中国腐蚀与防护学报  2015 , 35 (4): 339-344 https://doi.org/10.11902/1005.4537.2014.134

X80管线钢在滨海滩涂土壤模拟液中的电化学腐蚀行为

张宁12, 孙虎元1, 孙立娟1, 刘栓12

1. 中国科学院海洋研究所 中国科学院海洋环境腐蚀与生物污损重点实验室 青岛 266071
2. 中国科学院大学 北京 100049

Electrochemical Corrosion Behavior of X80 Pipeline Steel in a Simulated Soil Solution for Coastal Tidal Flat Wetland

ZHANG Ning12, SUN Huyuan1, SUN Lijuan1, LIU Shuan12

1. Key Laboratory of Marine Environmental Corrosion and Bio-fouling, Institute of Oceanology, Chinese Academy of Sciences,Qingdao 266071, China
2. University of Chinese Academy of Sciences, Beijing 100049, China

中图分类号:  TG174.3

通讯作者:  通讯作者:孙虎元,E-mail:sun@qdio.ac.cn,研究方向为金属腐蚀与防护、智能腐蚀监检测技术

接受日期:  2014-08-19

网络出版日期:  --

版权声明:  2015 《中国腐蚀与防护学报》编辑部 版权所有 2014, 中国腐蚀与防护学报编辑部。使用时,请务必标明出处。

基金资助:  国家自然科学基金项目 (41476067) 资助

作者简介:

张宁,女,1989年生,硕士生

展开

摘要

应用EIS和动电位极化曲线测试技术,结合腐蚀形貌观察,研究了X80管线钢在滨海滩涂土壤模拟液中的电化学腐蚀行为。结果表明,X80管线钢在滨海滩涂土壤模拟液中的腐蚀行为随浸泡时间和腐蚀产物的变化而改变。分析EIS得出,其经历了先缓慢增大,到由于黑色锈层形成而迅速激增,再到锈层脱落而急剧减小的过程,说明X80管线钢的电化学腐蚀行为主要分3个阶段,即初期腐蚀产物膜未形成时腐蚀速率缓慢增大阶段;中期因保护性腐蚀产物膜形成,腐蚀速率迅速减小阶段;后期部分腐蚀产物脱落等因素导致腐蚀速率再次增大阶段。

关键词: X80管线钢 ; 滩涂 ; 土壤模拟液 ; 电化学腐蚀 ; 电化学阻抗谱

Abstract

The electrochemical corrosion behavior of X80 pipeline steel in a simulated soil solution for coastal tidal flat wetland was studied by using the polarization curves, electrochemical impedance spectroscopy and corrosion morphology observation. The results indicated that immersion time and corrosion products had a significant impact on the corrosion behavior of X80 pipeline steel in the simulated soil solution. At the initial immersion, the impedance of X80 increased slowly. With the prolongation of immersion time and the formation of a black rust layer, the impedance of X80 increased sharply. And then, since the spallation of the rust layer, the impedance of X80 rapidly decreased. The electrochemical corrosion behavior of X80 pipeline steel can be divided into three phases. In the initial phase, the corrosion rate increases slowly before the formation of a corrosion product film. In the interim phase, the corrosion rate decreases rapidly due to the formation of a protective corrosion product film. In the later phase, the corrosion rate increases again due to the partial spallation of the protective film and other facts.

Keywords: X80 pipeline steel ; coastal tidal flat wetland ; simulated soil solution ; electrochemical corrosion ; EIS

0

PDF (2994KB) 元数据 多维度评价 相关文章 收藏文章

本文引用格式 导出 EndNote Ris Bibtex

张宁, 孙虎元, 孙立娟, 刘栓. X80管线钢在滨海滩涂土壤模拟液中的电化学腐蚀行为[J]. , 2015, 35(4): 339-344 https://doi.org/10.11902/1005.4537.2014.134

ZHANG Ning, SUN Huyuan, SUN Lijuan, LIU Shuan. Electrochemical Corrosion Behavior of X80 Pipeline Steel in a Simulated Soil Solution for Coastal Tidal Flat Wetland[J]. 中国腐蚀与防护学报, 2015, 35(4): 339-344 https://doi.org/10.11902/1005.4537.2014.134

