中国腐蚀与防护学报  2015 , 35 (2): 144-150 https://doi.org/10.11902/1005.4537.2014.146

沿海钢筋混凝土结构Cl-侵蚀数值模拟方法研究

程旭东1, 孙连方1, 曹志烽1, 朱兴吉2, 赵立新3

1. 中国石油大学 (华东) 储运与建筑工程学院 青岛 266580
2. 韩国高丽大学土木、环境与建筑工程系 首尔 136-701
3. 京鼎工程建设有限公司 北京 100011

Numerical Simulation of Chloride Ion Induced Corrosion of Reinforced Concrete Structures in Marine Environment

CHENG Xudong1, SUN Lianfang1, CAO Zhifeng1, ZHU Xingji2, ZHAO Lixin3

1. College of Pipeline and Civil Engineering in China University of Petroleum, Qingdao 266580, China
2. Department of Civil, Environmental & Architectural Engineering, Korea University, Seoul 136-701, Republic of Korea
3. Jingding Engineering & Construction Co., Ltd., Beijing 100011, China

中图分类号:  TU375

通讯作者:  通讯作者:程旭东,E-mail:chengxd@upc.edu.cn,研究方向为土木工程、油田地面工程结构及LNG储罐

收稿日期: 2014-09-9

网络出版日期:  --

版权声明:  2015 《中国腐蚀与防护学报》编辑部 版权所有 2014, 中国腐蚀与防护学报编辑部。使用时,请务必标明出处。

基金资助:  山东省自然科学基金项目(ZR2012EEL23) 资助

作者简介:

程旭东,男,1971年生,博士,教授

展开

摘要

提出了一种Cl-侵蚀的数值模拟方法。针对结构所处的水下区、潮差区、浪溅区和大气区不同的侵蚀机理,考虑温度、相对湿度、混凝土龄期、结合Cl-及对流影响,参考国内外研究成果建立相应的理论公式;以COMSOL为基础,将温度、湿度和Cl-运输进行多场耦合,开发出数值模拟程序,并对青岛海湾大桥某桥墩的Cl-侵蚀情况进行数值模拟。结果表明:该数值方法可以很好地模拟沿海混凝土结构Cl-侵蚀;钢筋去钝化依次出现在潮差区、浪溅区、水下区和大气区;对本实例,如不做特殊防护,钢筋去钝化最先开始的位置约为高程-2.200 m处 (潮差区中心位置附近),该处钢筋去钝化时间约为25 a。

关键词: 腐蚀数值模拟 ; Cl-侵蚀 ; COMSOL ; 钢筋去钝化 ; 钢筋混凝土桥墩

Abstract

A numerical simulation method of chloride ion induced corrosion was proposed. Based on the different corrosion mechanisms of submersion zone, tidal zone, splash zone and atmosphere zone, a series of theoretical equations were built by taking into account the effect of temperature, humidity, concrete age, chloride ion concentration and seawater convection etc. Further,a numerical simulation program was developed to simulate the service status of a bridge pier of Qingdao bay bridge by means of COMSOL coupled with factors such as temperature, humidity and chloride ion transmission etc. The results show that: (1) the numerical method can simulate chloride ion induced corrosion well; (2) the place where depassivation occurred for the reinforced steel bar corresponds to submersion zone, tidal zone, tidal zone and atmosphere zone in turn; (3) for this living example, the first depassivation of reinforced steel bars for a bare reinforced concrete bridge pier may occur in the place about -2.200 m (near to the center of tidal range zone) after in service for 25 a.

Keywords: numerical simulation of corrosion ; chloride ion erosion ; COMSOL ; depassivation of steel bar ; reinforced concrete bridge pier

0

PDF (1104KB) 元数据 多维度评价 相关文章 收藏文章

本文引用格式 导出 EndNote Ris Bibtex

程旭东, 孙连方, 曹志烽, 朱兴吉, 赵立新. 沿海钢筋混凝土结构Cl-侵蚀数值模拟方法研究[J]. , 2015, 35(2): 144-150 https://doi.org/10.11902/1005.4537.2014.146

CHENG Xudong, SUN Lianfang, CAO Zhifeng, ZHU Xingji, ZHAO Lixin. Numerical Simulation of Chloride Ion Induced Corrosion of Reinforced Concrete Structures in Marine Environment[J]. 中国腐蚀与防护学报, 2015, 35(2): 144-150 https://doi.org/10.11902/1005.4537.2014.146

