腐蚀科学与防护技术  2014 , 26 (2): 119-124 https://doi.org/10.11903/1002.6495.2013.090

择优取向对热压/热变形纳米NdFeB磁体腐蚀行为的影响

张雪12, 马元泰2, 雷明凯1, 李瑛2, 王福会2, 朱明刚3, 汪旭超3

1. 大连理工大学材料科学与工程学院 大连 116023
2. 中国科学院金属研究所 腐蚀与防护国家重点实验室 沈阳 110016
3. 钢铁研究总院功能材料研究所 北京 100081

Effect of Preferred Orientation on Corrosion Behavior of Hot-pressed and Hot-deformed Nanocrystalline NdFeB Magnet

ZHANG Xue12, MA Yuantai2, LEI Mingkai1, LI Ying2, WANG Fuhui2, ZHU Minggang3, WANG Xuchao3

1. Surface Engineering Laboratory, Department of Materials Science and Engineering, Dalian University of Technology, Dalian 116023, China
2. State Key Laboratory for Corrosion and Protection, Institute of Metal Research, Chinese Academy of Sciences, Shenyang 110016, China
3. Division of Functional Materials, Central Iron and Steel Research Institute, Beijing 100081,China

中图分类号:  TG172

文章编号:  1002-6495(2014)02-0119-06

接受日期:  2013-04-11

网络出版日期:  --

版权声明:  2014 《腐蚀科学与防护技术》编辑部 版权所有 2014, 腐蚀科学与防护技术编辑部。使用时,请务必标明出处。

作者简介:

张雪,女,1987年生,硕士生,研究方向为腐蚀与防护

展开

摘要

利用电化学测试技术和材料分析方法研究了择优取向对热压/热变形纳米NdFeB磁体腐蚀行为的影响。结果表明:不同取向的热压/热变形纳米NdFeB磁体的腐蚀行为相似,但与取向轴平行截面相比,与取向轴垂直截面具有更大的局部腐蚀倾向性以及更快的溶解速率;不同取向的热压/热变形纳米NdFeB磁体均发生Nd的优先腐蚀,且与取向轴垂直截面腐蚀产物膜中O的原子分数略大;富Nd相面积分数以及晶界数的差异是导致不同取向的热压/热变形纳米NdFeB磁体腐蚀行为差异的主要原因。

关键词: 纳米晶 ; NdFeB ; 电化学 ; XPS

Abstract

The effect of preferred orientation on the corrosion behavior of hot-pressed and hot-deformed nanocrystalline NdFeB magnet was investigated by electrochemical measurements and materials analysis methods. The results indicated that the preferred orientation had little effect on the corrosion behavior of hot-pressed and hot-deformed nanocrystalline NdFeB magnet. Polarization and electrochemical impedance spectroscopy (EIS) measurements showed that the cross section vertical to the preferred orientation exhibited a higher dissolution rate and susceptibility to localized corrosion in 3.5%NaCl solution rather than that parallel to the preferred orientation. X-ray photoelectron spectroscopy (XPS) revealed that after immersion in 3.5% NaCl solution for 30 min, both of the surfaces of the two sections showed selective corrosion of Nd. The slight differences in the corrosion behavior of the two cross sections were probably ascribed to their differences in the Nd-rich phase proportions and the guantities of grain boundaries.

Keywords: nanocrystalline ; NdFeB ; electrochemistry ; XPS

0

PDF (2769KB) 元数据 多维度评价 相关文章 收藏文章

本文引用格式 导出 EndNote Ris Bibtex

张雪, 马元泰, 雷明凯, 李瑛, 王福会, 朱明刚, 汪旭超. 择优取向对热压/热变形纳米NdFeB磁体腐蚀行为的影响[J]. , 2014, 26(2): 119-124 https://doi.org/10.11903/1002.6495.2013.090

ZHANG Xue, MA Yuantai, LEI Mingkai, LI Ying, WANG Fuhui, ZHU Minggang, WANG Xuchao. Effect of Preferred Orientation on Corrosion Behavior of Hot-pressed and Hot-deformed Nanocrystalline NdFeB Magnet[J]. 腐蚀科学与防护技术, 2014, 26(2): 119-124 https://doi.org/10.11903/1002.6495.2013.090

