腐蚀科学与防护技术  2015 , 27 (4): 327-332 https://doi.org/10.11903/1002.6495.2014.309

16MnR低合金钢在KOH溶液中的腐蚀行为

曾齐12, 孙洁3, 姜胜利2, 孙杰1

1. 沈阳理工大学 环境与化学工程学院 沈阳 110159
2. 中国科学院金属研究所 中国科学院核用结构材料与安全性评价重点实验室 沈阳 110016
3. 中国石油化工集团公司发展计划部 北京 100728

Corrosion Behavior of 16MnR Low Alloy Steel in KOH Solutions

ZENG Qi12, SUN Jie3, JIANG Shengli2, SUN Jie1

1. School of Environmental and Chemical Engineering, Shengyang Ligong University, Shengyang 110159, China
2. Key Laboratory of Nuclear Materials and Safety Assessment, Institute of Metal Research, Chinese Academy of Sciences, Shenyang 110016, China
3. Development and Planning Division, SINOPEC, Beijing 100728, China

中图分类号:  TG174.4

通讯作者:  通讯作者:姜胜利,E-mail:sljiang@imr.ac.cn,研究方向为金属材料的腐蚀与防护

接受日期:  2014-10-15

网络出版日期:  --

版权声明:  2015 《腐蚀科学与防护技术》编辑部 版权所有 2014, 腐蚀科学与防护技术编辑部。使用时,请务必标明出处。

作者简介:

曾齐,男,1989年生,硕士生

展开

摘要

研究了16MnR低合金钢在不同浓度KOH溶液中的腐蚀行为和腐蚀速率,并利用电化学测试对16MnR钢腐蚀过程中的电化学行为特征进行了研究。结果表明:随着KOH浓度的增大,16MnR钢的自腐蚀电位和极化电阻变低,自腐蚀电流密度变大,维钝电流密度也有所增加,腐蚀速率变大;电化学阻抗谱分析所得结论与线性极化和动电位极化的结果相一致。扫描电镜观察表明:在浸泡腐蚀实验中,16MnR钢表面的腐蚀程度随KOH浓度的增大而越来越严重,能谱分析表明该腐蚀产物主要为Fe2O3

关键词: 16MnR低合金钢 ; KOH ; 极化曲线 ; 电化学阻抗谱 ; 腐蚀

Abstract

Corrosion behavior of 16MnR low alloy steel in KOH solutions was studied by means of electrochemical measurement. Results show that with the increase of KOH concentration, the corrosion potential and polarization resistance (Rp) decreased, while the corrosion current density and the passivation current density increased, thus the corrosion rate of 16MnR increased correspondingly. After immersion test the steel exhibited surface morphology with severe corrosion characters and its main corrosion product was Fe2O3.

Keywords: 16MnR low alloy steel ; KOH ; polarization curve ; EIS ; corrosion

0

PDF (1744KB) 元数据 多维度评价 相关文章 收藏文章

本文引用格式 导出 EndNote Ris Bibtex

曾齐, 孙洁, 姜胜利, 孙杰. 16MnR低合金钢在KOH溶液中的腐蚀行为[J]. , 2015, 27(4): 327-332 https://doi.org/10.11903/1002.6495.2014.309

ZENG Qi, SUN Jie, JIANG Shengli, SUN Jie. Corrosion Behavior of 16MnR Low Alloy Steel in KOH Solutions[J]. 腐蚀科学与防护技术, 2015, 27(4): 327-332 https://doi.org/10.11903/1002.6495.2014.309

1 前言

作为一种重要的化工原料,高锰酸钾 (KMnO4) 在工业中有着重要的应用[1,2]。目前,我国已成为KMnO4第一生产大国,全球的总产能达到8.4×104 t/a,而我国年产能就达到6×104 t左右[3,4]。在KMnO4的工业生产中通常以MnO2,KOH和O2为原料先制得K2MnO4,再通过进一步氧化后得到KMnO4

