中国腐蚀与防护学报  2015 , 35 (4): 353-358 https://doi.org/10.11902/1005.4537.2014.155

阴极极化和应力耦合作用下X80钢氢渗透行为研究

郭望, 赵卫民, 张体明, 杜天海, 王勇

中国石油大学 (华东) 机电工程学院 青岛 266580

Hydrogen Permeation Behavior of X80 Steel under Cathodic Polarization and Stress

GUO Wang, ZHAO Weimin, ZHANG Timing, DU Tianhai, WANG Yong

School of Mechanical and Electrical Engineering, China University of Petroleum, Qingdao 266580, China

中图分类号:  TG174.3

通讯作者:  通讯作者:赵卫民,E-mail:zhaowm@upc.edu.cn,研究方向为材料失效与表面改性

接受日期:  2014-08-14

网络出版日期:  --

版权声明:  2015 《中国腐蚀与防护学报》编辑部 版权所有 2014, 中国腐蚀与防护学报编辑部。使用时,请务必标明出处。

基金资助:  山东省自然科学基金项目 (ZR2013EEL023) 和中央高校基本科研业务费专项资金项目 (14CX05020A) 资助

作者简介:

郭望,女,1990年生,硕士生

展开

摘要

采用改进的D-S双电解池与慢应变速率拉伸实验机相结合,研究了阴极保护和应力耦合作用下X80钢在3.5%NaCl+1 g/L Na2S溶液中的氢渗透行为。通过变电位氢渗透实验,分析极化电位对氢渗透行为的影响并得到析氢敏感电位。进行不同应力水平下的恒电位极化氢渗透实验,采用Laplace方程分析氢渗透曲线,计算相关的氢渗透参数。结果表明,在各个应力水平下,随阴极极化电位负移,稳态渗氢电流密度增大,析氢敏感电位负于-1000 mV (vs SCE)。在弹性应变时,氢陷阱密度变小,氢扩散系数增大;进入塑性变形阶段后由于位错产生,氢陷阱密度逐渐升高,氢扩散系数降低;吸附氢浓度与扩散系数呈现相反的变化规律。

关键词: 阴极极化 ; X80钢 ; 氢渗透 ; 应力

Abstract

Hydrogen permeation behavior of X80 steel under applied cathodic polarization and stress in 3.5%NaCl+1 g/L Na2S solution was studied by means of a modified D-S cell combined with slow strain rate tensile machine. The effect of polarization potential on hydrogen permeation behavior and the hydrogen evolution potential were acquired by hydrogen permeation test with changing polarization potential. Besides, potentiostatic polarization hydrogen permeation test under different stress levels was performed and then the hydrogen permeation parameters were calculated by the Laplace equation. Results show that under various stress levels, the steady-state hydrogen permeation current density increased as the cathodic polarization potential decreased, and the hydrogen evolution potential was lower than -1000 mV (vs SCE). In the stage of elastic strain, hydrogen trap density decreased and the apparent hydrogen diffusion coefficient increased. After entering the stage of plastic deformation, hydrogen trap density increased and the hydrogen diffusion coefficient gradually decreased due to the generation of dislocation. The concentration of adsorbed hydrogen shows a change tendency opposite to the hydrogen diffusivities.

Keywords: cathodic polarization ; X80 steel ; hydrogen permeation ; stress

0

PDF (1425KB) 元数据 多维度评价 相关文章 收藏文章

本文引用格式 导出 EndNote Ris Bibtex

郭望, 赵卫民, 张体明, 杜天海, 王勇. 阴极极化和应力耦合作用下X80钢氢渗透行为研究[J]. , 2015, 35(4): 353-358 https://doi.org/10.11902/1005.4537.2014.155

GUO Wang, ZHAO Weimin, ZHANG Timing, DU Tianhai, WANG Yong. Hydrogen Permeation Behavior of X80 Steel under Cathodic Polarization and Stress[J]. 中国腐蚀与防护学报, 2015, 35(4): 353-358 https://doi.org/10.11902/1005.4537.2014.155

