中国腐蚀与防护学报  2015 , 35 (4): 311-316 https://doi.org/10.11902/1005.4537.2014.106

碱性溶液中L-半胱氨酸对AA5052铝合金阳极缓蚀作用研究

王大鹏, 高立新, 张大全

上海电力学院 环境与化学工程学院 上海 200090

Corrosion Inhibition of L-Cysteine for AA5052 Al-alloy Anode in Alkaline Solution

WANG Dapeng, GAO Lixin, ZHANG Daquan

School of Environmental and Chemical Engineering, Shanghai University of Electric Power, Shanghai 200090, China

中图分类号:  TG172.6

通讯作者:  通讯作者:张大全,E-mail:zhangdaquan@shiep.edu.cn,研究方向为金属腐蚀与防护

接受日期:  2014-06-10

网络出版日期:  --

版权声明:  2015 《中国腐蚀与防护学报》编辑部 版权所有 2014, 中国腐蚀与防护学报编辑部。使用时,请务必标明出处。

基金资助:  国家自然科学基金项目 (20776083和20911140272) 资助

作者简介:

王大鹏,男,1989年生,硕士生

展开

摘要

采用析氢法、失重法、极化曲线和电化学阻抗法测试了L-半胱氨酸对4 mol/L NaOH溶液中AA5052铝合金的缓蚀性能。结果表明:L-半胱氨酸的最佳缓蚀浓度为30 mmol/L;L-半胱氨酸在AA5052铝合金表面的吸附作用符合修正Langmuir曲线;L-半胱氨酸缓蚀剂对AA5052铝合金的缓蚀机理为几何覆盖效应,抑制腐蚀反应的阴极过程,属于阴极型缓蚀剂。

关键词: 缓蚀剂 ; AA5052铝合金 ; L-半胱氨酸 ; NaOH溶液

Abstract

The corrosion behavior of AA5052 Al-alloy in 4 mol/L NaOH solution was investigated by means of mass loss method, measurements of hydrogen gas evolution,polarization curve and electrochemical impedance spectroscopy. It was found that the inhibitor of 30 mmol/L L-Cysteine exhibited the optimal corrosion inhibition performance. Moreover, the adsorption of the L-Cysteine on the Al-alloy surface obeyed the amended Langmuir's adsorption isotherm. The polarization curves indicated that the L-Cysteine inhibited the cathodic reaction and acted as a cathodic inhibitor. The inhibition mechanism was dominated by the geometric covering effect.

Keywords: corrosion inhibitor ; AA5052 Al-alloy ; L-Cysteine ; NaOH solution

0

PDF (943KB) 元数据 多维度评价 相关文章 收藏文章

本文引用格式 导出 EndNote Ris Bibtex

王大鹏, 高立新, 张大全. 碱性溶液中L-半胱氨酸对AA5052铝合金阳极缓蚀作用研究[J]. , 2015, 35(4): 311-316 https://doi.org/10.11902/1005.4537.2014.106

WANG Dapeng, GAO Lixin, ZHANG Daquan. Corrosion Inhibition of L-Cysteine for AA5052 Al-alloy Anode in Alkaline Solution[J]. 中国腐蚀与防护学报, 2015, 35(4): 311-316 https://doi.org/10.11902/1005.4537.2014.106