在生产过程中,生产设备及使用管道大多都采用合金钢作为材质。作为我国自主研制的一种典型的压力容器专用钢,在工业中16MnR低合金钢因其具有较好的韧性、经济的价格、较高的强度以及良好的焊接性能而得到了广泛应用[5,6]

在满足作为压力容器材质的前提下,16MnR钢反应釜等生产设备及管道在KOH等碱性环境下的腐蚀状况,就成为一个必须要考虑的问题。一般认为16MnR钢在较低浓度的碱性溶液中的耐腐蚀性能是可以接受的,但KMnO4生产过程中涉及的KOH溶液浓度范围较大,在MnO2氧化为K2MnO4的反应中KOH的浓度高达50%,16MnR钢反应釜等生产设备及管道的腐蚀问题可能就会影响到生产作业的安全性。因此,有必要对不同高浓度KOH溶液中16MnR钢低合金钢的腐蚀行为进行研究,尤其是评估其对高浓度KOH的耐蚀性,对不同工序的选材及其防护对策的制定提供指导。

图1   16MnR低合金钢在不同浓度KOH溶液中的自腐蚀电位曲线

Fig.1   Corrosion potentials of 16MnR in KOH solution with different concentrations

2 实验方法

本实验材料选用16MnR低合金钢,实验前,将材料加工成10 mm×10 mm×10 mm的立方形试样,留出一个面作为工作面,相对的一面焊接铜导线,非工作面及焊接面用环氧树脂固封。实验前将工作面用240#到800#的水砂纸逐级打磨,去离子水冲洗后再用无水乙醇脱脂,最后用吹风机吹干,放入干燥器中备用。

实验在室温下进行,电化学测试在Gamry Interface 1000型电化学工作站上进行。采用三电极体系,待测试样为工作电极,辅助电极为大面积铂片电极,参比电极为Hg/HgO电极 (本文中未作特殊说明的电位均为相对于Hg/HgO电极的电位值)。在1%,5%,10%,20%和50% 5种不同浓度的KOH溶液中进行稳定自腐蚀电位Eoc(1 h)、线性极化曲线 (±0.02 V(vsEoc),0.166 mV/s)、电化学阻抗 (10-2~105 Hz,(vsEoc)) 和动电位极化曲线(-0.5~1.2 V(vsEoc)0.5 mV/s) 等测试。各组实验条件下的平行试样均为3~5个,以保证实验数据的可靠性。

采用XL-30FEG扫描电镜 (SEM) 观察浸泡后试样的表面形貌,用SEM自带的能谱分析仪(EDS) 分析腐蚀产物的主要成分。

图2   16MnR低合金钢在不同浓度KOH溶液中的线性极化曲线

Fig.2   Polarization resistance curves of 16MnR in KOH solution with different concentrations

3 结果与讨论

3.1 自腐蚀电位、线性极化电阻和动电位极化曲线分析

16MnR低合金钢在不同KOH浓度下测得的自腐蚀电位Ecorr曲线如图1所示。图1的Ecorr-t曲线可说明金属表面钝化膜的形成和破裂过程,若Ecorr随时间向正方向 (即钝化方向) 变化,说明金属表面正经历钝化过程;若Ecorr随时间向负方向 (即活化方向) 变化,说明金属表面钝化膜受到破坏[7]。由图1可知,在浓度为1%~20%的KOH溶液中,自腐蚀电位随时间略有正移,说明16MnR低合金钢表面所形成膜的钝化效果逐渐变好;而在50%的KOH溶液中,自腐蚀电位随时间负移,说明16MnR低合金钢表面膜的保护效果逐渐变差,且随着腐蚀的进行,表面粗糙度增加导致表面积增大,进一步促进了腐蚀。在同一腐蚀体系中,电极电位越负的金属越容易被腐蚀[8]。16MnR低合金钢在不同浓度KOH溶液中最后稳定的Ecorr分别为:-0.1894 V(1%),-0.2532 V(5%),-0.3187 V(10%),-0.3407 V(20%)和-0.6445 V(50%)。由此可知,16MnR低合金钢的Ecorr随KOH浓度的升高而相应负移,说明在实验范围内,KOH浓度的升高使16MnR钢的腐蚀倾向增大了。