1 前言

Cl-引起的钢筋锈蚀是导致海洋环境中钢筋混凝土失效的主要原因。Cl-侵入混凝土内部后,会显著降低混凝土pH值并发生去极化作用[1]。钢筋表面Cl-达到临界浓度时,钢筋表面发生去钝化,钝化膜遭到破坏。随着O2的侵入,钢筋将发生锈蚀并产生锈蚀产物,对钢筋周围的混凝土产生锈胀压力,最终导致混凝土保护层开裂。沿海钢筋混凝土结构处于空气和海水共同作用的环境中,由海风引起的混凝土表面Cl-富集和潮汐作用引起的干湿循环将加速钢筋锈蚀[2]。因此,准确掌握沿海地区钢筋混凝土中Cl-变化,对其耐久性研究意义重大。目前,对钢筋混凝土结构Cl-运输的研究主要有经验公式法和实验法。但由于海工混凝土种类繁多,所处的海洋环境千差万别,单纯使用这两种方法已经不能满足实际工程应用。因此,能够考虑多种影响因素的Cl-计算模型亟待开发。然而,由于参数过多,这种计算模型难以用解析方法进行求解,基于多物理场耦合的COMSOL软件,可很好解决相关问题。

根据混凝土结构所处的海洋环境可将其划分为水下区、潮差区、浪溅区和大气区[1]。海洋环境不同,Cl-侵蚀机理和侵蚀程度也有所不同。对于沿海混凝土结构的Cl-侵蚀,目前大部分研究均针对某一特定区域,研究内容主要包括Cl-侵蚀机理[3]、表面Cl-浓度的时间和空间变化[4,5]以及临界Cl-浓度[6]等,综合考虑环境温度、相对湿度、Cl-结合等多种因素对Cl-侵蚀影响的研究较少。鉴于此,本文结合国内外研究成果建立相应的理论公式,基于COMSOL软件,将温度、湿度和Cl-运输过程进行多物理场耦合,开发出数值模拟程序,对同一海域4个区域的Cl-侵蚀情况进行数值模拟并进行对比分析。

2 Cl-侵蚀机理

沿海混凝土结构的Cl-侵蚀是一个复杂的物理化学过程:对于水下区,混凝土处于饱和状态,可采用Fick第二定律将Cl-侵蚀描述为纯扩散过程。对于潮差区、浪溅区和大气区,混凝土处于非饱和状态,Cl-侵蚀是扩散和对流等多种复杂机制耦合作用的结果,需要对Fick第二定律进行修正来描述Cl-在非饱和混凝土中的侵蚀过程。本文考虑温度传递过程、水分运输过程和Cl-运输过程,针对不同物理过程建立相应的偏微分方程,并通过求解偏微分方程组实现不同物理过程之间的耦合。

2.1 基本方程

2.1.1 温度传递方程 将质量守恒定律与Fourier传热定律相结合,得到温度传递方程[7]

ρccqTt=(λT)

在一般结构计算中,通常将混凝土比热容和导热系数视为常数,本文根据规范[8]取值。

式中,ρc为混凝土密度,2450 kg/m3cq为混凝土比热容,960 J/(molK);λ为混凝土导热系数,2.94 W/(mK);T为混凝土内部温度,K。

上式适用于水下区、潮差区、浪溅区和大气区4个区域。

2.1.2 水分运输方程 将混凝土中的水分运输写成Fick第二定律形式,得到水分运输方程[7]

θwt=θwhht=(Dhh)

式中,Dh为水分扩散系数,m2/s;θw为孔隙水体积分数;h为孔隙相对湿度。

考虑孔隙相对湿度、温度和龄期的影响,Dh可按下式计算[9]

Dh=Dh,refg1(h)g2(T)g3(te)

式中,Dh,ref为标准水分扩散系数 (标准温度Tref=276 K,标准暴露时间tref=28 d,标准孔隙相对湿度href=1),3×10-10 m2/s;g1(h),g2(T) 和g3(te) 分别为孔隙相对湿度、温度和龄期修正系数:

g1(h)=α0+1-α01+[(1-h)/(1-hc)]n

g2(T)=expUhR1Tref-1T

g3(te)=0.3+13te

式中,α0为经验常数,0.05;hc为临界孔隙相对湿度,0.75;nDh衰减因子,10;Uh为水分扩散过程的活化能,25000 J/mol;R为气体常数;Tref为标准温度,276 K;te为混凝土龄期,180 d。