1 前言

随着陆地资源和能源的枯竭,海洋开发前景显得极其广阔。目前,海洋油气资源开发已经成为能源生产的重要组成部分[1]。X80钢作为高强韧性的钢材在深海设施中得到了广泛的应用,然而海洋苛刻而复杂的腐蚀环境一直阻碍深海油气资源的开发。为此,国内外广泛采用阴极保护技术以减缓海洋用钢的腐蚀速率[2]。而如果保护电位过负则容易引起阴极析氢,这些析出的H不断向金属中聚集、渗透,最终诱导钢结构发生氢脆。与此同时,海洋钢结构在工作中不仅要承受载荷,还受到各种复杂的力学因素作用,而应力的变化会对H在钢中的富集和传输行为造成影响。氢渗透是材料发生氢脆失效的前提条件,而目前国内外学者大多针对高强度钢在海水中的氢脆失效行为进行研究[3,4],尚缺乏X80钢在阴极保护和应力耦合作用下氢渗透行为的相关报道。本文选取X80管线钢,采用改进的D-S双电解池和慢应变速率拉伸实验机相结合,通过进行不同应力水平和阴极极化条件下的氢渗透实验,研究外加电位和应力耦合作用下X80钢中的氢渗透行为,解析应力对阴极保护所致氢渗透行为的影响机制。

2 实验方法

实验材料为轧制态的X80微合金高强管线钢板材,屈服强度和抗拉强度分别为585和715 MPa,其化学成分 (质量分数,%) 为:C 0.04,Mn 1.77,Si 0.12,Mo 0.025,Cr 0.268,Cu 0.225,Ti 0.021,Fe 余量。图1为对应的显微组织。分析可知,X80钢显微组织主要为形状不规则的准多边形铁素体 (QPF) 和针状铁素体 (AF) 组成。晶界和铁素体上弥散分布有强度高而韧性低的岛状M-A组元[5]

图1   X80钢的显微组织

Fig.1   SEM image of X80 steel

氢渗透实验中所用的试样均沿板材轧制方向取样,利用线切割技术将氢渗透试样加工为160 mm×30 mm×1 mm的初始试样。用砂纸逐级打磨至3000#,并保证试样的最终厚度为0.5 mm。

氢渗透测试参考标准《ASTM G148-97用电子化学技术对金属中氢摄取、渗透和传递率评定规程》[6],并采用改进的H型双电解池 (图2),结合WDML-5型慢速率拉伸试验机进行。金属试样的阳极侧表面镀镍后加载至规定应力,其值分别为:60%Rp0.2 (弹性变形阶段),90%Rp0.2(弹塑性变形阶段) 和110%Rp0.2(塑性变形阶段)。实验时,X80钢试样作为共用的工作电极将阴极池和阳极池分开,两侧介质分别为3.5%NaCl+1 g/L Na2S溶液和0.1 mol/L的NaOH溶液。阴极池通过外加恒电位阴极极化产生H;阳极池一侧通过外加+300 mV (Hg/HgO) 的极化电位将扩散至阳极池的H氧化,同时测得渗氢电流。实验过程中,介质温度控制在 (30±0.5) ℃,并采用N2驱除溶液当中的溶解氧。

图2   氢渗透实验装置

Fig.2   Equipment for hydrogen permeation test

极化曲线测试作为研究X80钢在介质中析氢敏感电位的辅助方法,选用M398型电化学测试系统进行。采用三电极体系,参比电极为饱和甘汞电极,辅助电极为Pt片电极,相对于开路电位的扫描电位范围为0~-0.7 V (SCE),扫描速率为0.166 mV/s。

3 结果与讨论

3.1 阴极极化曲线

为了大致确定X80钢在3.5%NaCl+1 g/L Na2S溶液中的析氢电位,进行了X80钢在上述介质中的阴极极化曲线测试,并根据阴极极化曲线的拐点判断基体-介质体系的析氢电位[7],从而为变电位下的氢渗透实验提供选择电位范围的依据,结果如图3所示。