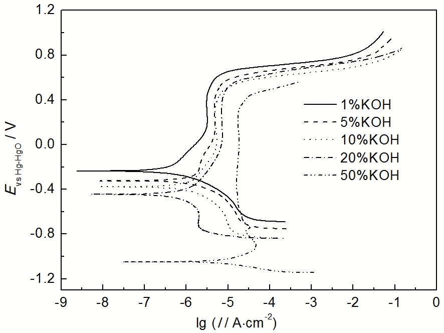
图2和3分别是16MnR低合金钢的在不同高浓度的KOH中的线性极化曲线和动电位极化曲线。从图2可知,线性极化曲线的斜率随KOH浓度的升高逐渐下降,即极化电阻Rp值下降;图3中可看出,在KOH浓度为1%~20%之间内16MnR低合金钢的极化曲线比较相似,阳极极化曲线都出现了钝化区。以20%KOH为例,从自腐蚀电位-0.446 V到-0.007 V,16MnR处于活性溶解区[9]。极化电位从-0.446 V升高到-0.348 V,腐蚀电流密度Icorr (以绝对值表示) 随电位的升高而迅速增大,表明此时电极过程受电子转移的电化学活化控制[10];从-0.348~-0.007 V,腐蚀电流密度随电位的升高而增大, 但极化曲线的斜率越来越大,这时电极过程的阻力增大;在溶解区内,发生Fe→Fe(OH)2→Fe(OH)3的反应。当极化电位达到钝化电位-0.007 V时,16MnR低合金钢的阳极溶解电流密度达到最大值,即致钝电流密度Imax,为7.179 μAcm-2;从-0.007~0.421 V,16MnR低合金钢进入钝化区,吸附在电极表面的Fe(OH)3会逐渐转化为γ-Fe2O3,形成一层钝化膜。当电位进一步升高时,曲线出现了转折点,腐蚀电流密度迅速增加,钝化膜被击破,出现了点蚀,局部活性点构成了大阴极小阳极的腐蚀原电池,加速了16MnR低合金钢的腐蚀[10]。在50%KOH的高浓度下,当极化电位为-0.911 V时就进入了钝化区,钝化区间较宽,但维钝电流密度较高;直至电位升高到0.282 V时,钝化膜才被击破。

图3   16MnR低合金钢在不同浓度KOH溶液中的动电位极化曲线

Fig.3   Potentiodynamic polarization curves for 16MnR in KOH solution with different concentrations

表1是16MnR低合金钢在不同KOH浓度下线性极化曲线和动电位极化曲线拟合参数,包括极化电阻Rp、自腐蚀电位Ecorr、自腐蚀电流密度Icorr、致钝电流密度Imax和钝化电位Ep。由线性极化曲线得到的极化电阻Rp可看出,KOH浓度越高,Rp值越小,这同样说明KOH浓度的增大加快了16MnR钢的腐蚀速率;动电位极化曲线的拟合结果表明,随着KOH浓度的升高,自腐蚀电位有所降低,而自腐蚀电流密度则相应增加,致钝电流密度也有所增加,也说明腐蚀速率逐渐增大。

表1   16MnR低合金钢在不同浓度KOH溶液中的极化曲线拟合参数

Table 1   Polarization parameters for 16MnR steel in KOH with different concentrations

CKOHRp / kΩcm2Ecorr vs Hg-HgO / VIcorr / μAcm-2Imax / μAcm-2Ep vs Hg-HgO / V
1%153.5-0.2370.4673.2210.162
5%120.2-0.3251.994.8080.085
10%85.07-0.3783.134.988-0.002
20%55.48-0.4465.407.179-0.007
50%52.54-1.059.4946.81-0.911