为计算式 (2),还需确定∂θw/∂h项,本文采用BSB吸附等温线[10]确定θwh的关系:

θw=CkVmh(1-kh)[1+(C-1)kh]

式中,CkVm为与混凝土温度、水灰比和龄期相关的参数[11]

式 (2) 适用于潮差区、浪溅区和大气区。对于水下区,混凝土处于饱水状态,不考虑水分运输过程。

2.1.3 Cl-运输方程 Cl-在非饱和混凝土中的运输过程考虑扩散、对流及Cl-的物理吸附和化学结合作用,本文采用化学结合Cl-Ccb表示Cl-的物理吸附和化学结合过程。Cl-运输方程如下[12]

θwCct=(θwDcCc)+DwθwCc-Ccbt

Ccbt=kr(αCc-Ccb)

式中,Cc为自由Cl-浓度,kg/m3Ccb为结合Cl-浓度,kg/m3Dc为有效Cl-扩散系数,m2/s;kr为Cl-结合速率系数,1×10-5 s-1α为由回归分析得到的经验常数,0.7。式 (8) 右边第一项为Cl-扩散项,第二项为对流项,最后一项为Cl-结合项。

考虑温度、龄期和孔隙相对湿度的影响[13]Dc可按下式计算:

Dc=Dc,reff1Tf2tf3h

式中,Dc,ref为标准Cl-扩散系数 (Tref =276 K,tref =28 d,href =1),3×10-11 m2/s[14]f1(T),f2(t) 和f3(h) 分别为温度、龄期和孔隙相对湿度修正系数:

f1(T)=expUcR1Tref-1T

f2(t)=(tref/t)m

f3(h)=1+(1-h)4(1-hc)4-1

式中,Uc为Cl-扩散过程的活化能,44600 J/mol;tref为标准暴露时间,28 d;t为实际暴露时间,d;m为龄期衰退因子,0.15。

式 (8) 适用于潮差区、浪溅区和大气区。对于水下区,混凝土处于饱水状态,只需考虑Cl-的扩散和结合过程,则式 (8) 可写为:

Cct=(DcCc)-Ccbt

2.2 数值求解

目前,国内外对沿海混凝土结构Cl-侵蚀的数值模拟研究较少。对于偏微分方程的耦合过程,国内外学者多采用有限元法和有限差分法,将偏微分方程由强式转化为弱式,需要编写相应程序,步骤复杂且通用性较差。本文基于COMSOL软件的物理开发器工具,可直接自定义偏微分方程和边界条件,无需将强式转化为弱式,并能固化形成自己的物理场模块;在建模、计算和可视化等方面,可直接利用软件提供的前处理工具、求解器工具和后处理工具,步骤简单且通用性较好。

ti时刻温度、相对湿度和Cl-浓度分布的求解步骤如下:

(1) 考虑ti-1时刻的初始温度,由式 (1) 确定ti时刻的温度分布;

(2) 结合步骤 (1) ti时刻的温度分布,考虑ti-1时刻初始相对湿度,由式 (2) 确定ti时刻的相对湿度分布;

(3) 结合步骤 (1) 和 (2) ti时刻的温度分布和相对湿度分布,考虑ti-1时刻的初始Cl-浓度,由式 (8) 或式 (14) 确定ti时刻的Cl-浓度分布。

对于水下区,不考虑水分运输过程,因而不存在步骤 (2)。

3 数值实例

本文以胶州湾青岛海湾大桥某桥墩为实例,模拟设计使用年限 (100 a) 内4个区域的Cl-侵蚀情况。桥墩结构长期处于空气和海水共同作用的环境下,是整个桥梁结构中Cl-侵蚀最严重的区域,也是沿海混凝土结构耐久性设计中的重点防护区域[2],因此对桥墩进行Cl-侵蚀研究具有重要意义。对于本实例,本文研究桥墩不同区域的Cl-侵蚀情况,并确定钢筋去钝化最先开始的位置及相应的去钝化时间。

