示其主要成分为Al,Fe,Si和Mg等。样品浸泡24 h后,表面出现大量点蚀,见图1c。可见,AA6063合金主要发生以第二相组织为核心的点蚀,且随着点蚀的发展,部分第二相组织溶解脱落形成较大的蚀坑。

图1   AA6063铝合金在3%NaCl溶液中浸泡24 h前后的SEM像和浸泡前的EDX结果

Fig.1   SEM images of AA6063 aluminium alloy before (a) and after (b) immersion in 3%NaCl solution for 24 h and EDX result of point A in Fig.1a (c)

3.2 不同转化膜的耐蚀性

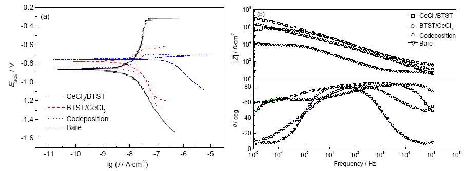
3.2.1 电化学测试 为了评价铈盐/BTST硅氧烷顺序沉积法制备的复合转化膜以及单独的铈盐或BTST转化膜的防护性能,对比了这几种转化膜电极在3%NaCl溶液中浸泡初期 (约为0.5 h) 时的极化曲线和EIS谱,见图2

图2   不同转化膜下铝合金电极在3%NaCl溶液中浸泡初期的极化曲线和EIS谱

Fig.2   Polarization curves (a) and EIS plots (b) of Al alloy electrode with different conversion films in 3%NaCl solution at the early immersion stage

从极化曲线 (图2a) 来看,铝合金基体阳极钝化区很窄,在开路电位以上很快进入活性溶解区,腐蚀电流密度较大 (2.356×10-7 A/cm2)。而铈盐转化膜通过抑制阴极过程将腐蚀电流密度降低了约一个数量级,但点蚀电位并没有显著提高。相比铈盐转化膜,BTST转化膜不仅降低了Al基体的腐蚀电流,同时也提高了其点蚀电位 (-0.582 V),说明短时间内BTST硅氧烷的防护性能较铈盐好。相对铝合金基体来说,铈盐/硅氧烷复合转化膜的防护性能最好,腐蚀电流密度下降了近两个数量级,点蚀电位也从-0.76 V上升到-0.34 V。图2b的Bode图中,空白、铈盐转化膜、BTST转化膜和铈盐/BTST复合转化膜下铝合金电极在0.01 Hz下的阻抗模值分别为1.42×104,4.01×105,3.50×106和2.16×107 Ω,可见复合转化膜使铝合金基体极化电阻提高了近1000倍。从相位图来看,复合转化膜的相位角在较宽频率范围内接近于-90°,说明此时的复合转化膜相当于一个电阻值很大、电容值很小的隔离层[23],该隔离层能够有效地将铝合金基体和腐蚀介质阻隔,抑制了铝合金基体的腐蚀。

3.2.2 电化学噪声 电化学噪声可以反映金属材料的自发腐蚀过程,可以在无扰状态下监测铝合金表面亚稳态点蚀的萌发、生长或消亡过程,为此本文测量了不同转化膜工艺对铝合金电极在3%NaCl溶液中的电流与电位噪声谱的影响,见图3

图3   铈盐/硅氧烷顺序浸渍法制备的复合膜及单独的铈盐和硅氧烷膜层下铝合金在3%NaCl 溶液中浸泡不同时间时的电化学噪声(ECN)

Fig.3   ECN of Al alloy (a, b), cerium conversion film (c, d), and cerium /siloxane complex film (e, f) after immersion in 3%NaCl solution for 1 h (a, c, e, g) and 168 h (b, d, f, h)