从图3中可以明显看出,阴极极化曲线上两个拐点 (B和C点) 将阴极极化过程分为3个阶段:AB段为O的活化控制区,第一个拐点B约为-700 mV (vs SCE),此点阴极反应由O的活化控制变为O的扩散控制;随着极化电位的负移,在-700~-1050 mV (vs SCE) 范围内 (BC段),电流密度增加缓慢,在此阶段阴极反应主要受O的扩散控制;当极化电位继续负移至约-1050 mV (vs SCE) 时,出现第二个拐点C,此点对应的电位是析氢起始电位,此时的阴极反应转为O的扩散和H的去极化两个反应。第二个拐点后的CD段,阴极电流密度增幅较大,阴极反应主要为析氢反应。据此,可初步判断当阴极保护电位负于-1050 mV (vs SCE) 时,会造成阴极过保护而析氢。根据实验结果,将氢渗透实验的阴极极化电位范围确定为-800~-1200 mV (vs SCE)。

图3   X80钢在3.5%NaCl+1 g/L Na2S水溶液中的阴极极化曲线

Fig.3   Cathodic polarization curve of X80 steel in 3.5%NaCl+1 g/L Na2S solution

3.2 阴极极化电位对氢渗透行为的影响

根据极化曲线测试结果确定的电位范围,进行不同加载条件下的变电位极化氢渗透测试,以研究阴极保护电位对X80钢氢渗透行为的影响规律,同时确定不同应力对X80钢起始析氢电位的影响。所得氢渗透电流密度-时间关系曲线如图4所示。可以看出,当极化电位为-800 mV时,由于极化程度较小基本无渗氢电流产生,随着极化电位的逐渐降低,氢渗透电流的稳态值逐渐增加。

图4   不同应力水平下X80钢的变电位氢渗透曲线

Fig.4   Hydrogen permeation current density vs time for X80 steel under 0% (a), 60% (b), 90% (c) and 110% (d) Rp0.2 tensile stress

根据电化学氢渗透的基本原理,阳极侧检测到的阳极电流密度是阴极侧扩散过来的H被电离产生的,1 mol H被电离为H+所产生的电量等于Faraday常数96485 As/mol,故氢扩散通量J可由下式计算得到:

J=iAF

其中,i为实测阳极电流,μA;A为试样暴露面积,cm2F为Faraday常数。iJ成正比,因此实验获得的氢渗透电流密度随时间的变化曲线就直接反映了氢渗透通量的变化过程。即阴极极化电位越负,氢渗透通量越大,且极化电位负于-1000 mV (vs SCE) 时氢渗透通量明显增大,应力对这一规律几乎没有影响。这进一步说明X80钢的析氢敏感电位负于-1000 mV (vs SCE),当阴极保护电位负于-1000 mV (vs SCE) 后就会出现阴极过保护而导致大量氢渗透进入金属内部,使其氢脆敏感性增加。

3.3 应力对X80钢氢渗透行为的影响

3.3.1 氢渗透电流-时间曲线 图5为不同应力水平下X80钢在3.5%NaCl+1 g/L Na2S水溶液中-1100 mV (vs SCE) 阴极极化时的氢渗透电流密度随时间的变化关系曲线。在初始时刻施加了-1100 mV (vs SCE) 阴极极化电位,但是并没有立即出现渗氢电流,而是经过了一段时间后电流才开始显著增加。这是因为H在试样中进行扩散时,由于试样内部存在的氢陷阱捕获H,使得H穿透试样需要一定的时间,待将陷阱填充满之后,试样阴极侧产生的H才随着时间的延续不断扩散至阳极测氢面,使检测到的阳极氧化电流密度逐渐提高[8]。经过一段时间后,到达测氢面的H全部被电离,此时渗氢电流密度达到最大值且保持稳定。

图5   不同应力水平下X80钢在-1100 mV阴极极化时的氢渗透曲线

Fig.5   Hydrogen permeation curves of X80 steel under various levels of tensile stress at -1100 mV