3.1 工程概况

胶州湾及其附近属暖温带季风气候区,海上年平均气温为12.2 ℃,平均最高气温为25.5 ℃,平均最低气温为-1.2 ℃。海水平均最高温度为21.5 ℃,平均最低温度为7.5 ℃。据1898年以来百余年气象资料考察,海上年平均相对湿度为73%,最高相对湿度为89%,最低相对湿度为68%[15]。潮汐为典型的半日潮,平均高潮位为3.85 m,平均低潮位为1.08 m,最高潮位为5.36 m,最低潮位为0.70 m。

青岛海湾大桥横跨胶州湾海域,需重点考虑其耐久性。按照规范[16]规定,掩护条件取无掩护条件,划分类别取按港口设计水位。根据胶州湾水位及波浪状况将结构划分为4个区域,见表1。

3.2 数值建模

青岛海湾大桥桥墩多为花篮形,本文为计算方便采用矩形。桥墩横截面示意图见图1a。其中,钢筋保护层厚度为75 mm,钢筋直径为40 mm。为减少计算时间,本文采用二维建模,见图1b。

为模拟桥墩不同区域的Cl-侵蚀情况,根据表1将桥墩划分为4个区域,见图1b。

3.3 初始条件和边界条件

对于本实例,桥墩内部初始温度为T0,初始孔隙相对湿度为h0,初始自由Cl-浓度为Cc0,参数取值见表2。

Bastidas-Arteaga等[14]采用通量形式定义边界条件。本文为简化起见,直接将环境温度、相对湿度和表面Cl-浓度作为边界条件。

表1   混凝土区域划分

Table 1   Concrete zone partition

Atmosphere zoneSplash zoneTidal zoneSubmersion zone
Above design high water level plus
(η0 +1.0 m)
Between the atmosphere zone lower bound and design high water level minus η0Between the splash zone lower bound and design low water level minus 1.0 mUnder the tidal zone
Above 5.91 m-0.99~5.91 m-0.99~-3.16 mUnder -3.16 m

新窗口打开

假设环境温度与环境相对湿度均随时间呈正弦变化,且二者变化同步:

图1   桥墩截面示意图和桥墩区域划分示意图

Fig.1   Bridge pier cross-section diagram (mm) (a) and bridge pier zone partition diagram (m) (b)

T(t)=Tmax+Tmin2+Tmax-Tmin2sin(ωt)

h2=hmax+hmin2+hmax-hmin2sin(ωt)

式中,TmaxTmin分别为环境温度的最大和最小值,K;hmaxhmin分别为环境相对湿度的最大和最小值。

温度边界条件:海水温度和海上温度随时间的变化规律均符合式 (15)。海水最高和最低温度分别为Tmax1Tmin1,海上最高和最低温度分别为Tmax2Tmin2,参数取值见表2。

湿度边界条件:海上环境相对湿度随时间的变化规律符合式 (16)。最大、最小环境相对湿度分别为hmax1hmin1,参数取值见表2。

Cl-浓度边界条件:根据国内外研究,表面Cl-浓度与许多因素相关,包括时间、风速、距离海岸的距离和高程等。本文为简化起见,仅考虑Cl-浓度随高程的变化。对于水下区和大气区,假设表面Cl-浓度为常数,分别为Cc1Cc2,根据文献[17]取值,见表2。对于潮差区和浪溅区,姚昌建[18]和Kim等[19]通过实验研究发现:同一时刻、不同高程,表面Cl-浓度自下而上先增加后减小。其中前者假设表面Cl-浓度随高程呈正态分布,后者假设随高程呈对数正态分布。本文基于后者假设,并根据已有实验结果,通过MATLAB拟合出干湿交替区表面Cl-浓度随高程变化的关系式:

Cc=24.50.5623+12π0.8152

exp-ln(x+3.16)-0.70521.328521x

式中,x为桥墩干湿交替区的高程,m;Cc为表面Cl-浓度,kg/m3

3.4 结果分析

对于水下区和大气区,本文分别对两个区域中间位置 (高程-3.660和6.410 m处) 进行分析;对于潮差区和浪溅区,假设表面Cl-浓度随高程呈对数正态分布,相同时刻、相同深度、不同高度的Cl-浓度各不相同。