图3a显示,裸露的铝合金在浸泡初期就出现了强烈的电流噪声波动,且幅度较大 (约260 nA),说明Cl-侵蚀使电极表面出现了强烈的亚稳态蚀点形核/再修复过程。浸泡168 h后,噪声峰数量明显下降,但噪声峰变宽,说明单个亚稳态点蚀的生长周期增加,逐步向稳态点蚀转变。此外,由于Al表面钝化膜受到Cl-侵蚀,也促进了Al基体的全面溶解[31],如图3b中电流噪声峰的基线电流由初期的0增至28 nA,即表明均匀腐蚀的增强。当然,铝合金基体的溶解,所形成的阴极保护效应可抑制亚稳态点蚀萌发,这也会造成噪声峰频率和幅值下降。当铝合金经过铈盐处理以后,电流噪声峰幅值 (约40 nA) 较裸铝合金的明显减小,如图3c,但浸泡168 h以后,基线电流由原先的0附近增加到150 nA,且噪声峰的强度明显提高 (图3d),说明铈盐转化膜的耐久性有限,只能在浸泡初期促进亚稳态点蚀的再钝化,不能抑制亚稳态点蚀向稳态点蚀的转变。单独硅氧烷膜下的铝合金在浸泡初期基本没有亚稳态点蚀发生,如图3e,但168 h后出现了约40 nA的电流噪声峰,且电位噪声峰显著变宽 (图3f),说明局部转化膜已遭到破坏,导致局部腐蚀抑制能力下降。当Al基体表面存在铈盐/硅氧烷复合转化膜时,由于铈盐/硅氧烷复合转化膜的良好保护作用,电极在浸泡初期几乎没有噪声峰出现,基线电流很小 (<1.3 nA)(图3g)。只有当浸泡超过168 h后,才出现少数幅值小于3 nA的极弱电流噪声峰,且峰寿命很短 (<1 s),说明复合转化膜能很好地抑制铝合金基体表面的亚稳态点蚀形核与长大过程 (图3h)。

根据图3中的电化学噪声谱,分别统计了不同转化膜体系的噪声电阻 (Rn) 和亚稳态点蚀形核速率[6],见图4Rn越大,表明电极抗点蚀能力越强。浸泡初期,铈盐、硅氧烷、铈盐/硅氧烷复合转化膜电极的Rn分别为0.175,1.65和60.68 MΩ·cm2,较铝合金基体的24.83 kΩ∙cm2有显著提高,随着浸泡时间的延长,尽管各电极的Rn均有所下降,但复合膜的Rn依然高于10 MΩ·cm2,表明其抗点蚀能力是最强的。图4b显示了铝合金电极表面亚稳态蚀点形核速率随时间的变化趋势。在浸泡初期,铝合金基体的亚稳态点蚀形核速率高达0.053 s-1,40 h后即下降到0.01 s-1以下,这是因为亚稳态点蚀初期,合金表面的夹杂物或第二相组织浓度较高,在Cl-的侵蚀下,导致较大的点蚀形核速率;随着合金表面AlFeSi等活性点的逐步消耗,形核速率很快下降。此外,铈盐转化膜电极的形核速率较裸电极低,是因为铈盐沉积膜能优先覆盖阴极性第二相位点,但30 h后其形核速率比裸电极高,说明前者抑制亚稳态形核速率能力有限。硅氧烷转化膜电极初期的形核速率为0.016 s-1,30 h后即降为0.006 s-1并趋于稳定,可能是由于腐蚀产物逐步填充转化膜内的缺陷[28],增强了硅氧烷膜的物理隔离能力。而铈盐/硅氧烷复合转化膜电极在前70 h内的形核速率基本为0,这主要是因为铈盐与硅氧烷的协同作用:一方面,铈盐填充增强了硅氧烷膜的致密性,使Cl-难以抵达基体;另一方面,即使Cl-渗透到基体,由于CeO2覆盖在阴极相上,抑制了阴极相对亚稳态点蚀的促进作用。

图4   不同转化膜下铝合金电极在3%NaCl溶液中的噪声电阻及形核速率随时间的变化曲线

Fig.4   Evolutions of noise resistance (a) and nucleation rate (b) for Al alloy electrode with different conversion films in 3%NaCl solution