新窗口打开

3.2 EIS分析

3.2.1 Nyquist图分析 图4为16MnR低合金钢在不同KOH浓度下的Nyquist图。总体上看来,16MnR低合金钢在不同KOH浓度下的Nyquist图均表现出半圆弧的特征,说明16MnR低合金钢具有电容特性,即在腐蚀表面都有氧化膜生成[11]。高频区容抗弧来自于电荷转移和双电层电容的信号反馈,受电荷传递过程控制,容抗弧半径的大小反映电荷转移电阻的大小[12]。随着浓度的升高,容抗弧半径呈现降低的趋势,腐蚀速率依次增加,这表明在实验范围内,KOH浓度越高,16MnR低合金钢耐蚀性越差,与动电位极化曲线得出的结论相符。

图4   16MnR低合金钢在不同浓度KOH溶液中的Nyquist图

Fig.4   Nyquist diagrams for 16MnR steel in KOH solution with different concentrations

为了清晰地说明电化学阻抗谱所反映的信息,选用图5所示的等效电路进行拟合,拟合结果与实验结果吻合良好。其中,Rs是溶液电阻,Rct是电极反应的电荷转移电阻,Rf为腐蚀产物膜的电阻。由于实验采用固体电极,双电层阻抗行为常呈现弥散效应,这主要是由于腐蚀产物随着反应的进行逐渐在电极表面堆积,破坏了电极表面的均一性,电极表面电场分布不均匀以及电极反应的弛豫过程引起的,因此选用常相位角元件CPEdl代替双电层电容C来表示非法拉第过程溶液/腐蚀产物膜界面双电层的充放电过程,用常相位角元件CPEf来表示膜电容,以获得更好的拟合结果[13]-[15],CPEdl由双电层电容Cdl和弥散指数n1组成,CPEf由膜电容Cf和弥散指数n2组成。弥散指数反应了电极表面的不均一性和粗糙程度,弥散指数的数值可以在-1~1之间变化,当弥散指数数值为-1时表明电极表面为具有感抗特征的电容,弥散指数为0.5时相当于Warburg阻抗,弥散指数为1时电极表面为理想的双电层电容,弥散指数越小说明弥散效应越大[16]

图5   拟合电化学阻抗谱的等效电路图

Fig.5   Equivalent circuit model used to fit EIS data

表2列出了16MnR低合金钢在不同KOH浓度下电化学阻抗谱拟合参数。从表2电化学阻抗谱拟合参数结果看出,随着KOH浓度的升高,电荷转移电阻Rct逐渐降低,双电层电容CPEdl逐渐增大,这说明双电层厚度减小了,腐蚀性离子通过双电层到达钝化膜表面的路径缩短了[17]。电荷转移电阻Rct与阳极溶解过程密切相关,它能反映金属溶解速率的变化,Rct越大,腐蚀反应的阻力越大,耐蚀性越高;Rct越小,腐蚀反应的阻力越小,耐蚀性越低[12]。在1%KOH浓度下,RctRf最大,此时腐蚀产物较易吸附在电极表面,当KOH浓度逐渐升高时,RctRf呈明显降低的趋势,因而耐蚀性逐渐降低。在KOH浓度比较小的情况下,溶液电阻Rs相对较大,但随着浓度的增加,溶液电阻则依次减小,已经对系统影响不大,说明KOH浓度的升高增大了溶液中的离子迁移率。

表2   16MnR低合金钢在不同浓度KOH溶液中的电化学阻抗谱拟合参数

   

CKOHRs
Ωcm2
CPEdlRct
Ωcm2
CPEfRf
kΩcm2
μFcm-2n1μFcm-2n2
1%3.23624.410.990852.5239.580.7204150.5
5%0.73326.54141.5177.110.7466109.5
10%0.413631.05135.0494.930.747863.82
20%0.322841.25137.161030.693440.02
50%0.303469.66113.2649.80.6361115