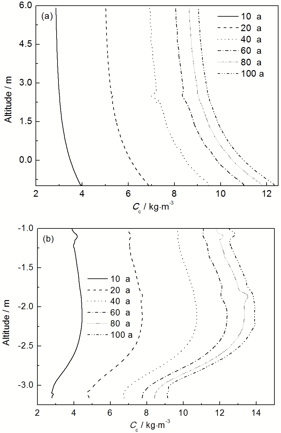
图2为潮差区和浪溅区不同时刻钢筋外表面处沿高度方向的Cl-浓度变化曲线。可以看出,对于潮差区,钢筋外表面的Cl-浓度随高程变化规律为先增加后减小,在高程约-2.200 m (潮差区中心位置附近) 达到峰值。对于浪溅区,钢筋外表面的Cl-浓度随高程增加持续减小,即在高程-0.990 m处为最大值。

表2   数值计算相关参数

Table 2   Numerical calculation related parameters

Parameter nameValue
Initial temperature T0/K285.35
Initial pore relative humidity h00.73
Initial free chloride ion concentration Cc0 / kgm-30
The highest temperature in submersion zone Tmax1/K294.65
The lowest temperature in submersion zone Tmin1/K280.65
The highest temperature in other zones Tmax2/K298.65
The lowest temperature in other zones Tmin2/K271.95
The maximum environmental relative humidity hmax10.89
The minimum environmental relative humidity hmin10.68
The surface concentration of chloride ion in submersion zone Cc1 / kgm-321.94
The surface concentration of chloride ion in atmosphere zone Cc2 / kgm-35.47

新窗口打开

对于干湿交替区 (潮差区和浪溅区),Cl-侵蚀主要受表层的对流作用和深层的扩散作用影响,以对流作用为主。由于表层混凝土接触海水的时间随高程的增加而减小,混凝土内部孔隙饱和度将随高程的增大而减小,加之表面蒸发,导致表层混凝土的孔隙负压增大,对海水的吸附能力增强,一旦接触海水,Cl-随孔隙液的渗透速率加快,即对流现象明显,Cl-浓度较大 (如潮差区高程-2.200 m处)。当高程达到一定高度后,混凝土表面接触Cl-的时间大大减小,造成进入混凝土的Cl-总量减小,如浪溅区Cl-浓度随高程的增大呈减小趋势。

图2   潮差区和浪溅区不同时刻钢筋外表面处沿高度方向的Cl-浓度变化曲线

Fig.2   Changing curves of chloride ion concentration on the rebar surface with height in tidal zone (a) and splash zone (b)

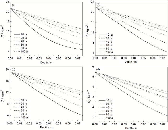
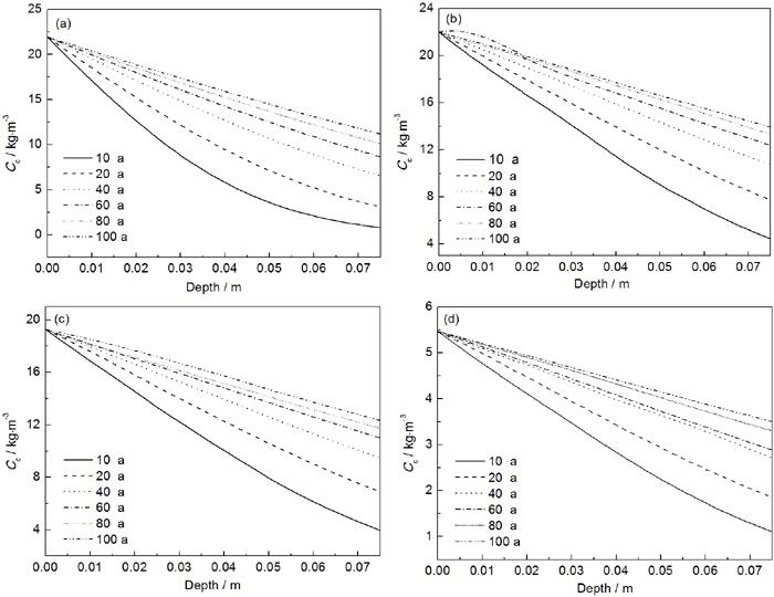
图3为4个区域侵蚀最严重的位置不同时刻沿深度方向的Cl-浓度变化曲线。可以看出,任意时刻,4个区域的Cl-浓度随着深度的增加均近似呈线性递减。侵蚀时间越长,钢筋外表面处的Cl-浓度越接近表面Cl-浓度。