1 前言

稀土永磁材料NdFeB以其优异的磁学性能和良好的性价比而广泛应用于机电、仪表、信息等领域[1,2]。与传统的粗晶NdFeB相比,纳米晶NdFeB具有更为优异的磁学性能,更能满足某些高性能元器件的要求[3-5]。然而,NdFeB的耐蚀性差,极大地限制了其应用范围及使用寿命。NdFeB耐蚀性差的原因在于其化学组成中Nd的大量存在,以及微结构中基体相NdFeB与富Nd相间的电动势差异[5]。目前对于粗晶NdFeB的腐蚀行为已经进行了大量的研究[[6-8],但是对于纳米晶NdFeB的腐蚀行为却鲜有报道。由于粗晶NdFeB与纳米晶NdFeB在晶粒尺寸、相组成及分布等微观结构上存在很大差异,其腐蚀行为亦会有所不同,因此对于纳米晶NdFeB腐蚀行为的进一步研究显得必要而迫切。

近年来,随着新工艺和新技术的发展,NdFeB的性能不断提高。在NdFeB众多制备方法中,热压/热变形工艺以其工艺简单,时间短,温度低等优点,成为研究和制备高性能NdFeB磁体最重要的手段之一[3,9,10]。利用热压/热变形工艺可以获得具有高剩磁及高磁能积的各向异性纳米晶NdFeB磁体,该磁体具有晶粒沿压力方向取向的织构[3,10,11]。各向异性材料沿不同晶体取向上微观结构的差异很可能导致腐蚀行为的差异[12]。据此,本文探究了热压/热变形纳米NdFeB磁体中与取向轴平行截面和与取向轴垂直截面的腐蚀行为,试图从两种极端情况入手来揭示择优取向对该材料腐蚀行为的影响,以期为热压/热变形纳米NdFeB磁体的耐蚀性评价及腐蚀防护提供理论依据。

2 实验方法

首先将名义成分为NdFe64.55CoB0.95Ga0.5的快淬磁粉在真空状态、500~700 ℃、200 MPa的工艺条件下保温 70 s,经热挤压制得致密的各向同性磁体;接着在氩气环境中、温度为 700~900 ℃、压力为 270 MPa、应变率为5×10- s-的工艺条件下对各向同性磁体进行热变形,得到变形量约为70%的各向异性磁体。

利用PW 1700X射线衍射仪 (XRD) 分析了热压/热变形纳米NdFeB磁体与取向轴平行截面和与取向轴垂直截面的晶体结构,测试时采用 Cu Kα 辐射,工作电压 40 kV,工作电流 40 mA;利用XL30FEG场发射扫描电镜,观察了热压/热变形纳米NdFeB磁体与取向轴平行截面和与取向轴垂直截面的微观形貌,并采用Oxford INCA X-Max扫描电镜 (SEM) 自带的X射线能谱 (EDS) 对局部区域进行了元素分析。

电化学测试是在室温下利用三电极体系进行的,工作电极为打磨抛光后的热压/热变形纳米NdFeB磁体,辅助电极为铂电极,参比电极为饱和甘汞电极 (SCE) ,电解液为 3.5% NaCl溶液,测试仪器为Autolab PGSTAT 302 电化学工作站。每次电化学测量前,工作电极均在电解液中浸泡至电位稳定。极化曲线扫描范围为-0.25至2 VSCE (vs ocp),扫描速率为 1 mVs-。电化学阻抗测量 (EIS) 在开路电位下进行,测试频率为 100 kHz~10 mHz, 交流激励信号幅值为 5 mV,数据处理采用ZSimpWin阻抗分析软件。

将打磨抛光后的热压/热变形纳米NdFeB磁体置于3.5% NaCl溶液中浸泡30 min,酒精清洗,冷风吹干。利用金相显微镜观察腐蚀前后样品表面形貌。采用ESCALAB 250X射线光电子能谱仪 (XPS) 分析腐蚀后样品表面成分随深度分布,Al Kα,靶电压15 kV,功率 150 W;样品表面分析后,进行Ar+剥离处理,溅射电压为 3 kV,溅射电流为 2 μA。