新窗口打开

3.2.2 Bode图分析 16MnR低合金钢在不同KOH浓度下的Bode图如图6所示。可以看出,在低频阶段,不同浓度KOH溶液中阻抗值差别较大,1%KOH溶液中的阻抗值比其他浓度下的溶液阻抗值都大,这可能是由两方面的原因造成的:一是因为在KOH浓度较低时,溶液的电阻很大;二是因为OH-对氧化膜的破坏较小,氧化膜相对较完整。然而,在高频阶段阻抗值变化不大,这也说明系统的电容特性明显,氧化膜相对比较完整,使其耐蚀性较高。在中频阶段,lg|Z|-lgf近似为一条45°角的斜线,这表明质量传递控制着腐蚀的过程[18],进一步说明了氧化膜比较完整,可以抑制腐蚀离子在氧化膜中的快速渗透。另外,从图6还可以看出,不同浓度KOH下的斜线起始位置不同,KOH浓度为1%~20%时的起始位置相近,起始阻抗值在100 KΩcm2左右,这与50%的阻抗起始位置 (≈10 KΩcm2) 相差较大。这可能是因为高浓度的KOH溶液中OH-离子较易渗透到氧化膜中去,使得腐蚀加剧。在低频区,lg|Z|-lgf的斜率稍微有所下降,主要是由于在频率变化较慢时,扩散会起到一定的作用,会有部分OH-在氧化膜两端电势差的作用下,缓慢迁移,从而破坏氧化膜。

图6   16MnR低合金钢在不同浓度KOH溶液中的Bode图

Fig.6   Bode diagrams for 16MnR steel in KOH solution with different concentrations

相位角越接近90°,系统越具有理想电容特性[12]。16MnR钢在不同KOH浓度下的θ-lgf曲线均呈现出两个区分不太明显的峰值,表明其电化学阻抗谱有两个时间常数。从相位角可以看出,KOH浓度为1%~20%之间的相位角在中频阶段相差不大,而50%时的相位角突然降低,说明高浓度下的钝化膜完整性明显降低,即耐蚀性降低了。

图7   16MnR低合金钢浸泡前和在不同浓度KOH溶液中浸泡240 h后的SEM像

Fig.7   SEM images of 16MnR before (a) and after immersion for 240 h in 1% (b), 5% (c), 10% (d), 20% (e) and 50% (f) KOH solutions with different concentrations

3.3 表面分析

图7a为16MnR低合金钢未浸泡腐蚀前的表面形貌,图7b-f分别为16MnR低合金钢在1%,5%,10%,20%和50%KOH溶液中浸泡240 h的表面腐蚀形貌。由图可知,随着KOH浓度的升高,16MnR表面腐蚀程度逐渐增大,腐蚀坑及腐蚀面积越来越大。可以看到,在KOH浓度为50%时,浸泡后的表面粗糙、高低不平,且有明显的点蚀坑,说明其腐蚀产物的保护性较差,这与电化学实验的结果相符。利用EDS对试样在50%KOH溶液中腐蚀后的表面进行表面成分分析:C 21.45%,O 12.98%,Mn 1.17%,Fe 64.4%,可以判断判断表面腐蚀产物主要为Fe2O3

16MnR钢在KOH溶液中,其阳极反应主要为:Fe→Fe2++2e;碱性条件下阴极反应主要为:O2+2H2O+4e→4OH-,上述总反应方程为:Fe+1/2O2+H2O→Fe(OH)2。随后反应产物Fe(OH)2还将与溶液中的氧进一步氧化为Fe(OH)3,生成的铁锈主要成分为Fe2O3H2O,在长时间腐蚀后会在试样表面堆积生成一层腐蚀产物膜,使试样暂时处于钝化状态,从而延缓试样被腐蚀;但随着KOH浓度升高,膜的完整性降低,腐蚀加快。

4 结论

(1) 随着KOH浓度的增大,16MnR低合金钢的自腐蚀电位逐渐变负,线性极化电阻Rp逐渐变小;线性极化曲线、动电位极化曲线和电化学阻抗谱一致表明:16MnR钢的腐蚀速率随KOH浓度的增高而变大;扫描电镜观察表明:在浸泡腐蚀实验中,16MnR钢表面腐蚀的程度随着KOH浓度的增大而愈加严重,能谱分析可得主要腐蚀产物为Fe2O3

(2) 在高达50%的KOH浓度下,应单独评估16MnR钢反应器的服役周期,或采取必要的防腐措施。


/