1 前言

管道运输是长距离输送大量原油、天然气和石油产品等最常用的经济有效的方式,管道的安全性对石油和天然气等的远距离运输有着十分重要的意义。目前,X80管线钢已被工业发达国家普遍列为21世纪天然气输送管道的首选钢级[1,2]。X80管线钢具有较高的强度、良好的低温冲击韧性、焊接性和抗疲劳耐腐蚀性等优异的综合性能,这不仅提高了高压输送的安全性,且在相同输送量的情况下较X70管线钢减少了用钢量,节约大量建设成本。我国西气东输二线工程管道全长9120 km,全部采用X80管线钢,这也标志着X80国产钢轧制和焊接技术已经达到实用阶段[3,4]。然而土壤腐蚀对管线钢的破坏使管道遭受巨大的威胁,在油气输送管道中,土壤腐蚀是导致管道腐蚀穿孔的主要原因,因此也是威胁管道安全运行的重要因素。目前,国内外的主要研究集中于近中性 (NS4) 溶液和高pH值土壤模拟液环境中的应力腐蚀开裂等[5]-[8]。研究[9,10]表明,X80管线钢在NaHCO3溶液中有明显的钝化区间,且HCO3-能拓宽X80管线钢的稳定钝化电位区间,但由于溶液电导率的升高及HCO3-在缺陷点处吸附作用的增强,会导致钝化膜的稳定性和耐蚀性降低。在酸性土壤中的研究[11,12]表明,X80管线钢静态充氢后在鹰潭土壤模拟溶液中会表现出较高的应力腐蚀 (SCC) 敏感性;无充氢状态下短期 (30 d) 浸泡形成的腐蚀产物膜的致密性和平整性较差,主要成分为Fe3O4β-FeOOH,且β-FeOOH的低阻挡性并参与阴极还原过程会导致腐蚀产物膜作用下的X80钢具有更大的腐蚀速率。然而,对X80管线钢在滨海滩涂土壤环境中腐蚀行为的研究报道极少,但是滨海滩涂土壤高盐分、高湿热的严苛条件对埋地管道的腐蚀危害是不容忽视的,并且滨海滩涂作为国家重要的土地后备资源其开发利用价值日益受到重视。本文研究X80管线钢在滨海滩涂土壤中的腐蚀规律和行为,以期望为X80管线钢在滩涂开发工程应用中的现场安全维护及后续的腐蚀监/检测等提供一定的参考依据。

本文以X80管线钢作为腐蚀材料,根据滨海滩涂土壤理化性质配置的土壤模拟液为腐蚀介质,应用动电位极化曲线、电化学阻抗 (EIS) 技术结合腐蚀形貌观察对X80管线钢在滨海滩涂土壤模拟液中的电化学腐蚀行为进行了研究。

2 实验方法

2.1实验材料及腐蚀介质

实验材料为X80管线钢,其化学成分 (质量分数,%) 为:C 0.06,Si 0.08,Mn 1.87,S 0.005,P 0.006,Al 0.03,Nb 0.044,Mo 0.27,Ni 0.16,W 0.01,Cu 0.26,Ti 0.01,Cr 0.03,余量Fe。通过线切割将X80管线钢加工成10 mm×10 mm×1.5 mm和10 mm×10 mm×12.5 mm的试样,前者用于腐蚀形貌观察,后者用于电化学实验。电化学实验时,工作面积为1 cm2,试样的背面点焊引出Cu导线,用环氧树脂将其封在聚四氟乙烯管中,用作工作电极。实验前工作电极用60~800#SiC水磨砂纸逐级打磨,然后用无水乙醇清洗,超声波清洗后吹干待用。

腐蚀介质是依据滨海滩涂土壤理化性质以Cl-为基准配置的土壤模拟溶液,其化学组成 (g/L) 为:NaCl 73.468, MgCl2 17.512,Na2SO4 11.964,NaHCO3 0.551,CaCl2 3.710,KCl 0.053。在土壤模拟液配置过程中遵循两条原则:(1) 电荷守恒、阴阳离子的物质的量守恒,不能完全匹配的取浓度较高的离子为配比标准;(2) 先配平含量少的离子,后匹配含量高的离子[13]