1 前言

铝-空气电池是以Al及其合金为阳极,空气电极为阴极的半燃料电池,具有环境友好、比能量高、充电时间短等优点,其应用日趋广泛。铝-空气电池的电解液一般为中性电解液[1]、无水电解液[2]和碱性电解液[3]。在中性和无水电解液中,Al阳极会发生严重的钝化,使得Al阳极的电极电位升高。在碱性电解液中,Al阳极发生析氢自腐蚀和极化,降低了Al阳极的放电效率[4],这是影响碱性电解液作为铝-空气电池电解液的最主要障碍。目前,人们主要通过两种方法来降低Al在碱性溶液中的腐蚀速率:一是用铝合金来代替Al;二是在电解液中添加缓蚀剂来抑制Al的析氢自腐蚀。针对不同合金元素 (如Mg,Zn,Pb,Sn,Ga,In,Mn,Ti和Bi等)对Al阳极的腐蚀抑制作用已开展了大量研究工作[5]-[7]。结果表明,添加合金元素后,提高了Al阳极析氢过电位,抑制了Al阳极的析氢自腐蚀。此外,Na2SnO3[8]和ZnO[9]等无机缓蚀剂作为碱性电解液添加剂能抑制Al的腐蚀,提高铝-空气电池的放电性能。聚丙烯酸[10]、苦味竹叶提取物[11]、表面活性剂[12]、聚苯胺[13]、二甲胺[14]和羟基色胺[15]等有机缓蚀剂作为碱性电解液添加剂也同样能抑制Al的腐蚀。近年来,氨基酸作为绿色缓蚀剂对Cu等金属的缓蚀作用被广泛研究,而作为碱性电解液添加剂对Al阳极的缓蚀作用却研究较少。

本文研究L-半胱氨酸对4 mol/L NaOH溶液中AA5052铝合金的缓蚀行为。作为5000系铝合金的代表,AA5052铝合金有着广泛的商业应用,它含有多种合金元素,这些合金元素能提高铝合金表面的析氢过电位[16]。本文从析氢实验、失重实验、吸附模型、吸附热力学常数、极化曲线和电化学阻抗等方面讨论其缓蚀作用机理。

2 实验方法

2.1 基材前处理

基材为AA5052铝合金,其化学成分 (质量分数,%) 为:Si 0.06%,Fe 0.27%,Cu 0.1%,Mn 0.06%,Mg 2.46%,Cr 0.19%,Zn 0.1%,余量为Al。试样用400,800,1200和2000号砂纸依次打磨光亮后,用去离子水冲洗干净。用无水乙醇除去油脂,经去离子水冲洗后,在室温下干燥。腐蚀溶液由4 mol/L NaOH溶液和添加浓度分别为0,10,20,30和40 mmol/L的L-半胱氨酸组成。

2.2 测试分析

2.2.1 析氢实验 实验装置由锥形瓶和导气管组成,试样为10 mm×25 mm的AA5052铝合金,溶液在30 ℃的水浴锅中预热0.5 h,之后通过排液法收集H2,每隔5 min读取一次体积。以析氢法计算其平均腐蚀速率:

R=VH2A×t

式中,R为平均腐蚀速率,mL/(cm2min);A为试样的面积,cm2VH2为析氢的体积,mL;t为浸泡的时间,min。

2.2.2 失重实验 将尺寸为25 mm×40 mm×5 mm的试片称重后放入不同腐蚀溶液中,控制温度在20~50 ℃,浸泡0.5 h后取出。用硬橡皮去除腐蚀产物,无水乙醇溶液清洗、丙酮溶液超声洗涤后,电吹风冷风吹干,放入干燥器中干燥0.5 h后称重。

2.2.3 电化学测试 电化学实验使用三电极体系进行测量,用Pt电极作为辅助电极,饱和甘汞电极 (SCE) 作为参比电极。工作电极用环氧树脂密封,露出1 cm×0.5 cm工作面,之后用前述处理方法进行表面处理。电化学测量在Solartron 1287 Electrochemical Interface测试系统上进行。极化曲线的扫描速率为1 mV/min,扫描范围为相对于开路电位±300 mV;电化学阻抗谱测试的频率为10-2~105 Hz,阻抗测量信号幅值为5 mV正弦波。上述测量在浸泡0.5 h后开路电位达到稳定时开始,温度为30 ℃。

3 结果与讨论

3.1 析氢曲线

实验过程中,可观察到铝合金在溶液中极易发生腐蚀,有大量的H2生成。图1为AA5052铝合金在5种腐蚀溶液中析氢量随时间的变化关系。结果表明,铝合金析氢量随着时间的延长而增加,且析氢量和时间成线性关系。当溶液中L-半胱氨酸的浓度为30和40 mmol/L时,两条直线的斜率比较接近,这表明,在这两种浓度条件下L-半胱氨酸的缓蚀效果变化不大。由图1计算AA5052铝合金在5种腐蚀溶液中的腐蚀速率分别为0.8967,0.7320,0.6393,0.592和0.5853 mL/(mincm2)。