3 结果与讨论

3.1 热压/热变形纳米NdFeB的微观结构

3.1.1 晶体结构分析 图1为热压/热变形纳米NdFeB磁体的XRD谱。如图1a所示,与取向轴平行截面的 XRD谱上 (004),(006),(008) 的衍射强度显著加强,且 (006) 与 (105) 强度之比大于1,这说明热压/热变形纳米NdFeB磁体具有择优取向。图1b为与取向轴垂直截面的XRD谱。与图1a相比,图1b中的衍射峰较宽,说明与取向轴垂直截面的晶粒尺寸更为细小。从图1a和 b中可以看到,热压/热变形纳米NdFeB磁体主要由NdFeB组成。此外,由于富钕相在磁体中的含量很少,XRD并未检测到其存在。

图1    

Fig.1    热压/热变形纳米NdFeB磁体与与取向轴平行截面和与取向轴垂直截面的XRD谱

3.1.2 微观形貌分析 图2为热压/热变形纳米NdFeB磁体与取向轴平行截面 (图2a) 和与取向轴垂直截面 (图2b) 的背散射电子像。由图可见,热压/热变形纳米NdFeB磁体在深色衬度区边缘存在线状白色衬度像,厚度约为 1~3 μm,经EDS分析,该白色衬度像为富钕相。对比观察可见,与取向轴垂直截面中线状富钕相的面积分数大于与取向轴平行截面中线状富钕相的面积分数。

图2    

Fig.2    热压/热变形纳米NdFeB磁体的SEM背散射像

图3为热压/热变形纳米NdFeB磁体与取向轴平行截面 (图3a) 和与取向轴垂直截面断口 (图3b) 的二次电子图。由图可见,热压/热变形纳米NdFeB磁体由纳米尺寸的NdFeB片状晶粒组成,片状晶粒层叠在一起,形成晶粒沿压力方向取向的织构。此外,由于与取向轴垂直截面单位面积晶粒数大于与取向轴平行截面单位面积晶粒数,因此前者具有更多的晶界。

图3    

Fig.3    热压/热变形纳米NdFeB磁体的SEM二次电子模式像

3.2 热压/热变形纳米NdFeB的电化学行为

3.2.1极化曲线 图4为热压/热变形纳米NdFeB磁体在3.5%NaCl溶液中的极化曲线。由图可知,与取向轴平行截面和与取向轴垂直截面的极化曲线并无显著差异,说明不同取向的热压/热变形纳米NdFeB磁体的腐蚀行为相似。随着阳极极化程度的增加,极化曲线出现了明显的电流波动,这是局部腐蚀的特征。从放大图中可见,在较高电位下阳极极化曲线中与取向轴垂直截面的波动频率和程度大于与取向轴平行截面的波动频率和程度,说明与取向轴垂直截面更易发生局部腐蚀。

图4   

Fig.4   热压/热变形纳米NdFeB磁体在3.5%NaCl溶液中的极化曲线

3.2.2 电化学阻抗谱 图5为热压/热变形纳米NdFeB磁体在3.5%NaCl溶液中的电化学阻抗谱。由图可知,与取向轴平行截面和与取向轴垂直截面的电化学阻抗谱相似,均由高频区的单容抗弧和低频区的“扩散尾”组成。其中在低频区出现的“扩散尾”反映出Warburg阻抗的特征,说明腐蚀反应的速率控制步骤为扩散控制,此时NdFeB表面发生均匀腐蚀,形成的腐蚀产物膜附着在NdFeB表面上减缓腐蚀。此外,容抗弧圆心偏离实轴,说明存在着弥散效应,因此用常相位角元CPE代替双电层电容,CPE可以表示为ZCPE(w)=Y-(jw)-n,式中,Y为导纳常数,j=(-1)1/2w为角频率,n为弥散指数[13]。利用图6所示的等效电路对电化学阻抗谱进行拟合可以得到表1所示的电化学参数,由表可见,与取向轴平行截面的电荷转移电阻Rct值略大于与取向轴垂直截面的Rct值,说明与取向轴平行截面的溶解速率略小于与取向轴垂直截面的溶解速率。