2.2 EIS和动电位极化曲线测试

EIS和动电位极化曲线均采用PARSTAT 2273电化学测量系统。EIS测试采用三电极体系,以X80管线钢为工作电极,Pt电极为辅助电极,饱和甘汞电极 (SCE) 为参比电极,工作电极和参比电极之间采用盐桥连接。测试在X80管线钢的开路电位 (OCP) 下进行,正弦波电位幅值为10 mV,频率扫描范围为100 kHz~10 mHz,采用ZSimpWin软件对测试数据进行数值拟合,解析等效电路的结构和各元件的参数。动电位极化曲线测试扫描速率为0.50 mV/s,扫描范围为±250 mV (vs OCP),分析软件为Powersuite。

2.3 腐蚀形貌观察

用S-3400N型扫描电子显微镜 (SEM) 和 USB Digtal Microscope 100X对试样进行腐蚀前后的形貌观察与记录,其中,SEM的场发射能为5.00 keV。

3 结果与讨论

3.1 EIS测试

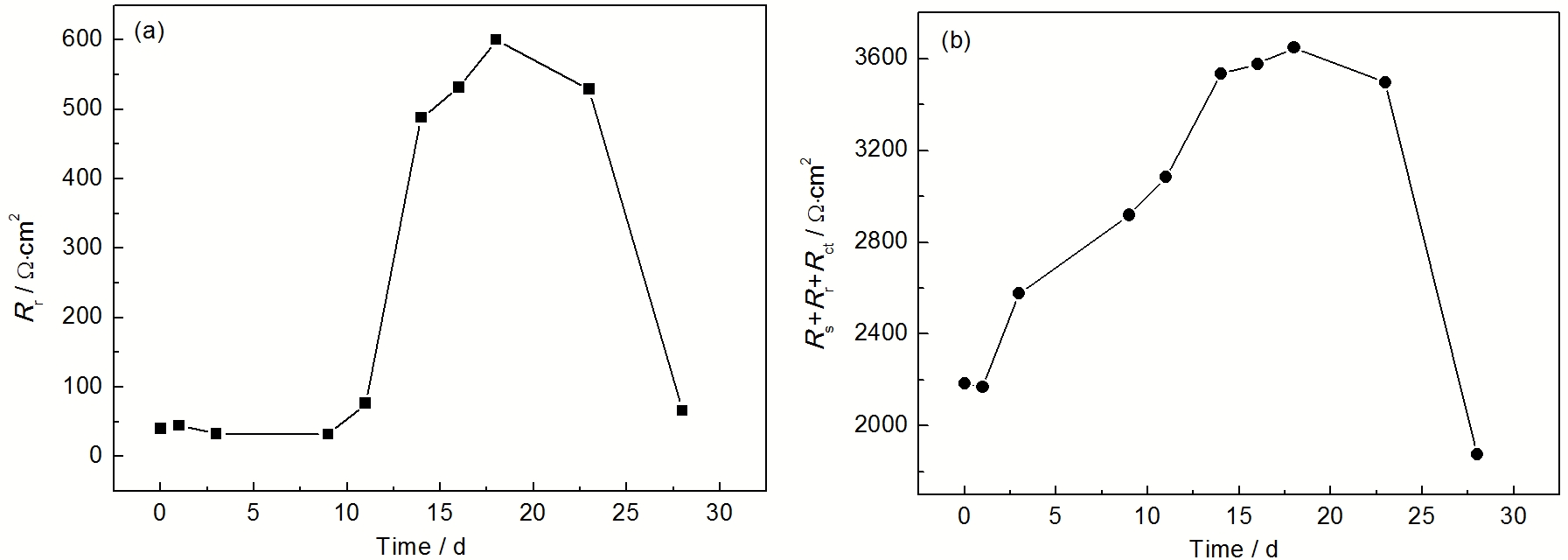
图1所示为X80管线钢在滨海滩涂土壤模拟液中浸泡不同时间的EIS图。在测量的频率范围内阻抗谱显示有两段容抗弧,其中高频区容抗弧的特征不明显,从图中可看出低频区的容抗弧经历了先缓慢增大,从第11 d后迅速增大,在第18 d达到最大,到第28 d又急剧减小的过程,这间接反映出X80管线钢表面锈层从逐渐生成到最后脱落的过程。在借鉴相关文献[14]-[16]的基础上,结合所研究的实际腐蚀体系特点,本实验采用图2 (模型为R(Q(R(QR))) 所示的等效电路来对X80管线钢在滨海滩涂土壤模拟液中的EIS谱进行解析。在等效电路中,Rs为溶液电阻;Qr为电极表面腐蚀产物电容;Rr为电极表面腐蚀产物电阻;Qdl为试样表面的双电层电容;Rct为电荷转移电阻。考虑到X80管线钢表面的粗糙度及不均匀性等,用常相位角元件Q代替纯电容CQ的阻抗为:ZQ=()-n/Yo,其中,Yon为常数,n取值范围为0<n<1,表征弥散效应的程度。经ZSimpWin软件拟合得到的腐蚀电化学参数见表1。将腐蚀产物锈层电阻Rr和总电阻 (Rs+Rr+Rct) 随浸泡时间的变化作图 (见图3),从图3a中可以清晰的看出Rr在前11 d先减小再缓慢增大,浸泡11~14 d由于致密性较好,对钢基体有良好保护作用的内锈层的形成,导致Rr急剧增大,在第18 d达到最大值600 Ωcm2,之后阻抗减小。图3b中总阻抗随浸泡时间的变化趋势与锈层电阻变化相似,总阻抗先缓慢增大,11 d后迅速增大,在第18 d达到最大,随后减小,在第28 d时阻抗最小约1877 Ωcm2,小于浸泡初期总阻抗2185 Ωcm2,间接表明X80管线钢此时的腐蚀速率高于初期。阻抗的变化趋势间接说明了X80管线钢在滨海滩涂土壤模拟液中随浸泡时间延长,腐蚀速率呈先增大后减小再增大的变化趋势,这是由于在浸泡初期,管线钢表面生成的腐蚀产物较少且不均匀,没有将金属表面完全覆盖,对钢基体没有起到基本的保护作用,腐蚀速率会缓慢增大;随着浸泡时间的延长,腐蚀产物增多,腐蚀产物膜厚度增加,但由于这些红褐色的腐蚀产物疏松多孔,致密性较差,对钢基体保护作用较弱,腐蚀速率缓慢减小;随浸泡时间的进一步延长,仔细观察X80管线钢的腐蚀形貌可发现,除了疏松的红褐色锈层外,钢基体上形成了黑色的与基体结合牢固的致密锈层,对钢基体具有良好的保护作用,使得腐蚀速率迅速减小;在反应后期,锈层进一步增厚,最外层的红褐色疏松多孔的锈层大量脱落,腐蚀速率再次增大,甚至大于反应初期。