图1   AA5052铝合金在不同溶液中析氢量随时间的变化关系

Fig.1   Hydrogen absorption amount vs time for AA5052 aluminum alloy during immersion in different solutions

3.2 腐蚀失重

3.2.1 失重量随时间的变化关系 图2为AA5052铝合金失重量随时间的变化关系。结果表明,随着时间的增加,失重量也增加。随着缓蚀剂浓度的增加,失重量减少。这是由于缓蚀剂吸附在铝合金表面,阻碍了铝合金腐蚀反应的进行,从而起到缓蚀效果。当L-半胱氨酸的浓度从30 mmol/L增加到40 mmol/L时,铝合金的失重量变化并不明显。因此,L-半胱氨酸缓蚀的最佳浓度为30 mmol/L。

图2   AA5052铝合金在不同溶液中失重量随时间的变化关系

Fig.2   Mass loss vs time for AA5052 aluminum alloy during immersion in different solutions

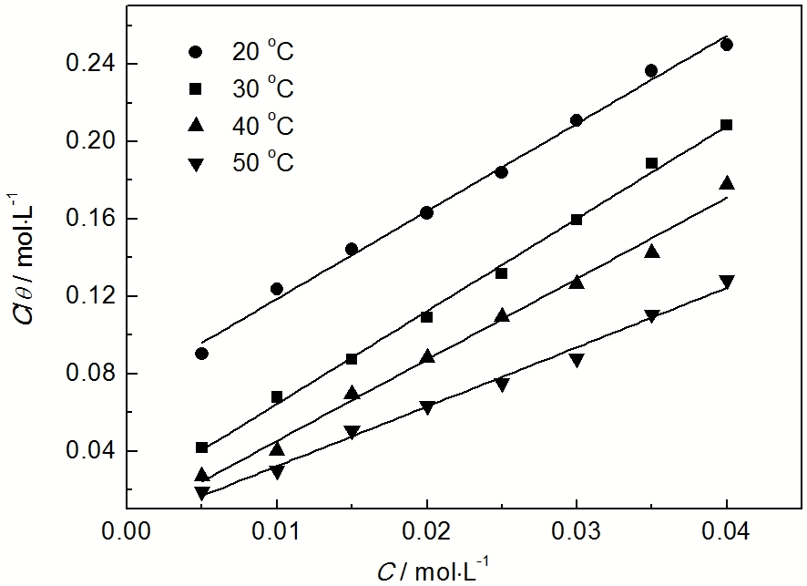
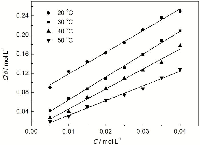
3.2.2 L-半胱氨酸在铝合金表面的吸附模型

图3为AA5052铝合金在不同温度的溶液中的C/θC曲线。表1为拟合C/θC的线性关系所得参数。将吸附等温线进行拟合处理,L-半胱氨酸在铝合金表面的吸附作用符合修正的Langmuir吸附模型[17]

Cθ=HK+HC

式中,C为缓蚀剂浓度,mmol/L;K为吸附平衡常数,L/mg;θ为表面覆盖度,其值近似用缓蚀率数值代替;H为校正因子。

图3   AA5052铝合金在不同温度溶液中的C/θ-C曲线

   

表1   拟合C/θvsC的线性关系所得参数

Table 1   Fitted parameters from C/θvsC curves

新窗口打开

表2   L-半胱氨酸缓蚀剂的吸附热力学参数

Table 2   Thermodynamic parameters of the adsorption of L-Cysteine on AA5052 aluminum alloy in the solutions at different temperatures

Temperature
ΔHθ
kJmol-1
ΔGθ
kJmol-1
ΔSθ
J / molK-1
20-37.2-19.8-58.40
30-42.3-24.4-59.76
40-47.5-28.9-59.42
50-50.2-31.1-59.13