临界Cl-浓度的数值大小直接决定了钢筋混凝土的使用寿命,影响临界Cl-浓度的影响因素十分复杂,包括水泥用量、环境条件、氧气供应量、混凝土实际碱度情况等。Alonso等[20]通过极化法测定的临界自由Cl-浓度为0.364% (质量分数),即8.918 kg/m3。本文采用该值作为临界自由Cl-浓度。

图4为4个区域侵蚀最严重位置处钢筋外表面的Cl-浓度随时间的变化曲线。可以看出,4个区域达到临界Cl-浓度 (8.918 kg/m3) 的时间分别为潮差区最短,约为25 a,浪溅区次之,约为45 a,然后是水下区,约为65 a,大气区则远大于100 a。

对于水下区,混凝土处于饱和状态,Cl-侵蚀为纯扩散过程。对于干/湿交替区 (潮差区和浪溅区),混凝土处于非饱和状态,虽然表面Cl-浓度略低于水下区,但Cl-侵蚀过程包括对流和扩散等多种复杂机制,且对流为主导因素,因而该区域的Cl-侵蚀速率大于水下区。对于大气区,混凝土表面一般不受海水浸润,表面Cl-大多由弥漫在空气中的盐雾积累而成,由于盐雾中的Cl-浓度远低于海水中的Cl-浓度,因而大气区Cl-侵蚀速率远低于其他区域。

图3   4个区域不同时刻沿深度方向的Cl-浓度变化曲线

Fig.3   Changing curves of chloride ion concentration with depth in submersion zone (-3.660 m) (a), tidal zone (-2.200 m) (b), splash zone (-0.990 m) (c) and atmosphere zone (6.410 m) (d)

图4   4个区域钢筋外表面的Cl-浓度随时间的变化曲线

Fig.4   Chloride ion concentrations on the rebar surface as a function of time in four zones

综上所述,对于本实例,潮差区高程-2.200 m处钢筋最先开始去钝化,该部位应作为混凝土结构耐久性设计和维护的关键部位。

4 结论

(1) 采用一种考虑了温度、湿度和Cl-运输的多物理场耦合的数值模拟方法,可以更准确的模拟沿海钢筋混凝土结构的Cl-侵蚀过程,可应用于沿海实际工程的抗腐蚀设计中。

(2) 对于沿海钢筋混凝土结构的不同区域,钢筋去钝化出现的先后顺序依次是潮差区、浪溅区、水下区和大气区。

(3) 对于本实例,如不做特殊防护,钢筋去钝化最先开始的位置约为潮差区高程-2.200 m处 (潮差区中心位置附近),钢筋去钝化时间约为25 a,该部位应作为混凝土结构耐久性设计和维护的关键部位。


参考文献

[1] Ji Y S.

Performance and Prediction of Reinforced Concrete in Full Service Life due to Corrosion Damage

[M]. Beijing: China Railway Publishing House, 2011

[本文引用: 2]     

(姬永生. 钢筋混凝土的全寿命过程与预计[M]. 北京: 中国铁道出版社, 2011)

[本文引用: 2]     

[2] Wang J L.

Some problems of life cycle for long-span prestressed concrete box girder bridge

[D]. Changsha: Hunan University, 2010

[本文引用: 2]     

(王金磊. 大跨度梁式桥的全寿命若干问题研究 [D]. 长沙: 湖南大学, 2010)

[本文引用: 2]     

[3] Ji Y S, Yuan Y S.

Transport process of chloride in concrete under wet and dry cycles

[J]. Ind. Constr., 2006, 36(12): 16

[本文引用: 1]     

(姬永生, 袁迎曙.

干湿循环作用下氯离子在混凝土中的侵蚀过程分析

[J]. 工业建筑, 2006, 36(12): 16)

[本文引用: 1]     

[4] Zhang Y, Yao C J, Jin W L.

Chloride ion distribution in concrete of dry-wet cycling region along elevated altitude

[J]. J. Zhejiang Univ.(Eng. Sci.), 2009, 43(2): 360

[本文引用: 1]     

(张奕, 姚昌建, 金伟良.

干湿交替区域混凝土中氯离子分布随高程的变化规律

[J]. 浙江大学学报 (工学版), 2009, 43(2): 360)

[本文引用: 1]     

[5] Zhao Y X, Gao X J, Xu C, et al.

