腐蚀科学与防护技术  2014 , 26 (2): 154-158 https://doi.org/10.11903/1002.6495.2013.116

硼-硫酸-草酸电解液降压阳极氧化疏孔膜层制备及表征

王加余, 李澄, 尹成勇, 李西娟, 王艳慧

南京航空航天大学材料科学与技术学院 南京 210016

Prepare and Characterization of Aluminum Oxide Films by Under-voltage Process in Boric-sulfuric-oxalic Acids Electrolyte

WANG Jiayu, LI Cheng, YIN Chengyong, LI Xijuan, WANG Yanhui

College of Materials Science and Technology, Nanjing University of Aeronautics and Astronautics, Nanjing 210016, China

中图分类号:  TG174.44

文章编号:  1002-6495(2014)02-0154-05

接受日期:  2013-05-9

网络出版日期:  --

版权声明:  2014 《腐蚀科学与防护技术》编辑部 版权所有 2014, 腐蚀科学与防护技术编辑部。使用时,请务必标明出处。

作者简介:

王加余,男,1984年生,博士生,研究方向为金属腐蚀与防护

展开

摘要

使用铝合金在硼-硫酸-草酸电解液中阳极氧化制备有序多孔层。初步探讨了恒流和降压阳极氧化过程膜层生长机理,采用扫描电镜 (SEM) 观察膜层微观形貌,结合电化学阻抗和动电位极化曲线研究不同阳极化工艺制备膜层试样在3.5%NaCl溶液中的耐蚀行为。结果表明,采用三段变压方式制备的阳极氧化膜表面孔密度降低,孔壁增厚,孔径为10~13 nm。疏孔膜层的电化学行为表明孔壁及膜层厚度增大能提高试样电荷传递电阻和耐蚀性能。

关键词: 2024铝合金 ; 阳极氧化 ; 降压 ; 耐蚀性

Abstract

A well ordered porous oxide film on aluminum alloy was prepared by a three-stage process in electrolyte of boric-sulfuric-oxalic acids. The relevant growth mechanism of oxide film in the processes with modes of galvanostatic and reduced voltage was elaborated. The morphology and microstructure of the oxide films were characterized by scanning electronic microscopy (SEM). The corrosion performance of the films in 3.5%NaCl solution was examined by electrochemical impedance spectroscopy and potentiodynamic polarization curves. The results show that the anodic film exhibits to be regular and dense with pore diameter of 10~13 nm. Moreover, the electrochemical behavior of anodic oxide film could be described as that the impedance and corrosion resistance was increased with the increasing thickness of the film and the cell wall.

Keywords: 2024 aluminum alloy ; anodizing ; voltage decrease ; corrosion resistance

0

PDF (1757KB) 元数据 多维度评价 相关文章 收藏文章

本文引用格式 导出 EndNote Ris Bibtex

王加余, 李澄, 尹成勇, 李西娟, 王艳慧. 硼-硫酸-草酸电解液降压阳极氧化疏孔膜层制备及表征[J]. , 2014, 26(2): 154-158 https://doi.org/10.11903/1002.6495.2013.116

WANG Jiayu, LI Cheng, YIN Chengyong, LI Xijuan, WANG Yanhui. Prepare and Characterization of Aluminum Oxide Films by Under-voltage Process in Boric-sulfuric-oxalic Acids Electrolyte[J]. 腐蚀科学与防护技术, 2014, 26(2): 154-158 https://doi.org/10.11903/1002.6495.2013.116

1 前言

阳极氧化工艺在铝合金表面所制备氧化铝膜层具有典型的多孔有序结构,该多孔结构为底层致密层趋向溶解并最终生长为平行柱状结构[1]。由于氧化物自身惰性以及氧化膜层隔热性使致密层的存在能够有效阻碍膜层内外电荷传输过程,外层的柱状结构使得膜层结构存在较高的硬度和耐磨性,能够有效提高基体试样的应用性[2]