3.2.3 形貌分析 图5为经不同表面处理后的铝合金试样在3%NaCl溶液中浸泡168 h后的光学显微形貌。图5a显示铝合金基体在3%NaCl溶液中浸泡168 h后出现大量蚀坑,表明铝合金在NaCl溶液中极易发生点蚀。单独铈盐或硅氧烷处理对铝合金点蚀有一定的抑制效果,但长期浸泡仍会发生点蚀,说明这两种转化膜的耐久性均不高。图5c中的蚀点明显少于图5b的,表明BTST硅氧烷转化膜的防护效果较铈盐好。作为对比,铈盐/BTST复合转化膜试样在浸泡168 h后,表面依然光亮,观察不到明显蚀孔,表明先铈盐后BTST的顺序浸渍法制备的复合膜防护性能远强于单独铈盐或硅氧烷转化膜。

图5   不同转化膜下的铝合金在3%NaCl溶液中浸泡168 h后的腐蚀形貌

Fig.5   Corrosion morphologies of Al alloy samples without (a) and with cerium salt (b), siloxane (c) and cerium salt/siloxane complex (d) conversion films after immersed in 3%NaCl solution for 168 h

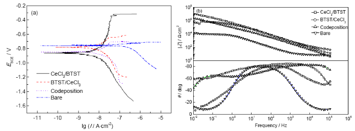
3.3 制备工艺对复合转化膜的影响

3.3.1 电化学测试 为了比较浸渍顺序对复合转化膜耐蚀性的影响,将先铈盐后硅氧烷顺序沉积法制备的复合膜与传统掺杂法和先硅氧烷后铈盐顺序沉积法进行了对比,见图6。从图6a可看出,铈盐/硅氧烷复合膜修饰的铝合金电极腐蚀电流密度 (1.32×10-8 A/cm2) 较掺杂法 (1.66×10-8 A/cm2) 和硅氧烷/铈盐膜 (1.44×10-8 A/cm2) 修饰的小,且点蚀电位 (-0.34 V)较掺杂法 (-0.70 V) 和硅氧烷/铈盐 (-0.65 V) 的高,说明铈盐/硅氧烷顺序沉积法制备的复合转化膜耐蚀性明显优于另外两种方法制备的复合转化膜。图6b中0.01 Hz下铈盐/硅氧烷顺序沉积膜的阻抗模值较掺杂法和硅氧烷/铈盐法的高10倍,同样表明浸渍顺序对复合转化膜的耐蚀性是十分关键的。

图6   不同复合转化膜工艺对铝合金在3%NaCl溶液中的极化曲线和阻抗谱的影响

Fig.6   Polarization curves (a) and EIS polts (b) of Al alloy samples with complex conversion films prepared by different processes in 3%NaCl solution at the early immersion stage

3.3.2 腐蚀形貌分析 图7显示了3种方法制备的转化膜下铝合金在3%NaCl溶液中浸泡312 h后的腐蚀形貌。图7b中先硅氧烷后铈盐的转化膜表面有明显的蚀坑出现,掺杂法制备的复合膜表面也有大量的腐蚀产物出现,而采用先铈盐再硅氧烷的顺序沉积法制备的复合膜表面依然光亮,基本没有点蚀出现,说明本文采用的新方法制备的复合转化膜耐蚀性显著优于传统方法。

图7   不同复合转化膜下的铝合金在3%NaCl溶液中浸泡312 h后的腐蚀形貌

Fig.7   Corrosion morphologies of Al alloy samples without (a) and with siloxane then cerium salt complex film (b), siloxane/cerium salt co-deposition film (c) and cerium salt then siloxane complex film (d) after immersed in 3%NaCl solution for 312 h