图1   X80管线钢在滨海滩涂土壤模拟液中浸泡不同时间的EIS谱

Fig.1   Nyquist (a, c) and Bode (b, d) plots of X80 pipeline steel immersed in coastal tidal flats simulated soil solution for 0.02~11 d (a, b) and 14~28 d (c, d)

图2   X80管线钢在滨海滩涂土壤模拟液中的等效电路图

Fig.2   Equivalent circuit model used to fit the experimental impedance data of X80 pipeline steel during immersion in coastal tidal flats simulated soil solution

表1   X80管线钢在滨海滩涂土壤模拟液中浸泡不同时间的EIS拟合参数

Table 1   Fitted electrochemical parameters for X80 pipeline steel after immersion in coastal tidal flats simulated soil solution

Time / dRs / Ωcm2Q1 / μFcm-2n1Rr / Ωcm2Q2 / μFcm-2n2Rct / Ωcm2
0.020.816751.97140.42172.50.71032144
10.865354.75144.88254.70.67102124
31.36555.44132.63265.20.65032541
92.01391.73131.96255.00.64832883
112.439111.2176.80279.20.63783004
142.222211.80.9338488.1257.80.66293042
162.754234.20.9348531.5268.40.67373042
183.589258.40.9336600.0289.00.67913043
233.076304. 50.9402528.9327.10.65002963
284.209413.30.919566.60438.00.73001806

新窗口打开

图3   锈层电阻 (Rr) 和总电阻 (Rs+Rr+Rct) 随浸泡时间的变化

Fig.3   Changes of Rr (a) and (Rs+Rr+Rct) (b) with immersion time for X80 pipeline steel in coastal tidal flats simulated soil solution