铝合金表面常规阳极氧化制备无孔及多孔结构的研究[3]主要集中在控制电解液组成和阳极化过程参数等方面。Bocchetta等[4]研究发现氧化层多孔结构形貌受电解液温度和通路电流密度影响较为明显,二者增大均有利于提高基体及孔壁结构在酸中的活性,进而促进多孔层生长,孔径增大。然而在腐蚀性环境中多孔层由于其高的表面积很容易被污染,尤其是在铬酸、磷酸、草酸和硫酸水性电解液[5,6]中所制备的有序大孔结构密度达到10~10个/m,在复杂环境中侵蚀性物质容易沿孔结构渗透[7]并到达致密层,影响铝合金工件的使用寿命[8,9]。由此,氧化铝膜层内层致密层的特性对提高铝合金基体耐蚀性能具有重要意义,而受多孔层结构生长的影响,致密层厚度较小,因此研究制备孔壁增厚多孔膜层具有理论和工程应用意义。

本文通过恒流-降压阳极氧化方法在铝合金表面制备疏孔阳极氧化层,研究不同降压过程对其膜层表面孔结构及其耐蚀性影响,探讨疏孔膜层多孔层和致密层对铝合金基体的防护意义。

2 实验方法

采用2024铝合金作为基体,样片逐级打磨至1200#水磨砂纸,然后经5%NaOH彻底碱洗去除表面可能残留的氧化物后,再用30%HNO溶液酸洗,然后进行化学抛光处理 (HPO 75%,HSO 16%,HNO 3% w/v),蒸馏水彻底冲洗后立即进入电解槽。

阳极氧化过程选择直流电源,阴极为铅板,电解液为HBO和HSO为主的混合体系 (mol/dm):HSO 0.511,HBO 0.0967,HCO 0.0622),槽液温度为20 ℃,氧化过程中由冷却装置对槽液进行恒温控制。阳极氧化过程包括:(1) 升压控制过程,初始电压为0 V,以2.5 V/min的速率在10 min内 (t) 控制电压升到 (24±2) V,阳极氧化电流密度 (IA) 为1.5 A/dm;(2) 恒流控制过程,维持1.5 A/dm恒流阳极化20~30 min,过程结束时记录时间 (t) 和电压值 (v);(3) 降压控制过程,降压阳极氧化 (时间为t)。分别按照t-t=20-10,25-10,20-15进行系列实验,降压速率为 (v-5)/t

上述得到的阳极氧化膜层置于100 ℃空气氛中干燥热处理1 h除去多孔结构中残留水分。采用S4800场发射扫描电镜 (SEM) 观察微观形貌和孔结构。采用Minitest 600 FN2按照ISO 2360-1982非磁性金属基体的非导电膜厚度测量-涡流法测量氧化膜厚度,重复测试10次计算平均值。采用CHI 750C电化学工作站室温下在3.5%NaCl溶液中测试开路电位 (OCP)、电化学阻抗 (EIS) 和动电位极化曲线 (Tafel)。测试体系选择饱和甘汞电极为参比电极,铂电极为对电极,阳极氧化膜层试样为工作电极。试样采用绝缘胶封边,暴露于腐蚀液的面积为10 mm×10 mm,电化学测试前试样于腐蚀液中浸泡30 min。电化学阻抗选择在开路电位下叠加正弦波信号5 mV,频率范围10-~10 Hz。动电位极化曲线选择-1.5~1 V区间,扫描速率为5 mV/s正向扫描。

3 结果与讨论

3.1 氧化层生长分析

铝合金试样 (25 mm×50 mm) 阳极氧化过程电压和IA随时间变化曲线如图1所示。硼-硫酸-草酸阳极氧化过程使用电压较低,达到预定电流密度 (1.5 A/dm) 时电压大致在24 V。阳极氧化过程中孔洞内存在较强的场致溶解作用,能够使电解液温度尤其是电极/电解液界面温度提高,进而加速Al和AlO溶解,电极表面电荷转移量增大,尤其是t时间延长,通路电压降低。铝合金基体表面生长氧化膜层前后试样电阻显著上升,前期实验结果显示当电压降至5 V时,电流密度大幅降低[10]至发生阳极氧化的临界值,所以设置5 V为降压过程终止电位。降压幅度受Vmaxtt影响,20-10和25-10降压过程v-t曲线基本保持平行,而20-15试样降压过程延长,为保持基本阳极氧化反应,电压降低幅度变小 (20-10试样:1.5 V/min;20-15试样:1 V/min),前者直线斜率|k|大于后者。