3.4 复合转换膜的耐蚀机理

前面的测试表明,铈盐/硅氧烷顺序沉积法制备的复合转化膜能显著提高铝合金的耐蚀能力,具有较好的协同性。这种铈盐/硅氧烷双层膜结构,与传统的铈盐掺杂硅氧烷和先硅氧烷再浸涂铈盐的复合转化膜制备方法相比,尽管三者都是利用了铈盐的缓蚀作用和硅氧烷的物理隔绝作用,但作用机制不同。采用硅氧烷/铈盐自组装法制备的复合膜层,铈盐主要以Ce(OH)4和CeO2的形式存在于膜表面硅烷分子间隙处[29],由于Ce盐沉积依赖于Al溶解造成的局部高pH值环境,如果铝合金表面被硅烷膜覆盖,则其沉积过程会受到限制。此外,CeO2沉积层作为外膜易破裂、脱落,故其耐蚀性有限。

在铈盐掺杂硅氧烷 (共沉积) 复合转化膜工艺中,铝合金试样在转化膜溶液中浸泡时间很短,常为10~200 s[23,27,32,33],铈盐是以Ce3+或Ce4+的状态存在于硅氧烷凝胶中[34],固化以后便存储于硅氧烷的网状结构中,如图8a[35]所示。当侵蚀性离子到达基体引发点蚀时,阳极区发生Al的溶解,阴极区发生O的还原产生OH-,随着阴极区pH值的升高,Ce离子移动到阴极区与OH-反应形成难溶的氢氧化物,沉积在阴极相上抑制点蚀的进一步发生[34]。尽管已经形成了难溶性的氧化物或氢氧化物,Ce离子仍具有一定的扩散能力,既可以扩散到基体表面进而沉积在阴极相上,也可以渗出硅氧烷膜进入腐蚀介质,造成Ce离子损失。Palanivel等[36]在研究中发现铈盐掺杂的硅烷膜转化膜在3.5%NaCl溶液中浸泡48 h后,溶液中可以检测到Ce3+,且Ce的溶出量与溶液的pH值正相关,而溶液中的Na+会进入硅氧烷膜填充Ce离子留下的空缺。在这种移动过程中,溶胀作用会使硅氧烷膜起泡、产生裂纹、溶胀脱落[37]等。而在本文提出的新方法中,铈盐先以氢氧化物形式沉积在阴极相上 (图8b),不会因为Ce离子移动而破坏硅氧层,即使电解液渗透到基体,由阴极相引发的点蚀也会被底层的CeO2所抑制。由于铈盐转化膜前期主要以Ce(OH)3[38]和Ce(OH)4[39]等形式存在,大量存在的—OH有利于增强Al与Si—OH的结合。同时CeO2能降低膜层的导电性[35],进一步提升了复合膜的扩散阻力。由于外层硅氧烷的包裹作用,铈氧化物和氢氧化物颗粒镶嵌在硅烷网络内部,避免了剥离和溶出损失,一旦点蚀萌发导致局部pH值上升,即能诱导Ce3+在蚀点内二次沉积,促进亚稳态蚀点的修复。

图8   铈盐/硅氧烷复合转化膜示意图

Fig.8   Schematic diagrams of cerium salt/siloxane complex film through the process of co-deposition (a) and step-by-step deposition of cerium salt and siloxane (b)

4 结论

(1) 针对AA6063铝合金,表面单独铈盐或硅氧烷转化膜的耐蚀性有限,在3%NaCl溶液中浸泡初期即有亚稳态点蚀发生,浸泡168 h后表面有大的点蚀坑出现。铈盐/硅氧烷复合膜对铝合金有很好的防护作用,其膜层抗点蚀能力远高于单独的铈盐沉积膜或硅氧烷转化膜,即使在3%NaCl溶液中浸泡168 h后表面也无蚀坑出现。

(2) 铈盐与硅氧烷的沉积顺序对复合转化膜的耐蚀性有很大影响。先铈盐后硅氧烷的顺序沉积工艺,能增强复合转化膜的物理隔绝性和疏水性,降低了膜层的导电性和电解液的渗透性,其防护能力强于先硅氧烷后铈盐的顺序沉积工艺。

The authors have declared that no competing interests exist.


/