图5    

Fig.5    热压/热变形纳米NdFeB磁体在3.5%NaCl溶液中的电化学阻抗谱

图6    

Fig.6    含Warburg扩散特征的等效电路

   

表1    热压/热变形纳米NdFeB磁体在3.5%NaCl溶液中的电化学阻抗谱拟合值

SampleRct / Ωcm2Y0 / Ω-1cm-2s-nn
Parallel surface16768.08×10-50.85
Perpendicular surface15288.53×10-50.84

新窗口打开

3.3 浸泡实验

3.3.1 腐蚀产物膜表面形貌 图7为热压/热变形纳米NdFeB磁体在3.5%NaCl溶液中浸泡0和30 min后的表面形貌。由图可知,在3.5%NaCl溶液中浸泡30 min后,与取向轴平行截面和与取向轴垂直截面发生均匀腐蚀,表面形成了薄薄的腐蚀产物膜。此外,与取向轴垂直截面腐蚀30 min后局部区域出现了极小的点蚀坑,而与取向轴平行截面腐蚀30 min后未观察到点蚀坑的存在,这也说明了同与取向轴平行截面相比,与取向轴垂直截面具有更强的局部腐蚀倾向性。

图7    

Fig.7    热压/热变形纳米NdFeB磁体在3.5%NaCl溶液中浸泡0及30 min后的表面形貌

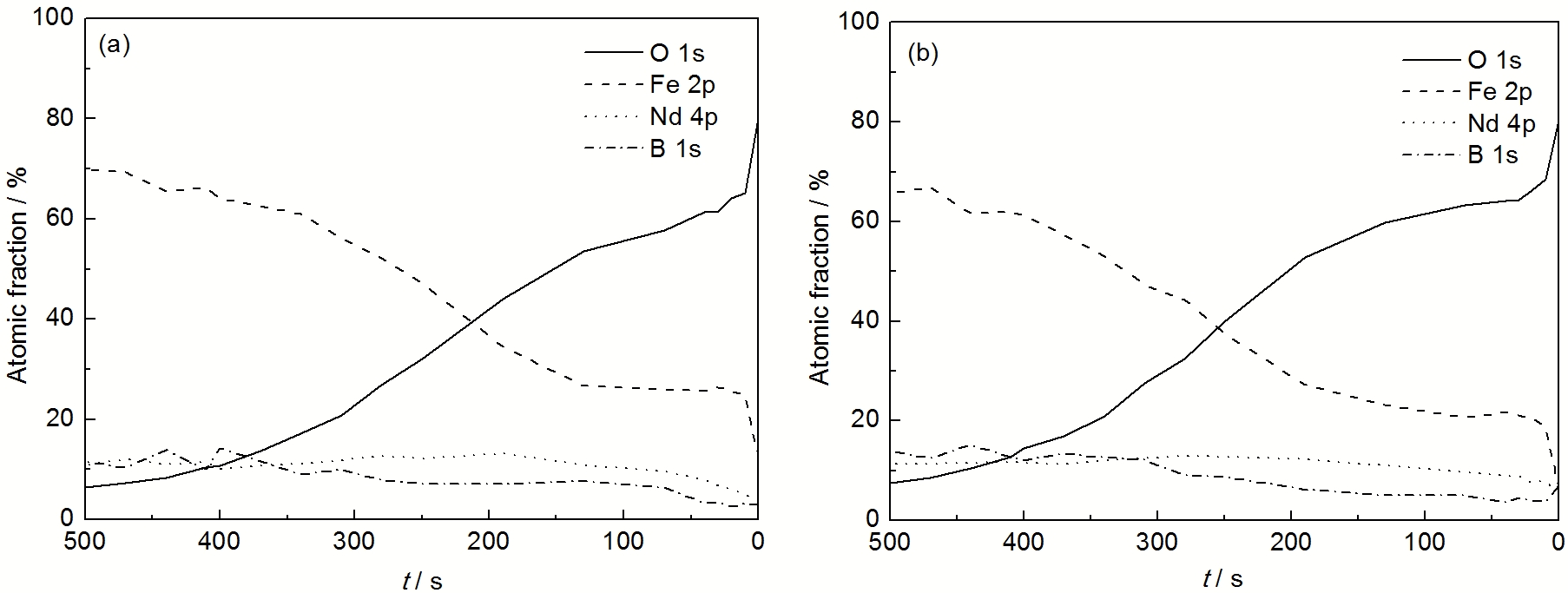
3.3.2 腐蚀产物膜成分随深度分布 图8为热压/热变形纳米NdFeB磁体在3.5%NaCl溶液中浸泡30 min后元素浓度随XPS溅射时间分布图。由图可知,在3.5%NaCl溶液中浸泡30 min后,与取向轴平行截面和与取向轴垂直截面中元素各浓度随溅射时间分布基本相同。随着溅射时间的延长,与取向轴平行截面和与取向轴垂直截面中O含量逐渐减少,溅射470 s后趋于稳定;而Fe含量则随着溅射时间的延长而增大,但溅射470 s后亦趋于稳定。从O和Fe的变化趋势可知,与取向轴平行截面和与取向轴垂直截面腐蚀产物膜的厚度基本相同,与之相对应的溅射时间在470~500s之间。此外,Nd含量随着溅射时间的延长而增大,之后趋于稳定,然而,与Fe不同的是,Nd含量的变化趋势很小,达到稳定的时间也较早。从图中还可以看到,随着溅射时间的延长,腐蚀产物膜中Nd/Fe原子比显著增大,这说明浸泡过程中发生了Nd的优先腐蚀。图9为在3.5%NaCl溶液中浸泡30 min后与取向轴平行截面和与取向轴垂直截面中O浓度随溅射时间分布图,该图可以更为直观的反映出择优取向对热压/热变形纳米NdFeB磁体腐蚀产物膜厚度以及氧化程度的影响。由图可知,同与取向轴平行截面相比,与取向轴垂直截面腐蚀产物膜更厚,氧化程度更大,但是两者的差异不显著。