图1    

Fig.1    阳极氧化过程中电压、电流密度随时间曲线

20-10和20-15降压阳极氧化过程v~17.5 V范围内IA数值大于升压过程IA,而在17.5~5 V过程中IA略低于升压过程IA。可能升压阳极氧化初期致密层厚度增大,t-t过程中较高电压下致密层溶解生长为多孔层结构,导致致密层厚度降低,试样电阻减小,降压阳极氧化过程中相同电压对应电流密度变大。而25-10结果显示0-tt-t电压对应电流结果相差不大,表明恒流阳极氧化过程中多孔层结构生长过程伴随着致密层溶解反应,特定孔结构的生长在一定程度上能减弱致密层厚度降低造成的膜层电阻降低的幅度。

在氧化膜层试样表面均匀分布取点进行厚度测试,结果显示氧化膜平均厚度受阳极氧化过程影响较为明显 (30-0:8 μm;20-10:6.2 μm;25-10:7.4 μm;20-15:6 μm),局部区域最小厚度与平均厚度相差不大于1 μm。致密层表面空洞形核生长多孔膜层[11]后厚度为纳米级,涡流厚度测试结果可近似为多孔结构,由此计算恒流过程多孔膜层生长速率不小于0.26 μm/min,而降压过程中电流密度降低,多孔层生长速度降低。

3.2 微观形貌分析

不同阳极氧化多孔膜层试样表面形貌和孔结构如图2所示。通过对不同阳极氧化方法制备孔结构膜层外表面单位面积孔结构、孔径、孔壁厚度的计算分析得出,恒流阳极氧化制备多孔层 (图2a) 孔结构密度较大 (2×10个/m),孔径在10~14 nm,孔壁厚度约10 nm,表面微观形貌粗糙。降压阳极氧化制备膜层试样外层大孔结构具有较好分散性,密度明显降低,孔壁增厚。20-10膜层 (图2b) 与恒流阳极氧化试样结果相比孔密度降低 (<1×10个/m)。恒流阳极氧化时间延长 (图2c),大电流和较多产热量有利于多孔层生长以及膜层溶解,然而表面孔结构密度 (<1×10个/m) 与20-10试样结果相差不大。由于阳极氧化过程中多孔层/电解液界面离子平衡受电流密度影响,膜层生长与溶解同步进行,通路电压降低直接使得Al/AlO界面建立新的平衡,过量Al3+和O-沿孔结构反应生成AlO沉积于孔内壁,孔壁厚度增大。孔结构生长速率降低的同时,基体和AlO的场致溶解程度[12]也趋于减弱,而电解液对表面AlO结构仍具有较强溶解性,容易导致多孔层外层突出部分发生溶解,最终使得膜层趋于平整。延长降压阳极氧化时间 (图2d) 所制备膜层孔密度与平行降压试样结果数值接近 (1×10个/m),但孔壁厚度略有增大。降压阳极氧化制备多孔结构孔径与恒流阳极氧化膜层相差不大。

图2    

Fig.2    30-0, 20-10, 25-10和20-15孔结构的SEM像

3.3 电化学阻抗测试

恒流与降压阳极氧化膜层试样电化学阻抗Bode曲线如图3所示,阻抗值与频率变化关系曲线中降压阳极氧化制备膜层试样与纯粹恒流结果相比在高频段阻抗值略有增大,膜层形貌分析得知阳极氧化工艺对多孔层表面孔径大小影响不大,但降压阳极氧化制备孔结构表面密度降低,孔壁厚度增大。结合EIS和SEM结果表明该孔壁增厚结构可以阻碍环境中离子沿孔结构侵蚀平面膜层。20-10和25-10试样阻抗数值在全频范围内相差不大,而20-15试样阻抗值明显降低。

图3    

Fig.3    阳极Al2O3试样在3.5%NaCl溶液中EIS曲线及拟合电路

铝合金阳极氧化制备膜层试样相位角与频率关系曲线显示二者均出现较大相位峰 (90°),明显为多孔层与腐蚀液间固/液相界面电容,其中降压阳极氧化制备膜层试样相位峰逐渐向低频变化,相位峰趋于明显。由SEM分析表明,具有相似孔壁增厚结构膜层试样在腐蚀液中具有较好电化学一致性。30-0试样低频段相位角明显下移,可能是恒流时间延长有利于多孔层生长,膜层/电解液界面体现出明显界面传荷过程。