Concrete surface chloride ion concentration varying with seasons in marine environment

[J]. J. Zhejiang Univ.(Eng. Sci.), 2009, 43(11): 2120

[本文引用: 1]     

(赵羽习, 高祥杰, 许晨.

海港码头混凝土表面氯离子质量分数随季节变化规律

[J]. 浙江大学学报 (工学版), 2009, 43(11): 2120)

[本文引用: 1]     

[6] Song X B, Kong Q M, Liu X L, et al.

Experimental study on chloride threshold levels in OPC

[J]. China Civil Eng. J., 2007, 40(11): 59

[本文引用: 1]     

(宋晓冰, 孔启明, 刘西拉.

普通硅酸盐水泥混凝土中临界氯离子浓度的试验研究

[J]. 土木工程学报, 2007, 40(11): 59)

[本文引用: 1]     

[7] Bazant Z P, Najjar L J.

Nonlinear water diffusion in nonsaturated concrete

[J]. Mater. Struct., 1972, 5(1): 3

[本文引用: 2]     

[8] SL191-2008, Design code for hydraulic concrete structures[S]

[本文引用: 1]     

(SL191-2008, 水工混凝土结构设计规范[S])

[本文引用: 1]     

[9] Saetta A V, Schrefler B A, Vitaliani R V.

The carbonation of concrete and the mechanism of moisture, heat and carbon dioxide flow through porous materials

[J]. Cem. Concr. Res., 1993, 23(4): 761

[本文引用: 1]     

[10] Brunauer S, Skalny J, Bodor E E.

Adsorption on nonporous solids

[J]. J. Colloid Interface Sci., 1969, 30(4): 546

[本文引用: 1]     

[11] Xi Y, Bazant Z P, Jennings H M.

Moisture diffusion in cementitious materials adsorption isotherms

[J]. Adv. Cem. Based Mater., 1994, 1(6): 248

[本文引用: 1]     

[12] Bear J, Bachmat Y.

Introduction to Modeling of Transport Phenomena in Porous Media

[M]. Dordrecth: Kluwer Academic Publishers, 1991

[本文引用: 1]     

[13] Martin-Perez B, Pantazopoulou S J, Thomas M D A.

Numerical solution of mass transport equations in concrete structures

[J]. Comput. Struct., 2001, 79(13): 1251

[本文引用: 1]     

[14] Bastidas-Arteaga E, Chateauneuf A, Sánchez-Silva M, et al.

A comprehensive probabilistic model of chloride ingress in unsaturated concrete

[J]. Eng. Struct., 2011, 33(3): 720

[本文引用: 2]     

[15] Meng F C, Yang X B, Wang Q, et al.

Design of northern waters of China's first super large cross sea bridge of Qingdao bay bridge

[A]. Bridge the Eighteen National Conference Proceed [C]. Tianjin, 2008: 77

[本文引用: 1]     

(孟凡超, 杨晓滨, 王麒.

我国北方海域第一座超大型跨海大桥-青岛海湾大桥设计

[A]. 第十八届全国桥梁学术会议论文集 [C]. 天津, 2008: 77)

[本文引用: 1]     

[16] JTJ275-2000, Corrosion prevention technical specifications for concrete structures of marine harbor engineering[S]

[本文引用: 1]     

(JTJ275-2000, 海港工程混凝土结构防腐蚀技术规范[S])

[本文引用: 1]     

[17] BE95-1347/R15-2000, General guidelines for durability design redesign[S]

[本文引用: 1]     

[18] Yao C J.

Penetration laws of chloride ions in concrete infrastructures at coastal ports

[D]. Hangzhou: Zhejiang University, 2007

[本文引用: 1]     

(姚昌建. 沿海码头混凝土设施受氯离子侵蚀的规律研究 [D]. 杭州: 浙江大学, 2007)

[本文引用: 1]     

[19] Vu K A T, Stewart M G.

Structural reliability of concrete bridges including improved chloride-induced corrosion models

[J]. Struct. Safety, 2000, 22(4): 313

[本文引用: 1]     

[20] Alonso C, Castellote M, Andrade C.

Chloride threshold dependence of pitting potential of reinforcements

[J]. Electrochim. Acta, 2002, 47(21): 3469

[本文引用: 1]     

/