新窗口打开

结果表明,不同温度下,拟合直线的相关系数都接近1,说明在此条件下,L-半胱氨酸在铝合金表面的吸附满足修正的Langmuir吸附曲线,偏离1表明吸附的缓蚀剂分子间存在相互作用力。随温度的升高而增大,说明温度升高对缓蚀剂分子在铝合金表面的吸附有利[18]

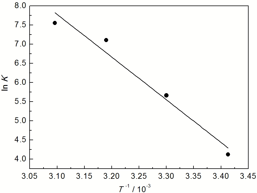
3.2.3 L-半胱氨酸在铝合金表面吸附的热力学性能 图4是拟合实验数据得到的lnK-T-1曲线。吸附热可根据Van't Hoff方程[19]进行计算:

lnK=-ΔHθRT+lnN

式中,ΔHθ为吸附热,kJ/mol;R为气体常数,J/(molK);T为温度,KN为常数。

吸附自由能ΔGθ根据下列方程获得:

K=1Csolutionexp(-ΔGθRT)

式中,Csolution是溶液中水的物质量浓度,一般取55.5 mol/L。

标准吸附熵ΔSθ可由热力学基本方程获得:

ΔSθ=ΔHθ-ΔGθT

表2是根据直线斜率计算得到的热力学常数。由图4拟合的直线线性相关系数为0.9844,表明直线lnK和1/T之间的线性关系良好。由表2可知,ΔGθ的值在-19.8~-31.1 kJ/mol之间,这表明L-半胱氨酸在铝表面吸附是自发的过程。随着溶液中L-半胱氨酸浓度的增大,L-半胱氨酸更容易吸附在Al表面。一般来说,当ΔGθ<0时,且绝对值在20~40 kJ/mol范围内,说明缓蚀剂在金属表面的吸附是物理吸附和化学吸附的混合吸附[20]。因此,L-半胱氨酸在AA5052铝合金表面的吸附为物理吸附和化学吸附共同作用。ΔSθ<0,这表明L-半胱氨酸吸附在Al表面形成了有序的吸附膜。

表3   AA5052铝合金在含有不同浓度L-半胱氨酸的4 mol/L NaOH溶液中极化曲线拟合值

Table 3   Electrochemical polarization parameters of AA5052 aluminum alloy in 4 mol/L NaOH solutions containing different concentrations of L-Cysteine

SolutionC
mmolL-1
-Ecorr
V
-βc
mVdec-1
Icorr
mAcm-2
4 mol/L NaOH01.5607444.7570.02
101.627356.9647.62
201.6261383.6442.87
301.6342381.739.98
401.6375347.5135.74

新窗口打开

图4   ln K-T-1曲线

Fig.4   Linear regression curve of ln K vs T-1

3.3 极化曲线

图5为AA5052铝合金在含有不同浓度L-半胱氨酸溶液中的极化曲线,相应的电化学参数见表3。由图5可知,由于L-半胱氨酸缓蚀剂的加入,阴极的极化曲线受到明显抑制,腐蚀电流密度下降,腐蚀电位负移。随着缓蚀剂浓度的增加,腐蚀电流密度下降程度增大。这说明L-半胱氨酸是一种阴极型缓蚀剂,影响析氢反应。阳极极化曲线有明显极限电流区,这表明阳极属于扩散控制过程。研究[21,22]表明,Al在碱性溶液中的腐蚀过程可分为如下几个步骤:

Al+OH-=Al(OH)ads+e-

Al(OH)ads+OH-=Al(OH)2,ads+e-

Al(OH)2,ads+OH-=Al(OH)3,ads+e-

Al(OH)3,ads+OH-=Al(OH)4,ads-

由上可知,阳极区聚集大量的Al(OH)1~4,ads腐蚀产物,这些离子扩散的速度直接影响到阳极铝的溶解。

图5   AA5052铝合金在含有不同浓度L-半胱氨酸的4 mol/L NaOH溶液中的极化曲线

Fig.5   Polarization curves of AA5052 aluminum alloy in 4 mol/L NaOH solutions containing different concentrations of L-Cysteine