氧化物多孔结构试样在液相腐蚀环境中均存在如下结构:Rs为溶液电阻,Roxide为电荷传递电阻,CPEoxide为固液界面相界面电容。拟合结果如表1所示。降压阳极氧化疏孔结构膜层试样传荷阻抗值大于恒流阳极氧化结果。20-15结果显示恒流阳极氧化时间延长有利于多孔层厚度增大,但膜层试样阻抗值略有降低。表明对于试样电荷传递电阻主要受致密层影响,多孔层生长过程伴随着致密层厚度的降低,但增厚孔壁结构能够提高多孔膜层内外传质传荷阻力,两个反应同时存在于膜层生长过程。相似结论在阳极氧化过程中电压与电流密度分析结果中同样得到证明,延长降压阳极氧化时间制备膜层试样Roxide降低,表明小电流阳极氧化可以使表面孔壁增厚,但膜层厚度降低,低压过程延长导致AlO结构溶解速率略大于生成速率,膜层对铝合金基体防护性降低。

   

表1    阳极氧化铝膜层试样EIS拟合数据

t2-t3Rs
Ωcm2
nCPEoxide
μFcm-2
Roxide
MΩcm2
30-013.710.95500.181121.86
20-1012.650.99860.184840.29
25-1012.330.97350.411139.6
20-1511.690.86740.40485.529

新窗口打开

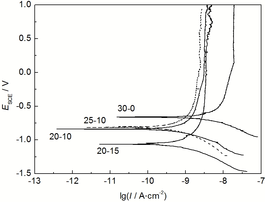
3.4 动电位极化曲线测试

恒流与降压阳极氧化膜层试样在3.5%NaCl中的极化曲线如图4所示,测试前对溶液进行通氮气30 min处理,根据Tafel外推法对其计算自腐蚀电位 (Ecorr) 及自腐蚀电流密度 (Icorr) 见表2:

   

表2    不同阳极氧化膜层Tafel曲线拟合数据

t2-t3Ecorr / V vs SCEIcorr / 10-10Acm-2
30-0-0.66232.79
20-10-0.8376.865
25-10-0.8174.376
20-15-1.0658.741

新窗口打开

图4    

Fig.4    不同阳极氧化膜层Tafel曲线

与恒流阳极氧化制备膜层试样相比,三段变压阳极氧化结果的自腐蚀电位负移。结合形貌分析结果推测:孔壁结构厚度的增加能够提高氧化膜层内外电荷/离子的传输阻力,在试样表面阴极极化过程中电荷在Al/AlO界面传输速度远高于AlO/电解液界面,致使负电性电荷在基体/膜层界面迅速累积,阴极极化电位负移。同时Icorr出现不同程度降低,表明孔壁厚度增加有利于降低腐蚀液中Cl-的腐蚀速率。对于降压阳极氧化膜层来说,延长恒流过程制备试样 (25-10) Icorr降低,同时Ecorr正移。表明随平行试样恒流时间延长,多孔层厚度增加,能够提高膜层试样耐蚀倾向,Icorr降低表明降压阳极氧化过程对多孔结构溶解增加程度较小。降压阳极氧化过程延长制备膜层试样自腐蚀电位负移,自腐蚀电流密度增大,可能是因为降压时间延长使得多孔结构生成/溶解平衡打破[11],外层AlO酸溶解程度增大,膜层厚度降低。相似结论在膜层试样交流阻抗分析中得到证实。

4 结论

2024铝合金在硼-硫酸-草酸电解液中恒流阳极氧化制备多孔结构孔径具有较好的规律性和一致性,三段变压方法制备膜层表面孔径略有减小,表面孔密度降低,孔壁增厚提高了膜层致密度。电化学阻抗测试结果显示膜层存在单一固液相界面,控制孔结构生长制备封闭氧化膜层具有很好稳定性。

硼-硫酸-草酸浴制备的阳极氧化多孔层对基体具有较好的防护性。与恒流阳极氧化膜层结果相比,适当控制降压阳极氧化时间制备疏孔结构膜层厚度略有降低,但试样自腐蚀电流密度有不同程度降低,对铝合金基体的防护性明显增强。


/