外加应力为60%Rp0.2时的稳态氢渗透电流密度明显高于不加载的,但随应力水平的增大,稳态氢渗透电流密度逐渐降低。

表1   不同应力水平下X80钢在-1100 mV极化时的氢渗透参数

Table1   Hydrogen permeation parameters of X80 steel under various levels of tensile stress at -1100 mV

Stress levelD×10-7 /cm2s-1C0×10-6 molcm-3
0%Rp0.25.0493.246
60%Rp0.27.4812.571
90%Rp0.26.5292.969
110%Rp0.24.3284.522

新窗口打开

3.3.2 应力对氢渗透参数的影响规律 电化学渗氢条件下,可以采用Fick定律描述H在金属中的扩散行为,Fick第二定律通过Laplace变换可得J随时间变化的理论公式[9]

JtJ=2LπDtn=0exp-(2n+1)2L24Dt

式中,Jtt时刻的氢扩散通量;J为稳态时的氢扩散通量;L为试样厚度,cm;D为表观扩散系数,cm2/s;n=0,1,2,3……。

根据式 (1),氢扩散通量的比值可以由实验获得的渗氢电流密度替换,同时式 (2) 取第一项近似,简化得到计算瞬态氢扩散系数的Laplace方程[10],即:

ItI=2LπDtexp-L24Dt

式中,It为瞬态电流密度,μAcm-2I为稳态电流密度,μAcm-2

变换得:

lnItt=const-L24Dt

ln (Itt-1/2)-t-1曲线的斜率可以直接反映出不同应力水平下D的大小,绘制ln (Itt-1/2) 相对于时间t-1的关系曲线,通过线性拟合得到斜率-L2/4D,从而可由渗氢电流瞬态分析曲线得到材料中的氢扩散系数。

根据计算所得的氢扩散系数,结合氢渗透实验所得稳态渗氢电流,通过下式计算不同应力水平下的吸附氢浓度C0

C0=ILDF

计算得到的DC0列于表1。由表1中数据可以看出,应力的大小对X80钢中的氢渗透行为影响十分显著。与不加载条件相比,应力为60%Rp0.2时H在钢中的扩散加快,表观扩散系数增大,表面吸附聚集的氢浓度减小。应力达到钢材屈服强度的90%时,氢扩散速率变慢,吸附氢浓度又随着应力的增大而增加。在110%Rp0.2的塑性应力作用下,H在钢中的扩散系数明显低于不加载条件下,吸附氢浓度明显增加。

3.3.3 氢陷阱密度 金属内部的位错、空位、堆垛层错、夹杂物、晶界等均可作为H的陷阱,氢陷阱与H之间存在较强的作用力,使得H在试样中的实际扩散时间 (tp) 要大于理论所需的扩散时间 (t0),令td为H在扩散过程中的滞后时间,则有:

tp=td+t0

从氢渗透曲线上计算出的氢扩散系数只是H在试样中的表观扩散系数 (记做Da)。Da与晶格扩散系数DL (即H在理想晶体中的理论扩散系数) 之间的关系为:

Da=DL(1-tdtp)

由式 (7) 可以看出,Da低于DL,这种氢扩散过程的延迟与陷阱密度、陷阱结合能有关[11]

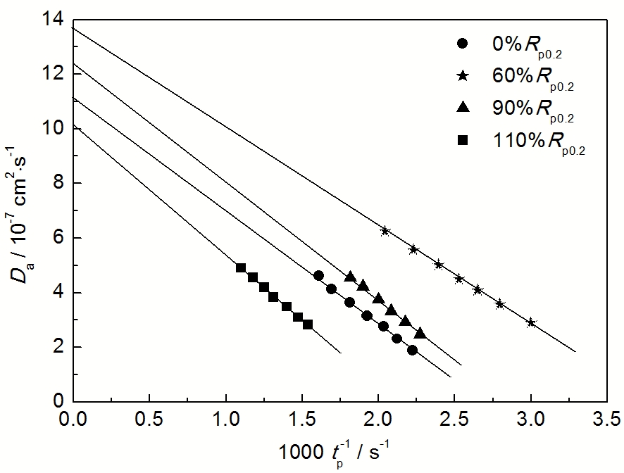
氢渗透过程的初始阶段,金属试样中的H浓度很低,所以此时氢陷阱的可填充密度基本视为不变,可将td视为常数,由式 (7) 可知Da与1/tp呈直线关系。图6为不同应力情况下X80钢的Da-1000/tp关系曲线。图中直线外推后得到y轴上的截距即为DL