3.2 动电位极化曲线

图4为X80管线钢在滨海滩涂土壤模拟液中浸泡初期和形成短期腐蚀产物膜后的动电位极化曲线。极化曲线上没有出现活化-钝化转变区,说明X80管线钢在滨海滩涂土壤模拟液中一直处于活化溶解状态,没有钝态现象[17]。另外,从图中可以看出,当X80管线钢表面有短期腐蚀产物时,其自腐蚀电位明显负移。由拟合参数 (表2) 可知,短期腐蚀产物的存在使X80钢的自腐蚀电位Ecorr降低33 mV,说明X80管线钢的腐蚀倾向性增大。同时,腐蚀产物的存在也使X80钢的自腐蚀电流密度稍有增大。由Faraday第二定律可知,腐蚀电流密度与腐蚀速率之间存在一一对应关系,Icorr越大,腐蚀速率越大。因此,在浸泡末期X80管线钢表面覆盖有短期腐蚀产物后的腐蚀速率大于浸泡初期,这与EIS测量所得的结果一致。

图4   X80管线钢在滨海滩涂土壤模拟液中浸泡不同时间的动电位极化曲线

Fig.4   Tafel polarization curves of X80 pipeline steel in coastal tidal flats simulated soil solution

表2   X80管线钢在滨海滩涂土壤模拟液中浸泡不同时间的动电位极化曲线拟合参数

Table 2   Corrosion parameters of X80 pipeline steel in coastal tidal flats simulated soil solution

Time / dEcorr
V/SCE
Icorr
μAcm-2
βa
mVdec-1
βc
mVdec-1
0.08-0.7372.8756.5-106.4
28-0.7703.9979.3-141.3

新窗口打开

3.3 腐蚀形貌观察

图5展示了X80管线钢的腐蚀宏观和微观形貌。图5a和b分别为试样浸泡11和14 d的放大100倍的腐蚀形貌。可以看出,图5a中试样浸泡11 d后,试样表面较均匀的覆盖着疏松的锈层,基本没有黑色致密的内锈层形成;图5b中试样浸泡14 d后,表面红褐色外锈层的下方已经可以看出黑色内锈层的存在,由此佐证了EIS测试中锈层电阻Rr在浸泡11~14 d之间骤然增大的原因。

图5   X80管线钢在滨海滩涂土壤模拟液中浸泡前后的腐蚀形貌

Fig.5   Surface corrosion micrographs (a, b, d, e) and macrograph (c) of X80 pipeline steel in coastal tidal flats simulated soil solution for 11 d (a), 14 d (b), 16 d (c) and 28 d (d, e)

图5c为试样浸泡16 d后腐蚀产物未脱落的宏观形貌。可以看出,试样并非是均匀的全面腐蚀,这可能是由于试样本身材料加工和打磨不均匀造成的。图5d和e为浸泡28 d后试样放大100倍的腐蚀形貌。可清晰地看出,试样表面的部分腐蚀产物存在脱落现象,且腐蚀产物有明显的分层,靠近金属基体的是黑色锈层,与基体结合牢固,致密性较好;黑色锈层上方是较疏松的红褐色锈层。图6为浸泡前和浸泡28 d后试样的SEM像。X80管线钢浸泡前基体表面平整,没有腐蚀;浸泡28 d后管线钢基体腐蚀产物膜表面不平整,存在着微小的孔洞和微细裂纹等缺陷,这些缺陷可能会增大腐蚀介质的渗入,并且容易造成侵蚀性离子在缺陷内的滞留,由此导致X80管线钢腐蚀速率增大。腐蚀形貌观察佐证了EIS测试的结果。

图6   X80管线钢在滨海滩涂土壤模拟液中浸泡前后的SEM像

Fig.6   SEM photographs of X80 pipeline steel after immersion in coastal tidal flats simulated soil solution for 0 d (a) and 28 d (b)

4 结论

(1) X80管线钢在滨海滩涂土壤模拟液中处于活化溶解状态,没有钝态现象。

(2) 当X80管线钢表面覆盖有短期 (28 d) 腐蚀产物后,部分外锈层的脱落以及内锈层存在微裂缝和孔洞等缺陷造成侵蚀性离子滞留且基体与腐蚀介质反应真实面积增大,导致X80管线钢的腐蚀速率大于浸泡初期的腐蚀速率。

(3) 在滨海滩涂土壤模拟液中X80管线钢的电化学腐蚀行为主要分3个阶段:浸泡初期,X80管线钢表面形成不连续、不致密锈层,对钢基体保护作用不明显;腐蚀中期,钢表面形成了致密性较好且有足够厚度的锈层,对钢基体有较好的保护作用,阻抗明显增大,腐蚀速率减小;腐蚀后期,疏松多孔的外锈层从内锈层脱落,锈层保护性降低,导致腐蚀速率增大。


/