图8    

Fig.8    热压/热变形纳米NdFeB磁体在3.5%NaCl溶液中浸泡30 min后元素浓度随XPS溅射时间分布图

3.4 择优取向对腐蚀行为的影响机理

电化学测试和浸泡实验表明,不同取向的热压/热变形纳米NdFeB磁体具有相似的腐蚀行为,然而,同与取向轴平行截面相比,与取向轴垂直截面具有更大的局部腐蚀倾向性以及更快的溶解速率,这归因于两者微观结构的差异。首先,与取向轴垂直截面的富钕相面积分数较大,富Nd相与磁性相之间存在电位差,作为腐蚀微电池的阳极区,电化学腐蚀更易从富Nd相处形核发展。此外,同与取向轴平行截面相比,与取向轴垂直截面具有更多的晶界,晶界处原子具有较高的自由能,局部腐蚀容易在晶界处发生,因此,晶界多很可能成为与取向轴垂直截面耐局部腐蚀能力差的另一个原因。同理,不同取向的热压/热变形纳米NdFeB磁体溶解速率的差异亦归因于富Nd相面积分数以及晶界数的差异。

图9    

Fig.9    热压/热变形纳米NdFeB磁体在3.5%NaCl溶液中浸泡30 min后O含量随XPS溅射时间分布图

4 结论

(1) 不同取向的热压/热变形纳米NdFeB磁体具有相似的腐蚀行为,但是同与取向轴平行截面相比,与取向轴垂直截面的溶解速率略快,发生局部腐蚀的倾向性更大。

(2) 与取向轴平行截面和与取向轴垂直截面腐蚀产物膜的厚度基本相同,并且均体现出Nd的优先腐蚀。

(3) 同与取向轴平行截面相比,与取向轴垂直截面腐蚀产物膜中O含量略大。富钕相面积分数以及晶界数的差异是导致不同取向的热压/热变形纳米NdFeB磁体腐蚀行为差异的主要原因。


/