图6   不同应力水平下X80钢的Da-1000/tp关系曲线

Fig.6   Da-1000/tp curves of X80 steel under various levels of tensile stress

材料中氢陷阱浓度比较高时,DaDL之间的关系可以表示为:

Da=DL1+3NTC0H

式中,NT为氢陷阱密度;C0H为晶格中初始氢浓度,可以直接用计算获得的吸附氢浓度来替代[12]

变换得到NT的计算式:

NT=CoH3DLDa-1

将不同应力条件下氢渗透实验获得的相关参数代入式 (9),计算不同加载情况下X80钢的氢陷阱密度,所得结果如图7所示。

图7   不同应力水平下X80钢的氢陷阱密度

Fig.7   Hydrogen trap density of X80 steel under various levels of tensile stress

3.3.4 应力对氢渗透参数的影响机理 从图7中可以看出应力应变对氢陷阱密度有着明显影响,在351 MPa (60%Rp0.2) 弹性阶段时,氢陷阱密度相对不加载时降低,仅为4.323×1017 cm-3;在526 MPa (90%Rp0.2) 弹塑性阶段时,氢陷阱密度又开始出现上升趋势;643 MPa (110%Rp0.2) 塑性阶段时,氢陷阱密度大幅度增加,达到13.692×1017 cm-3

氢陷阱密度的变化导致不同应力水平下的氢渗透参数不同。在弹性拉应力 (60%Rp0.2) 作用下,晶格膨胀变大,材料的晶格能增加,H进入晶格的过程是吸热过程,所以随着晶格能的不断增大,导致大量的H进入金属内部,从而使渗氢电流增大[13]。由于氢原子半径很小,通常位于金属中晶体点阵的间隙位置,并以正常扩散机制进行扩散[14],因此当弹性应力作用下晶格中的金属原子偏离平衡位置导致原子间空隙增大时,氢原子更容易通过,所以在弹性应力作用下氢扩散系数增大,阴极侧表面聚集的吸附氢浓度相对减少。

应力达到90%Rp0.2时,试样开始由弹性变形向塑性变形过渡,此时晶格变形有限,试样开始产生一定的塑性变形,塑性变形的发生导致金属内部位错快速增殖,这些新生成的位错充当氢陷阱使试样中的氢陷阱密度增加[15]。H进入试样后一部分H被这些新位错所捕获,不能参与扩散,使得氢扩散速率下降。随着塑性应变量的逐渐增加,当应力水平达到110%Rp0.2时,晶格严重畸变,同时产生大量新的位错,并有位错塞积,这些新生成的位错致使氢陷阱密度增加,对材料中氢渗透的阻碍作用增强。此外,氢陷阱处富集的H使得原子间的相互作用增加,同样影响H的扩散,导致氢扩散系数进一步降低,表面聚集的吸附氢浓度增大。

4 结论

(1) X80钢在弹性变形、弹塑性变形和完全塑性变形状态下时,氢渗透电流密度均随阴极极化电位的负移而升高,析氢敏感电位负于-1000 mV (vs SCE)。

(2) 在-1100 mV (vs SCE) 阴极极化时,X80钢在弹性应力作用下,氢扩散系数Da增大,吸附氢浓度C0减小;当试样出现少量塑性变形后,氢扩散系数Da开始降低,次表面吸附氢浓度C0逐渐增大。

(3) 弹性变形阶段氢陷阱密度相对不加载时降低,晶格能和晶格间隙的增大利于H的扩散;塑性变形阶段产生的位错导致氢陷阱密度随塑性变形的增加而升高,氢扩散速率的降低与位错捕获氢有关。


/