3.4 电化学阻抗

图6为AA5052铝合金在含有不同浓度L-半胱氨酸溶液中的电化学阻抗谱。相应的电化学拟合参数见表4。由图6可知,不加缓蚀剂的溶液中,阻抗谱分为3个部分:高频端的容抗弧;中频端的感抗弧;低频端的容抗弧。而添加缓蚀剂的溶液中,阻抗谱分为4个部分:高频端的容抗弧;中频端的感抗弧;中低频端的容抗弧;低频端的感抗弧。Abdel-Gaber等[12]研究Al的缓蚀行为也发现了阻抗谱被分为3个部分的现象。高频端容抗弧是由于Al-Al+而产生的;中频端的感抗弧是由于中间产物,主要是Al(OH)1,ads,Al(OH)2,ads,Al(OH)3,ads和Al(OH)-4,ads,吸附在铝合金表面产生的;低频端的容抗弧是由于Al+-Al3+而产生的。本实验中,加入L-半胱氨酸缓蚀剂后,阻抗谱由4部分组成,原因是缓蚀剂分子吸附在铝合金表面从而阻碍了H2的及时析出,部分H2吸附在金属表面,产生了低频端的感抗弧。

图6   AA5052铝合金在含不同浓度L-半胱氨酸的4 mol/L NaOH溶液中的电化学阻抗谱

Fig.6   Nyquist plots of AA5052 aluminum alloy in 4 mol/L NaOH solution containing different concentrations of L-Cysteine

图7为采用阻抗谱分析软件ZSimpWin拟合的电化学阻抗谱等效电路。其中,Rs是溶液电阻,(Rct)1为电荷转移电阻 (Al-Al+),CPE1为双电层电容的常相位角原件1,L1为中频端的电感,(Rct)2为电荷转移电阻 (Al+-Al3+),CPE2为双电层电容的常相位角原件2,L2为低频端的电感。图中Part I 是对高频端的容抗弧和中频端的感抗弧进行拟合的等效电路;Part II是对中低频端的容抗弧和低频端的感抗弧进行拟合的等效电路。

图7   等效电路图

Fig.7   Equivalent circuits of electrochemical impe-dance spectra: (a) blank, (b) with inhibitor

表4   AA5052 铝合金在含不同浓度L-半胱氨酸的4 mol/L NaOH溶液中的电化学阻抗拟合值

Table 4   Fitted parameters of Nyquist plots of AA5052 aluminum alloy in 4 mol/L NaOH solutions containing different concentrations of L-Cysteine

C
mmolL-1
Rs
Ωcm2
CPE1
Y0 (Ssncm-2)
n(Rct)1
Ωcm2
L1
Hcm2
R1
Ωcm2
CPE2
Y0 (Ssncm-2)
n(Rct)2
Ωcm2
L2
Hcm2
R2
Ωcm2
00.460.180.910.310.0060.504.0×10-40.950.21------
100.510.090.940.450.0490.552.5×10-40.870.393.1×10-31.433
200.480.070.880.640.0420.582.5×10-40.910.422.8×10-31.971
300.490.090.910.780.0410.642.4×10-40.840.412.9×10-31.843
400.520.070.820.840.0810.722.3×10-40.920.433.9×10-32.152

新窗口打开

从表4可以看出,随着L-半胱氨酸含量的增加, AA5052铝合金的阻抗圆弧半径呈现增大趋势,表明电极的表观极化电阻增大,减缓了铝合金的腐蚀。当L-半胱氨酸的加入量为40 mmol/L时,圆弧半径最大,对AA5052铝合金的腐蚀电化学过程有明显的阻滞作用,这是因为L-半胱氨酸吸附于铝合金表面,从而抑制了铝合金在碱性介质中的腐蚀。

4 结论

(1) L-半胱氨酸对4 mol/L NaOH溶液中AA5052铝合金起良好的缓蚀作用,最佳缓蚀浓度为30 mmol/L。L-半胱氨酸抑制了AA5052铝合金腐蚀反应的阴极过程,属于阴极型缓蚀剂,其缓蚀机理为几何覆盖效应。

(2) L-半胱氨酸在AA5052铝合金表面的吸附为物理吸附和化学吸附共同作用,符合修正的Langmuir吸附模型,且为熵减少的放热过程。


/